<!DOCTYPE html>
<html lang="tr">
<head>
<title>KPSS puan hesaplama, KPSS ortaöğretim sınavı kaç net kaç puan? </title>
<meta name="title" content="KPSS puan hesaplama, KPSS ortaöğretim sınavı kaç net kaç puan? "/>
<meta name="description" content="KPSS puanın hesaplanmasında o yıl sınava giren öğrencilerin her bir test için ayrı ayrı aritmetik ortalama ve standart sapma değerleri ile testlerden yapılan maximum netler belirleyici olmaktadır. KPSS ortaöğretim sınavı kaç net kaç puan? KPSS 2016 puan hesaplama işlemlerini haberimizde detaylı olarak açıkladık" />    
<meta name="keywords" content="KPSS ortaöğretim sınavı,kaç net kaç puan,KPSS 2016 puan hesaplama" /> 
<meta name="datePublished" content="2016-11-23T17:19:00+03:00">
<meta name="dateModified" content="2016-11-23T17:19:00+03:00"> 
<meta name="articleSection" content="news">
<meta name="articleAuthor" content="">
<link rel="canonical" href="https://www.aksam.com.tr/egitim/kpss-ortaogretim-sinavi-kac-net-kac-puan-kpss-2016-puan-hesaplama/haber-568535" />
<meta name="url" content="https://www.aksam.com.tr/egitim/kpss-ortaogretim-sinavi-kac-net-kac-puan-kpss-2016-puan-hesaplama/haber-568535"> 
<link rel="alternate" media="only screen and (max-width: 640px)" href="https://m.aksam.com.tr/egitim/kpss-ortaogretim-sinavi-kac-net-kac-puan-kpss-2016-puan-hesaplama/haber-568535" />
<link rel="amphtml" href="https://m.aksam.com.tr/amp/egitim/kpss-ortaogretim-sinavi-kac-net-kac-puan-kpss-2016-puan-hesaplama/haber-568535"><meta itemprop="thumbnailUrl" content="https://img3.aksam.com.tr/imgsdisk/2016/11/20/201120161132253418924_2.jpg" />
<meta property="og:image" content="https://img3.aksam.com.tr/imgsdisk/2016/11/20/201120161132253418924_2.jpg" />
<meta property="og:image:width" content="1200">
<meta property="og:image:height" content="674">
<meta property="nsosyal:image" content="https://img3.aksam.com.tr/imgsdisk/2016/11/20/201120161132253418924.jpg" />
<meta content="https://img3.aksam.com.tr/imgsdisk/2016/11/20/201120161132253418924_2.jpg" />
<link rel="preload" as="image" href="https://img3.aksam.com.tr/imgsdisk/2016/11/20/201120161132253418924_2.jpg" />
<meta name="twitter:image:src" content="https://img3.aksam.com.tr/imgsdisk/2016/11/20/201120161132253418924_2.jpg">
<meta name="image" content="https://img3.aksam.com.tr/imgsdisk/2016/11/20/201120161132253418924_2.jpg">
<meta name="robots" content="max-image-preview:large">
<link rel="thumbnail" type="image/jpeg" href="https://img3.aksam.com.tr/imgsdisk/2016/11/20/201120161132253418924_2.jpg" />
<link rel="image_src" type="image/jpeg" href="https://img3.aksam.com.tr/imgsdisk/2016/11/20/201120161132253418924_2.jpg" />
<meta property="og:site_name" content="aksam.com.tr" />
<meta property="og:title" content="KPSS puan hesaplama, KPSS orta&#246;&#287;retim s&#305;nav&#305; ka&#231; net ka&#231; puan? " />
<meta property="og:description" content="Haberin detaylar&#305; i&#231;in t&#305;klay&#305;n&#305;z" />
<meta property="og:url" content="https://www.aksam.com.tr/egitim/kpss-ortaogretim-sinavi-kac-net-kac-puan-kpss-2016-puan-hesaplama/haber-568535" />
<meta property="og:type" content="article" />
<meta property="fb:pages" content="113503195337720" />
<meta name="twitter:card" content="summary_large_image">
<meta name="twitter:site" content="@aksam">
<meta name="twitter:title" content="KPSS puan hesaplama, KPSS orta&#246;&#287;retim s&#305;nav&#305; ka&#231; net ka&#231; puan? ">
<meta name="twitter:description" content="Haberin detaylar&#305; i&#231;in t&#305;klay&#305;n&#305;z">
<meta name="twitter:creator" content="@aksam">
<meta name="twitter:domain" content="https://www.aksam.com.tr/egitim/kpss-ortaogretim-sinavi-kac-net-kac-puan-kpss-2016-puan-hesaplama/haber-568535" />    
<link rel="icon" type="image/png" href="/assets-aksam/img/favicon.png?v=1907,16">
<link rel="apple-touch-icon" href="/images/apple-touch-icon.png">
<meta name="google-site-verification" content="b7s20lbqssA4clhgAGQO-cBOr0KpVtC0doalmZ9qvA8" />
<meta name="bitly-verification" content="990a736d5c15" />
<meta name="viewport" content="width=1010, initial-scale=1">
<meta type="NewsType" content="news" id="568535"/>
<meta http-equiv="Content-language" content="TR" />
<meta http-equiv="Content-Type" content="text/html; charset=iso-8859-9" />
<meta http-equiv="Content-Type" content="text/html; charset=windows-1254" />
<style>@font-face{font-family:"PT Sans";font-weight:400;font-display:auto;src:url(/assets-aksam/font/PT_Sans-Regular.woff2) format("woff2"),url(/assets-aksam/font/PT_Sans-Regular.ttf) format("truetype"),url(/assets-aksam/font/PT_Sans-Regular.woff) format("woff"),url("/assets-aksam/font/PT_Sans-Regular.svg#PT Sans") format("svg");font-style:normal;font-display:swap}@font-face{font-family:"PT Sans";font-weight:700;font-display:auto;src:url(/assets-aksam/font/PT_Sans-Bold.woff2) format("woff2"),url(/assets-aksam/font/PT_Sans-Bold.ttf) format("truetype"),url(/assets-aksam/font/PT_Sans-Bold.woff) format("woff"),url(/assets-aksam/font/PT_Sans-Bold.svg#roboto) format("svg");font-style:normal;font-display:swap}@font-face{font-family:"PT Sans";font-weight:900;font-display:auto;src:url(/assets-aksam/font/Prompt-Black.woff2) format("woff2"),url(/assets-aksam/font/Prompt-Black.woff) format("woff");font-style:normal;font-display:swap}</style>
<style>
ul[type=disc] {
    list-style-type: disc;
    padding-left: 40px;
}
.newsDetailText{
    font-family: 'Poppins', sans-serif;
    line-height: 2.8rem;
    font-size: 1.6rem;
}
  
  .stickyRell {
    position: relative !important;
}
.d-flex {
  display: flex;
  gap: 20px;
  margin: 15px 0;
  align-items: flex-start;
}
.flex-row {
  flex-direction: row;
}
.flex-row-reverse {
  flex-direction: row-reverse;
}
</style>
<link rel="preload" href="https://fonts.googleapis.com/css2?family=Poppins:wght@400;600&display=swap" as="style">
<link rel="stylesheet" href="https://fonts.googleapis.com/css2?family=Poppins:wght@400;600&display=swap">
<link rel="preload" href="/assets-aksam/font/PT_Sans-Regular.woff2" as="font" type="font/woff2" crossorigin>
<link rel="preload" href="/assets-aksam/font/PT_Sans-Bold.woff2" as="font" type="font/woff2" crossorigin>
<link rel="preload" href="/assets-aksam/font/Prompt-Black.woff2" as="font" type="font/woff2" crossorigin>
<link rel="stylesheet" href="/assets-aksam/css/main.css?v=tm2">
<link rel="preload"  href="/assets-aksam/css/detay.css?v=tm2" as="style" onload="this.onload=null;this.rel='stylesheet'"> 
<noscript>
<link rel="stylesheet" href="/assets-aksam/css/detay.css?v=tm2">
</noscript>
<link rel="stylesheet" href="/assets-aksam/css/haberOzet.css?v=tm5">
<link rel="stylesheet" href="/assets-aksam/css/video-ozet.css?v=tm4">
<style>
.newsSummaries
{width:100%;}
</style>
<script async>!function(){var t=document.createElement("script");t.setAttribute("src",'https://cdn.p.analitik.bik.gov.tr/tracker'+(typeof Intl!=="undefined"?(typeof (Intl||"").PluralRules!=="undefined"?'1':typeof Promise!=="undefined"?'2':typeof MutationObserver!=='undefined'?'3':'4'):'4')+'.js'),t.setAttribute("data-website-id","c1ac1cee-fc52-4a6e-9568-5a7d20ebb741"),t.setAttribute("data-host-url",'//c1ac1cee-fc52-4a6e-9568-5a7d20ebb741.collector.p.analitik.bik.gov.tr'),document.head.appendChild(t)}();</script>
<!--Google Tag Manager -->
<script async>(function(w,d,s,l,i){w[l]=w[l]||[];w[l].push({'gtm.start':
new Date().getTime(),event:'gtm.js'});var f=d.getElementsByTagName(s)[0],
j=d.createElement(s),dl=l!='dataLayer'?'&l='+l:'';j.async=true;j.src=
'https://www.googletagmanager.com/gtm.js?id='+i+dl;f.parentNode.insertBefore(j,f);
})(window,document,'script','dataLayer','GTM-WWK5PN7');</script>
<!--End Google Tag Manager -->

<script src="https://www.aksam.com.tr/js/global.js?v=1907.2025.29.mou6"></script>
<link rel="preconnect" href="https://www.gstatic.com"> 

<style>

	.twoCategoryArea .titleCategory .switch-button {
	 padding: 15px;
	 background-color: #f5f5f5;
	 border-radius: 8px 140px 0 0;
}
 .twoCategoryArea .twoCategoryList {
	 display: flex;
	 justify-content: space-between;
	 flex-flow: wrap;
}
 @media only screen and (max-width: 767px) {
	 .twoCategoryArea .twoCategoryList {
		 display: block;
	}
}
 .twoCategoryArea .twoCategoryList .item {
	 width: 100%;
	 margin-bottom: 30px;
}
 @media only screen and (max-width: 767px) {
	 .twoCategoryArea .twoCategoryList .item {
		 width: 100%;
	}
}
 .twoCategoryArea .twoCategoryList .item h3 {
	 margin-top: 10px;
	 padding: 0 1.2rem;
	 margin-bottom: 10px;
	font-size:22px;
}
 .twoCategoryArea .right_media_area .image-wrapper {
	 padding-bottom: 56.25%;
}
 .twoCategoryArea .right_media_area .image-wrapper img {
	 margin-top: 0;
}
body, html {
    margin-top: 0 !important;
}
</style>
<link rel="preload" href="/assets-aksam/font/Poppins-Regular.woff2" as="font" type="font/woff2" crossorigin="anonymous">
    <link rel="preload" href="/assets-aksam/font/Poppins-Bold.woff2" as="font" type="font/woff2" crossorigin="anonymous">
	<style>
                @font-face{font-family:'Poppins';src:url(/assets-aksam/font/Poppins-Light.woff2) format('woff2');font-weight:300;font-style:normal;font-display:swap}@font-face{font-family:'Poppins';src:url(/assets-aksam/font/Poppins-Regular.woff2) format('woff2');font-weight:400;font-style:normal;font-display:swap}@font-face{font-family:'Poppins';src:url(/assets-aksam/font/Poppins-Medium.woff2) format('woff2');font-weight:500;font-style:normal;font-display:swap}@font-face{font-family:'Poppins';src:url(/assets-aksam/font/Poppins-SemiBold.woff2) format('woff2');font-weight:600;font-style:normal;font-display:swap}@font-face{font-family:'Poppins';src:url(/assets-aksam/font/Poppins-Bold.woff2) format('woff2');font-weight:700;font-style:normal;font-display:swap}
        .newHeaderArea{font-family:Poppins,"Segoe UI",Roboto,"Helvetica Neue",sans-serif;margin-bottom:16px}.newHeaderArea .colorBlack{color:#000!important}.newHeaderArea .header-main .logo-area .drop-select .drop-content{z-index:99991}.newHeaderArea .newsProfit{background:0 0!important;font-size:12px!important}.newHeaderArea .right ul li a{font-weight:700;font-size:12px}.newHeaderArea .diffExchange .diffPrice{font-weight:700;font-size:13px;margin-right:2px}.newHeaderArea .diffExchange .currency-icon{margin-right:1px;font-weight:500}.newHeaderArea .diffExchange i{background:#d9d9d9;color:#007238;display:flex;width:14px;height:14px;align-items:center;justify-content:center;border-radius:50%;font-size:10px}.newHeaderArea .socialNewDiff{width:96px}.newHeaderArea .menuSearch{margin-left:20px}.newHeaderArea .menuSearch .icon{position:absolute;z-index:9999;right:6px;top:7px;font-size:12px}.newHeaderArea .menuSearch .drop-content{display:block;position:inherit;padding:0!important;border:none;box-shadow:none;width:124px;right:0;min-width:auto;margin:0}.newHeaderArea .menuSearch .drop-content input{width:124px;background:#d9d9d9;border-radius:20px;padding:2px 10px};
    </style>
<!-- google ad-->

<script async src="https://securepubads.g.doubleclick.net/tag/js/gpt.js"></script>
     <script async src="https://img2.aksam.com.tr/folders/js/prebid.js?v=10"></script>
	 <script async src="https://img2.aksam.com.tr/folders/js/pgn-native-aksamcomtr.dev.js?v=6"></script>
    <script type='text/javascript'>
       var pbjs = window.pbjs || { que: [] };
        var googletag = googletag || {};
        googletag.cmd = googletag.cmd || [];
        var tmAds = tmAds || {};
        tmAds.queue = tmAds.queue || [];

        var PgnN = PgnN || {};
        PgnN.queue = PgnN.queue || [];
		var pgnPbjs = window.pgnPbjs || { que: [] };
    </script>
    <script async src="https://img2.aksam.com.tr/folders/js/tmAds-aksam4.js?v=10"></script>
   
</head>
<body class="detay infinite">
 
<script type="application/ld+json">
        {
            "@context": "https://schema.org",
            "@type": "WebSite",
            "url": "https://www.aksam.com.tr/",
            "potentialAction": {
                "@type": "SearchAction",
                "target": "https://www.aksam.com.tr/index/{queryKeyword}",
                "query-input": "required name=queryKeyword"
            }
        }
</script>
<script type="application/ld+json">
        {
            "@context": "https://schema.org",
            "@type": "NewsArticle",
			"inLanguage": "tr-TR",
			"genre": "news",
			"isFamilyFriendly": "True",
            "articleSection": "Eğitim",
            "mainEntityOfPage": {
                "@type": "WebPage",
                "@id": "https://www.aksam.com.tr/egitim/kpss-ortaogretim-sinavi-kac-net-kac-puan-kpss-2016-puan-hesaplama/haber-568535"
            },
            "headline": "KPSS puan hesaplama, KPSS ortaöğretim sınavı kaç net kaç puan&quot; ",
            "alternativeHeadline": "KPSS puan hesaplama, KPSS ortaöğretim sınavı kaç net kaç puan&quot; ",
            "wordCount": "606",
			"typicalAgeRange":"7-",
			"keywords":"KPSS ortaöğretim sınavı,kaç net kaç puan,KPSS 2016 puan hesaplama",
            "image": {
                "@type": "ImageObject",              
                
				"url": "https://img3.aksam.com.tr/imgsdisk/2016/11/20/201120161132253418924_2.jpg",
                "width": 650,
                "height": 343				
            },
"datePublished": "2016-11-23T17:19:00+03:00",
"dateModified": "2016-11-23T17:19:00+03:00",
"description": "KPSS puanın hesaplanmasında o yıl sınava giren öğrencilerin her bir test için ayrı ayrı aritmetik ortalama ve standart sapma değerleri ile testlerden yapılan maximum netler belirleyici olmaktadır. KPSS ortaöğretim sınavı kaç net kaç puan? KPSS 2016 puan hesaplama işlemlerini haberimizde detaylı olarak açıkladık",
			"speakable": {
                "@type": "SpeakableSpecification",
                "cssSelector": [
                    "h1",
                    "h2",
                    "#text .text"
                ]
				},
            "articleBody": "<p style=&quot;line-height: 20.8px;&quot;>2016 KPSS ortaöğretim sınavı sonrasında memur adayları şimdiden &quot;Kaç net kaç puan getirir&quot;&quot; ve &quot;KPSS güncel puan hesaplama robotu&quot; sistemlerini kullanmaya başladılar.  Binlerce memur adaylarının aklına takılan en önemli soru ise memurluk sınavındaki sorular kaç net kaç puan yapar&quot; Adaylar imtihan sonuçlarını ise  T.C. Kimlik Numaraları ve şifreleri ile ÖSYM’nin https://sonuc.osym.gov.tr İnternet adresinden ve mobil uygulamalarından öğrenebileceklerdir    <p style=&quot;line-height: 20.8px;&quot;>",
            "author": {
                "@type": "Thing",
                "name": "www.aksam.com.tr",
				"url":"https://www.aksam.com.tr"
            },
            "publisher": {
                "@type": "Organization",
                "name": "AKŞAM",
                "logo": {
                    "@type": "ImageObject",
                    "url": "https://www.aksam.com.tr/images/aksam-logo-amp.png",
                    "width": 600,
                    "height": 60
                }
            }
        }
</script>

<script type="application/ld+json">
     {
        "@context": "https://schema.org",
        "@type": "BreadcrumbList",
        "itemListElement": [{
            "@type": "ListItem",
            "position": 1,
            "item": {
                "@id": "https://www.aksam.com.tr/",
                "name": "Haberler"
            }
        }, {
            "@type": "ListItem",
            "position": 2,
            "item": {
                "@id": "https://www.aksam.com.tr/egitim/",
                "name": "Eğitim"
            }
        }, {
            "@type": "ListItem",
            "position": 3,
            "item": {
                "@id": "https://www.aksam.com.tr/egitim/kpss-ortaogretim-sinavi-kac-net-kac-puan-kpss-2016-puan-hesaplama/haber-568535",
                "name": "KPSS puan hesaplama, KPSS ortaöğretim sınavı kaç net kaç puan&quot; "
            }
        }
		]
    }
</script>
<div class="container"><div align="center" style="margin: 0 auto;height:95px"><div id='div-gpt-ad-1430735535244-6'>
 <div class="js-gpt-ad"
        data-adunit="/176558932/aksam_web_guncel/tepe_genel"
        data-sizes='[[970, 90], [980, 90], [728, 90]]'
        data-lazy="false"
        data-threshold="500"
        data-mobile-adunit=""
        data-mobile-sizes=''>
</div>
 </div> </div></div>
    <div class="shell">
      <div class="newHeaderArea">
            <div class="header-main margin-bottom-sm margin-top-sm">
                <div class="container flex middle">
                    <div class="left">
                        <div>  
                            <h1>
                                <a href="/" title="Haberler, Son Dakika Haberleri">
                                    <img src="https://img3.aksam.com.tr/folders/logolar/aksam-logo.svg" alt="Haberler" title="Haberler" width="180" height="45">
                                </a>
                            </h1>  
                        </div>
                    </div>
                    <div class="right width-full">
                        <ul class="logo-area flex middle between">
                            <li><a rel="nofollow" class="link-popup" href="https://www.star.com.tr/acik-gorus/"><img src="https://img3.aksam.com.tr/folders/logolar/acikgorus-logo.png" alt="Açık Görüş Haberleri" title="Açık Görüş Haberleri" width="123" height="24" style="width:123px;height:24px;margin-top:0px"></a></li> 							
                            <li><a href="/spor/" target="_blank"><img src="https://img3.aksam.com.tr/folders/logolar/sporlogo24.png" alt="Spor Haberleri" title="Spor Haberleri" width="80" height="24" style="width:80px;height:24px;margin-top:0px"></a></li>
							
                            <li><a href="https://www.aksam.com.tr/son-dakika/">Son Dakika</a></li>
                            <li><a href="https://www.aksam.com.tr/haber-ozetleri/">Haber Özetleri</a></li>
                            <li><a href="https://www.aksam.com.tr/ekonomi/">Ekonomi</a></li>
                            <li><a href="https://www.aksam.com.tr/seyahat/">Seyahat</a></li>
                            <li><a href="https://www.aksam.com.tr/yazarlar/">Yazarlar</a></li>
                            <li><a href="https://www.aksam.com.tr/resmi-ilanlar/">Resmi İlanlar</a></li>
                              <li class="drop-select cursor-pointer"><span class="flex middle dropdown-toggle" data-toggle="dropdown"><span class="margin-right-sm"></span><i class="icon icon-menu font-size-11"></i></span>
                                    <ul class="drop-content font-size-12">
                                        <li><a href="/foto-galeri/" target="_blank">Foto Galeri</a></li>
                                        <li><a href="/video/haberler/" target="_blank">Video Galeri</a></li>
										 <li><a href="/video/" target="_blank">Akşam TV</a></li>
                                        <li><a href="/resmi-ilanlar/" target="_blank">Resmi İlanlar</a></li>
                                        <li><a href="/gundem-analiz/" target="_blank">Gündem Analiz</a></li>
                                        <li><a href="/venus/" target="_blank">Venüs</a></li>
                                        <li><a href="/magazin/" target="_blank">Magazin</a></li>
                                        <li><a href="https://kadin.aksam.com.tr" target="_blank">Kadın Haberleri</a></li>
                                        <li><a href="/canli-skor/" target="_blank">Canlı Skor</a></li>
                                        <li><a href="https://quiz.aksam.com.tr" target="_blank">Quiz</a></li>
                                        <li><a href="https://ruyatabirleri.aksam.com.tr/" target="_blank">Rüya Tabirleri</a></li>
                                        <li><a href="/yasam/" target="_blank">Yaşam</a></li> 
										<li><a href="/otomobil/" target="_blank">Otomobil</a></li>
                                        <li><a href="/kobi/" target="_blank">Kobi</a></li>
                                        <li><a href="/dunya/" target="_blank">Dünya</a></li>
                                        <li><a href="/kultur-sanat/" target="_blank">Kültür Sanat</a></li>
                                        <li><a href="/egitim/" target="_blank">Eğitim</a></li>
                                        <li><a href="/televizyon/" target="_blank">Televizyon</a></li>
                                        <li><a href="/cumartesi/" target="_blank">Cumartesi</a></li>
                                        <li><a href="/sinema/" target="_blank">Sinema</a></li>
                                        <li><a href="/kitap/" target="_blank">Kitap</a></li>
                                        <li><a href="/trend/" target="_blank">Trend</a></li>
                                        <li><a href="/tarih/" target="_blank">Tarih</a></li>
                                        <li><a href="/teknoloji/" target="_blank">Bilim Ve Teknoloji</a></li>
                                        <li><a href="https://e-gazete.aksam.com.tr/" target="_blank">E-gazete</a></li>
                                        <li><a href="/hava-durumu-15-gunluk-havadurumu/" target="_blank">Hava Durumu</a></li>
                                        <li><a href="/kunye/" target="_blank">Künye</a></li>
                                        <li class="divider"></li>
                                        <li><a href="/guncel/" target="_blank">Güncel</a></li>
                                        <li><a href="/saglik/" target="_blank">Sağlık</a></li>
                                        <li><a href="/mor-papatya/moda/" target="_blank">Moda</a></li>
                                        <li><a href="/mor-papatya/" target="_blank">Mor Papatya</a></li>
                                    </ul>
                                </li> 
                        </ul> 
                        <div class="flex middle">
                                <ul class="menu-area flex middle between width-full">
                                    <li style="margin-right: 17px;"><a href="/venus/" target="_blank"><img src="https://www.aksam.com.tr/venus/venuslogo.png" alt="Spor Haberleri" title="Spor Haberleri" width="80" height="24" style="width:80px;height:24px;margin-top:0px"></a></li>
                                    <li><a href="/mor-papatya/" target="_blank"><img src="https://img3.aksam.com.tr/folders/logolar/morpapatya-logo.png" alt="Mor Papatya Haberleri" title="Mor Papatya Haberleri" width="109" height="40" style="width:109px;height:40px;margin-top:0px"></a></li>
                                     
<li class="down flex middle diffExchange"><span class="currency-icon margin-right-sm colorBlack">$</span><span class="margin-right-sm diffPrice">44,6094</span><i class="icon font-size-10 icon-up-arrow"></i></li><li class="up flex middle diffExchange"><span class="currency-icon margin-right-sm colorBlack">€</span><span class="margin-right-sm diffPrice">51,5672</span><i class="icon font-size-10 icon-up-arrow"></i></li><li class="down flex middle diffExchange"><i class="currency-icon icon icon-profit newsProfit margin-right-sm colorBlack"></i><span class="margin-right-sm diffPrice">6681.8</span><i class="icon font-size-10 icon-up-arrow"></i></li>


                                    <ul class="flex middle between socialNewDiff">
										<li>
                                            <a class="flex middle" href="https://sosyal.teknofest.app/@aksamgazetesi" target="_blank">
                                                <img src="https://www.aksam.com.tr/images/nextapp.png" style="width: 16px;background: #d9d9d9;">
                                            </a>
                                        </li>
										
                                        <li>
                                            <a class="flex middle" href="https://www.facebook.com/Aksam/" target="_blank">
                                                <img src="/assets-aksam/img/facebook_icons.svg">
                                            </a>
                                        </li>


                                        <li>
                                            <a class="flex middle" href="https://x.com/aksam" target="_blank">
                                               <img src="/assets-aksam/img/X_icons.svg">
                                            </a>
                                        </li>
                                    
                                        <li>
                                            <a class="flex middle" href="https://www.youtube.com/user/aksamgazetesi/?sub_confirmation=1" target="_blank">
                                                 <img src="/assets-aksam/img/youtube_icons.svg">
                                            </a>
                                        </li>

                                        <li>
                                            <a class="flex middle" href="https://www.linkedin.com/company/aksamgazetesi/" target="_blank">
                                                <img src="/assets-aksam/img/Linkedin_icons.svg">
                                            </a>
                                        </li>
                                                    
                                        <li>
                                            <a class="flex middle" href="https://instagram.com/aksam/" target="_blank">
                                                 <img src="/assets-aksam/img/instagram_icons.svg">
                                            </a>
                                        </li>		
                                    </ul>
                                </ul>                          
                             <ul class="menu-area flex middle between font-weight-7 menuSearch">                            
                                <li class="flex middle">
                                    <div class="drop-select search"><i class="icon cursor-pointer icon-search font-size-17 block"></i>
                                        <div class="drop-content padding-md">
                                            <form class="searchform" name="searchform" action="/search/" method="get">
                                            <input type="text" placeholder="Arama" name="keyword">
                                            </form>
                                        </div>
                                    </div>
                                </li>
                            </ul>							
                        </div>                       
                    </div>
                </div>
            </div>
        </div>
		<script>


	setTimeout(function(){

		$(window).scroll(function() {    
		var scroll = $(window).scrollTop();
		if (scroll >= 150) {
			$(".newPageSkin").addClass("activeTop");
		}else{
			$(".newPageSkin").removeClass("activeTop");
		}
		}); 
    


}, 2000);
</script>

<style>
	
	.newPageSkin{
		position: fixed;
		z-index: 205;
		max-width: 1010px;
		margin: 0 auto;
		line-height: 0;
		left: 0;
		margin-top: 0;
		top: 224px;
		width: 101rem;
		right: 0;
	}
	
	.newPageSkin.activeTop{
		top: 10px;
	}
	
	.solkule iframe{
		float: right;
	}
	
	
	.solkule > div{
		float: right;
	}
	
	.newPageSkin.activeTop{
		top: 10px;
	}
	#div-gpt-ad-1430735535244-4 > div{
    width: auto !important;
    display: block !important;
}
.safari17end .solkule{
			margin-left: -24rem;
		}
		.safari17end .sagkule{
			margin-right: -24rem;
		}
</style>
<div class="newPageSkin">
<div class="solkule absolute left-0">
	<div id="div-gpt-ad-1430735535244-4">
		<div class="js-gpt-ad"
        data-adunit="/176558932/aksam_web_k.sanat/160x600_sol"
        data-sizes='[[180, 600], [160, 600], [300, 600]]'
        data-lazy="false"
        data-threshold="500"
        data-mobile-adunit=""
        data-mobile-sizes=''>
</div>
	</div>		
	</div>
<div class="sagkule absolute right-0">
	<div id="div-gpt-ad-1430735535244-3">
	<div class="js-gpt-ad"
        data-adunit="/176558932/aksam_web_k.sanat/160x600_sag"
        data-sizes='[[180, 600], [160, 600], [300, 600]]'
        data-lazy="false"
        data-threshold="500"
        data-mobile-adunit=""
        data-mobile-sizes=''>
</div>
	</div>
</div>
</div>
		
		
	   <div class=" infinite-main" data-ajaxurl="https://www.aksam.com.tr/newsdetail-infinitive.asp" data-type="news" data-category="122" data-preload="false" data-count="https://ac.cdnstr.com/count-ac.asp?ctype=0&@@@=">
	   
        <div class="infinite-item" data-id="568535" data-nextid="1357729" data-pageurl="/egitim/kpss-ortaogretim-sinavi-kac-net-kac-puan-kpss-2016-puan-hesaplama/haber-568535">
      <div class="container">
	  

	    <div  style="height:262px;">
		<div id="masthead-wrapper">
	     <div id="masthead">
	     <div  class="masthead center">
	    <div id='div-gpt-ad-1446019913291-3' style='width: 980px;background-color: #f2f2f2;'>
		 <div class="js-gpt-ad"
        data-adunit="/176558932/aksam_web_k.sanat/masthead"
        data-sizes='[[980, 250], [970, 250]]'
        data-lazy="false"
        data-threshold="500"
        data-mobile-adunit=""
        data-mobile-sizes=''>
</div>
		</div>
	    </div>
	     </div>
		  </div>  
	    </div>    
	
    <!--masthead-wrapper bitti-->
        <div class="row">
          <div class="col-8 stky">
            <div class="content" >
              <ul class="breadcrumb flex middle margin-bottom-md font-weight-7 font-size-12">
             		<li><a href="https://www.aksam.com.tr/">Haberler</a></li>
                <li class="flex middle"><i class="icon icon-right-arrow-line font-size-10 margin-left-sm margin-right-sm"></i></li>
               
<li><a href="https://www.aksam.com.tr/egitim/">Eğitim</a></li>
<li class="flex middle"><i class="icon icon-right-arrow-line font-size-10 margin-left-sm margin-right-sm"></i></li>
                <li>KPSS puan hesaplama, KPSS ortaöğretim sınavı kaç net kaç puan? </li>
              </ul>
              <div class="time font-size-12 margin-bottom-md">              
           23 Kasım 2016 Çarşamba 17:19 | Son Güncelleme: <time datetime="2016-11-23T17:19:00+03:00">
                            23 Kasım 2016 Çarşamba 17:19                  
                            </time>
              </div>
              <h1 class="title-1 color-primary font-weight-7 font-size-32 margin-bottom-md">KPSS puan hesaplama, KPSS ortaöğretim sınavı kaç net kaç puan? </h1>
             
 <div class="image-wrapper margin-bottom-md" style="background-color:white">

                               <img id="foto-detail" alt="KPSS ortaöğretim sınavı kaç net kaç puan KPSS 2016 puan hesaplama fotoğrafları resimleri" src="https://img3.aksam.com.tr/imgsdisk/2016/11/20/201120161132253418924_2.jpg" />
                                
</div>                          
  
             <ul class="social-media-links flex between"> 
                <li>
                  <ul class="flex middle">
                    <li class="share-title">Haberi Paylaş:</li>
					<li><a class="flex middle" href="https://nsosyal.com/share?text=KPSS+puan+hesaplama,+KPSS+orta%C3%B6%C4%9Fretim+s%C4%B1nav%C4%B1+ka%C3%A7+net+ka%C3%A7+puan?++https://www.aksam.com.tr/egitim/kpss-ortaogretim-sinavi-kac-net-kac-puan-kpss-2016-puan-hesaplama/haber-568535/" target="_blank" style="background: #d3d3d3;padding: 0 4px;"><i class="icon"><img src="/images/nextapp.png" width="40" height="40" style="width: 23px;height: auto;border-radius: 50%;"></i></a></li>
					<li><a class="whatsapp flex middle" href="https://web.whatsapp.com/send?text=KPSS+puan+hesaplama,+KPSS+orta%C3%B6%C4%9Fretim+s%C4%B1nav%C4%B1+ka%C3%A7+net+ka%C3%A7+puan?+ https://www.aksam.com.tr/egitim/kpss-ortaogretim-sinavi-kac-net-kac-puan-kpss-2016-puan-hesaplama/haber-568535/" style="background-color: #51ca5f;"><i class="icon icon-whatsapp"></i></a>
					</li>
                    <li><a class="twitter flex middle" href="" onclick="window.open('https://twitter.com/share?url=https://www.aksam.com.tr/egitim/kpss-ortaogretim-sinavi-kac-net-kac-puan-kpss-2016-puan-hesaplama/haber-568535/&text=KPSS+puan+hesaplama,+KPSS+orta%C3%B6%C4%9Fretim+s%C4%B1nav%C4%B1+ka%C3%A7+net+ka%C3%A7+puan?+&via=Aksam' , 'Paylaşım' , 'width=626,height=436' ); return false;" target="_blank" style="background:black;"><i class="icon"><svg width="21" height="24" viewBox="0 0 21 24" fill="none" xmlns="https://www.w3.org/2000/svg">
<path d="M16.9265 5.4375L12.0608 10.9969L17.7843 18.5625H13.303L9.79678 13.9734L5.77959 18.5625H3.55303L8.75615 12.6141L3.26709 5.4375H7.86084L11.0343 9.63281L14.6999 5.4375H16.9265ZM15.1546 17.2313L7.19053 6.69844H5.86396L13.9171 17.2313H15.1499H15.1546Z" fill="white"/>
</svg></i></a></li>
					<li><a class="facebook flex middle" href="" onclick="window.open( 'https://www.facebook.com/sharer/sharer.php?u=https://www.aksam.com.tr/egitim/kpss-ortaogretim-sinavi-kac-net-kac-puan-kpss-2016-puan-hesaplama/haber-568535/', 'Paylaşım', 'width=626,height=436'); return false;"><i class="icon icon-facebook"></i></a></li>                    
                    <li><a class="mail flex middle" href="mailto: ?Subject=KPSS+puan+hesaplama,+KPSS+orta%C3%B6%C4%9Fretim+s%C4%B1nav%C4%B1+ka%C3%A7+net+ka%C3%A7+puan?+&body=https://www.aksam.com.tr/egitim/kpss-ortaogretim-sinavi-kac-net-kac-puan-kpss-2016-puan-hesaplama/haber-568535/"><i class="icon icon-mail"></i></a></li>
                  </ul>
                </li>
				
				<li>
					<a class="flex middle flx" href="https://news.google.com/publications/CAAqBwgKMISojgswtI6hAw?ceid=TR:tr&amp;oc=3" target="_blank" style="color: #000;">
						<div class="font-size-12 text-nowrap margin-right-sm color-gray-medium">ABONE OL</div>
						<img class="border" src="https://img3.aksam.com.tr/folders/google-news-logo.svg" height="30" >
					</a>
				</li>
				
                <li>
                  <ul class="flex middle">
                    <li class="text"><span class="big">A</span><span class="small">A</span></li>
                    <li><a class="print flex middle" onclick="window.print();" href="javascript:avoid(0)"><i class="icon icon-printer margin-right-sm"></i><span>yazdır</span></a></li>
                  </ul>
                </li>  
              </ul>
			  <div class="margin-bottom-md"></div>
			
              <div id="text">
                <h2 class="spot font-weight-7 font-size-18 margin-bottom-md">KPSS puanın hesaplanmasında o yıl sınava giren öğrencilerin her bir test için ayrı ayrı aritmetik ortalama ve standart sapma değerleri ile testlerden yapılan maximum netler belirleyici olmaktadır. KPSS ortaöğretim sınavı kaç net kaç puan? KPSS 2016 puan hesaplama işlemlerini haberimizde detaylı olarak açıkladık</h2>
                
								<div align=center id='div-gpt-ad-1520322619848-0' style="height:260px;">
								<div class="" style="display:flex;justify-content: center;">
     <div style="text-align: center;display:flex;gap:20px;justify-content:center;margin:0 0 20px 0;">
          <div class="js-gpt-ad"
               data-adunit="/176558932/aksam_web_k.sanat/h.ici_300x250"
               data-sizes='[[300, 250]]'
               data-lazy="true"
               data-threshold="500"
               data-mobile-adunit=""
               data-mobile-sizes=''>
          </div>
          <div class="js-gpt-ad"
               data-adunit="/176558932/aksam_web_k.sanat/h.ici_300x250"
               data-sizes='[[300, 250]]'
               data-lazy="true"
               data-threshold="500"
               data-mobile-adunit=""
               data-mobile-sizes=''>
          </div>
     </div>
</div>
								</div>
									
 <div class="text font-size-16 margin-bottom-lg newsDetailText" id="icerikAlani" property="articleBody">
 <article>
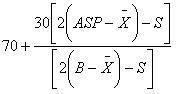
 <p style="line-height: 20.8px;">2016 KPSS ortaöğretim sınavı sonrasında memur adayları şimdiden "Kaç net kaç puan getirir?" ve "KPSS güncel puan hesaplama robotu" sistemlerini kullanmaya başladılar.  Binlerce memur adaylarının aklına takılan en önemli soru ise memurluk sınavındaki sorular kaç net kaç puan yapar? Adaylar imtihan sonuçlarını ise  T.C. Kimlik Numaraları ve şifreleri ile ÖSYM’nin https://<a rel="nofollow" href="http://sonuc.osym.gov.tr">sonuc.osym.gov.tr</a> İnternet adresinden ve mobil uygulamalarından öğrenebileceklerdir</p>    <p style="line-height: 20.8px;"><img alt="" src="https://img3.aksam.com.tr/fotogaleri/haber_icerik/images/KPSS%202016%20ortao%CC%88g%CC%86retim%20s%C4%B1nav%C4%B1%2Dbelge(2).jpg" style="width: 640px; height: 335px;" /></p>    <p style="line-height: 20.8px;"><strong>KPSS PUANI HESAPLAMA İŞLEMLERİ</strong></p>    <p>KPSS puanın hesaplanmasında o yıl sınava giren öğrencilerin her bir test için ayrı ayrı aritmetik ortalama ve standart sapma değerleri ile testlerden yapılan maximum netler belirleyici olmaktadır. Bu değerler bilinmeden o yıla ait puanların hesaplanması mümkün değildir. KPSS Puanlarında kullanılan aritmetik ortalama ve standart sapma değerlerini ÖSYM&#39;nin yayınlamış olduğu o yıla ait sayısal bilgilerden, testlerden yapılan max netleri ise (Örn. GK:60, GY:58, EB:115 gibi) tahmini olarak belirleyip puan hesaplıyoruz.</p>    <p>G.Y - G.K. ve E.B. Testleri için adayın doğru cevaplarından yanlış cevap sayısının dörtte biri düşülerek ham puanlar bulunur. (Xi) Ham Puanlara ait aritmetik ortalama () ve standart sapmalar(Sx) hesaplanır. Adayın ham puanı ,aritmetik ortalama ve standart kayma kullanılarak standart puan hesaplanır.(T)</p>    <p><img alt="" src="https://img3.aksam.com.tr/fotogaleri/haber_icerik/images/KPSS%202016%20s%C4%B1nav%20suresi(10).jpg" style="opacity: 0.9; width: 640px; height: 360px;" /></p>    <p><img alt="" src="https://img3.aksam.com.tr/fotogaleri/haber_icerik/images/Hampuan.jpg" style="width: 300px; height: 135px;" /></p>    <p>T : Standart Puan</p>    <p>Xi  : Adaya ait ham puan</p>    <p>: Teste ait aritmetik ortalama</p>    <p>Sx : Standart Sapma</p>    <p>Her test için bulunan standart puanlardan yine ASP ler hesaplanır.</p>    <p>KPSS10 puanı için Örnek ASP aşağıdadır.</p>    <p>KPSS10 için ASP = G.Y.Standart Paun*0.3 + G.K. Standart Paun*0.3 + E.B.Standart Paun*0.4</p>    <p>         KPSS Puanı   =    </p>    <p><img alt="" src="https://img3.aksam.com.tr/fotogaleri/haber_icerik/images/KPSSPuan.jpg" style="width: 300px; height: 160px;" /></p>    <p><br />  ASP : Adayın ağırlıklı standart puanı</p>    <p>   : Ağırlıklı standart puan dağılımına ilişkin aritmetik ortalama</p>    <p>S : Ağırlıklı standart puan dağılımına ilişkin standart kayma</p>    <p>B : ASP dağılımında en yüksek ASP</p>    <p>Site üzerinde hesaplanan KPSS 3 (KPSSP3), KPSS 10 (KPSSP10), KPSS 93 (KPSSP93), KPSS 94 (KPSSP94) puanları yukarıdaki formül ve ÖSYM&#39;nin açıkladığı sayısal bilgiler kullanılarak hesaplanmaktadır</p>    <p><strong>KPSS PUANI NASIL HESAPLANIR?</strong></p>    <p style="line-height: 20.8px;"><span style="line-height: 20.8px;">0.5 x (Genel kültür + genel yetenek neti) + 40 ile -+5 puan farkla puanınızı hesaplayabilirsiniz. Bu hesaplamaya göre yukarıdaki adayın puanı 0,5 x 70 + 40 = 75 puan olmalıydı. Ancak yapılan testlerin Türkiye ortalaması ve standart sapma değerleri -+5 puan oynamaktadır. </span></p>    <p style="line-height: 20.8px;">Kpss puan hesaplama motoru ile 2016 puanınızı hesaplayabilirsiniz. Bu yapacağınız hesaplama yalnızca p3 puanı için değildir. Şüphesiz hesap konusunda en çok meraklı olanlar öğretmen adaylarıdır. Onbinlerce aday arasından öğretmen olmak isteyenler üç farklı oturuma girmektedirler. Lisans, eğitim bilimleri ve öabt testine giren adaylar atanmak için p121 puanına bakmaktadır. p121 puan hesaplama motoru ile de öğretmenlik puanı olan öabt puanınızı hesaplayabilirsiniz.</p>    <p style="line-height: 20.8px;"><img alt="" src="https://img3.aksam.com.tr/fotogaleri/haber_icerik/images/kpss2016%2Dpuan%2Dhesaplama4.jpg" style="opacity: 0.9; width: 640px; height: 320px;" /></p>    <p><strong>KPSS&#39;DE KAÇ NET KAÇ PUAN YAPAR?</strong></p>    <p>KPSS 2016 Lisans bölümü puan hesaplaması nasıl olur? Puanların ve netlerin en ince ayrıntısı ile kolaylıkla hesaplayabilirsiniz</p>    <p>KPSS LİSANS P3 PUANI</p>    <p>55 NET 70 PUAN</p>    <p>62 NET 75 PUAN</p>    <p>72 NET 80 PUAN</p>    <p>84 NET 85 PUAN</p>    <p>91 NET 90 PUAN</p>    <p><img alt="" src="https://img3.aksam.com.tr/fotogaleri/haber_icerik/images/KPSS%202016%20s%C4%B1nav%20sonuc%CC%A7lar%C4%B1(2).jpg" style="width: 640px; height: 360px;" /></p>  
</article>
</div>

<style>
    .video-container {
        background-color: #eaeaea;
        /* max-width: 585px; */
        margin: 20px auto;
        text-align: center;
        padding: 10px 15px 10px 15px;
        position: relative;
    }

    .video-header {
        color: #333;
        font-size: 15px;
        margin: 0 auto;
        background: #fff;
        width: fit-content;
        padding: 5px 20px;
        position: absolute;
		font-weight:700;
        top: 0;
        left: 0;
        right: 0;
            border-left: 3px #5c5c5c solid;
                border-bottom: 3px #5c5c5c solid;
                    border-right: 3px #5c5c5c solid;
    }

    .video-title {
        color: #d0011b;
        font-size: 19px;
        line-height: 1.4;
            display: block;
        margin: 25px 0 10px 0;
		font-weight:700;
    }

    .video-wrapper {
        position: relative;
        width: 100%;


    }

    .video-wrapper.visible {
        opacity: 1;
    }

    .fixed-footer-video{
        position: fixed;
        width: 300px;
        right: 1.6rem;
        padding-bottom: 0;
        height: 240px;
        z-index: 9999;
        bottom: 0;
    
    }

    .embed-responsive iframe, .embed-wrapper iframe {
        height: 100%;
        width: 100%;
        position: absolute;
        top: 50%;
        left: 50%;
        transform: translate(-50%, -50%);
        border: 0;
    }
</style>
<div style="height:450px">
<div class="video-container">
    <h3 class="video-header">ÖNERİLEN VİDEO</h3>
    <h4 class="video-title"><a href="https://www.aksam.com.tr/guncel/daha-12-yasindaydi-istanbulda-scooter-suruyordu-otomobil-carpti/haber-1619207" target="_blank">Daha 12 yaşındaydı! İstanbul'da scooter sürüyordu, otomobil çarptı</a></h4>
     <div id="embedVideoFooter">  
	 <div class="closeBtnVrs" style="color: #fff;text-align: right;">
	<span id="closeEmbedVideoFooter" style="background: #000;padding: 2px 10px;font-size: 16px;cursor: pointer;display: inline-block;">
		Kapat
	</span>
</div>
      <div class="embed-responsive video-wrapper" data-video-visible="false">  
          <div id="videoPlaceholder" style="width: 585px; height: 328px; background-color: #000; display: flex; justify-content: center; align-items: center;">  
              <span style="color: white;">Video yükleniyor...</span>  
          </div>  
      </div>  
    </div>  
</div></div>

		
	

<div class="flx fbw mbm" style="height:300px;margin-bottom:15px">
<div id="div-gpt-ad-1676373733015-0">

<div class="" style="display:flex;justify-content: center;">
     <div style="text-align: center;display:flex;gap:20px;justify-content:center;margin:0 0 20px 0;">
          <div class="js-gpt-ad"
               data-adunit="/176558932/Multiplex_reklamlar/aksam_web_multiplex"
               data-sizes='[[300, 250]]'
               data-lazy="true"
               data-threshold="500"
               data-mobile-adunit=""
               data-mobile-sizes=''>
          </div>
          <div class="js-gpt-ad"
               data-adunit="/176558932/Multiplex_reklamlar/aksam_web_multiplex"
               data-sizes='[[300, 250]]'
               data-lazy="true"
               data-threshold="500"
               data-mobile-adunit=""
               data-mobile-sizes=''>
          </div>
     </div>
</div>
</div>                    
</div>
<div style="height:875px"><div class='pgn-native-d-ba' pgn-native-ros='1' pgn-native-unit='native' pgn-native-w='d-ba' pgn-native-sniu='1' pgn-native-f="n,n,n|n,n,n|n,n,n" pgn-native-scheme="a,a,a|a,a,n|a,a,n" pgn-native-ortb-ver="1.1" pgn-native-cp='10' style='overflow:hidden;'></div></div>
<div class="twoCategoryArea"> 
  <div class="titleCategory">
	<div class="font-size-24 font-weight-7 switch-button right-switch background-gray width-full inline-block margin-bottom-md">ÖNE ÇIKANLAR</div>
  </div>
  <div class="twoCategoryList">
 
<div class="item shadow relative margin-bottom-md right_media_area">
		
			<div class="column">
			  <div class="image-wrapper image-134"><a href="/trend/turkiyede-tek-bu-adada-sadece-120-kisi-yasiyor/haber-1656490"><img class="image" src="https://img3.aksam.com.tr/imgsdisk/2026/04/06/turkiyede-tek-bu-adada-sa-836_2.jpg" alt="Türkiye'de tek! Bu adada sadece 120 kişi yaşıyor"></a></div>
			  <div class="caption">
				<a href="/trend/turkiyede-tek-bu-adada-sadece-120-kisi-yasiyor/haber-1656490"><h3 class="line-camp line-3 padding-md font-size-16 font-weight-7 title-1">T&#x00FC;rkiye'de tek! Bu adada sadece 120 ki&#x015F;i ya&#x015F;&#x0131;yor</h3></a>
			  </div>
			</div>
		
</div>
<div style="text-align: center;margin: 20px;">
<div class="" style="display:flex;justify-content: center;">
     <div style="text-align: center;display:flex;gap:20px;justify-content:center;margin:0 0 20px 0;">
           <div class="js-gpt-ad"
		data-adunit="/176558932/aksam_web_detay_alt/1.sira"
		data-sizes='[[300, 250], "fluid"]'
		data-mobile-adunit=""
        data-mobile-sizes=''
		
        data-lazy="true"
        data-threshold="500">
</div>
           <div class="js-gpt-ad"
		data-adunit="/176558932/aksam_web_detay_alt/1.sira"
		data-sizes='[[300, 250], "fluid"]'
		data-mobile-adunit=""
        data-mobile-sizes=''
		
        data-lazy="true"
        data-threshold="500">
</div>
     </div>
</div>
</div>

<div class="item shadow relative margin-bottom-md right_media_area">
		
			<div class="column">
			  <div class="image-wrapper image-134"><a href="/guncel/istanbulda-korkutan-yangin-15-luks-arac-kule-dondu/haber-1656349"><img class="image" src="https://img3.aksam.com.tr/imgsdisk/2026/04/06/istanbulda-korkutan-yangi-459_2.jpg" alt="İstanbul'da korkutan yangın! 15 lüks araç küle döndü"></a></div>
			  <div class="caption">
				<a href="/guncel/istanbulda-korkutan-yangin-15-luks-arac-kule-dondu/haber-1656349"><h3 class="line-camp line-3 padding-md font-size-16 font-weight-7 title-1">&#x0130;stanbul'da korkutan yang&#x0131;n! 15 l&#x00FC;ks ara&#x00E7; k&#x00FC;le d&#x00F6;nd&#x00FC;</h3></a>
			  </div>
			</div>
		
</div>
<div style="text-align: center;margin: 20px;">
<div class="" style="display:flex;justify-content: center;">
     <div style="text-align: center;display:flex;gap:20px;justify-content:center;margin:0 0 20px 0;">
           <div class="js-gpt-ad"
		data-adunit="/176558932/aksam_web_detay_alt/1.sira"
		data-sizes='[[300, 250], "fluid"]'
		data-mobile-adunit=""
        data-mobile-sizes=''
		
        data-lazy="true"
        data-threshold="500">
</div>
           <div class="js-gpt-ad"
		data-adunit="/176558932/aksam_web_detay_alt/1.sira"
		data-sizes='[[300, 250], "fluid"]'
		data-mobile-adunit=""
        data-mobile-sizes=''
		
        data-lazy="true"
        data-threshold="500">
</div>
     </div>
</div>
</div>

<div class="item shadow relative margin-bottom-md right_media_area">
		
			<div class="column">
			  <div class="image-wrapper image-134"><a href="/ekonomi/buyuk-donusum-basladi-yapay-zeka-isimi-elimden-alir-mi/haber-1656118"><img class="image" src="https://img3.aksam.com.tr/imgsdisk/2026/04/05/buyuk-donusum-basladi-yap-437_2.jpg" alt="Büyük dönüşüm başladı! Yapay zeka işimi elimden alır mı?"></a></div>
			  <div class="caption">
				<a href="/ekonomi/buyuk-donusum-basladi-yapay-zeka-isimi-elimden-alir-mi/haber-1656118"><h3 class="line-camp line-3 padding-md font-size-16 font-weight-7 title-1">B&#x00FC;y&#x00FC;k d&#x00F6;n&#x00FC;&#x015F;&#x00FC;m ba&#x015F;lad&#x0131;! Yapay zeka i&#x015F;imi elimden al&#x0131;r m&#x0131;?</h3></a>
			  </div>
			</div>
		
</div>
<div style="text-align: center;margin: 20px;">
<div class="" style="display:flex;justify-content: center;">
     <div style="text-align: center;display:flex;gap:20px;justify-content:center;margin:0 0 20px 0;">
           <div class="js-gpt-ad"
		data-adunit="/176558932/aksam_web_detay_alt/1.sira"
		data-sizes='[[300, 250], "fluid"]'
		data-mobile-adunit=""
        data-mobile-sizes=''
		
        data-lazy="true"
        data-threshold="500">
</div>
           <div class="js-gpt-ad"
		data-adunit="/176558932/aksam_web_detay_alt/1.sira"
		data-sizes='[[300, 250], "fluid"]'
		data-mobile-adunit=""
        data-mobile-sizes=''
		
        data-lazy="true"
        data-threshold="500">
</div>
     </div>
</div>
</div>


</div>
</div>

<ul class="tags flex wrap shadow margin-bottom-md">
                    
                    <li class="margin-right-sm"><div class="font-size-12 padding-sm background-gray color-graydark text-nowrap margin-bottom-sm">KPSS ortaöğretim sınavı</div></li>
                                    
                    <li class="margin-right-sm"><div class="font-size-12 padding-sm background-gray color-graydark text-nowrap margin-bottom-sm">kaç net kaç puan</div></li>
                                    
                    <li class="margin-right-sm"><div class="font-size-12 padding-sm background-gray color-graydark text-nowrap margin-bottom-sm">KPSS 2016 puan hesaplama</div></li>
                    
                  </ul>

<div id="M917114ScriptRootC1533426"></div>	
	
						
                </div>
              </div>
			  
		<div class=" center">
        <div class="loader"></div>
      </div>
			  
			  
          </div>
          <div class="col-4">
          <div align="center" style='width:300px;height:250px;margin-bottom:10px;'>
		  <div id='div-gpt-ad-1430735535244-0'>
		   <div class="js-gpt-ad"
        data-adunit="/176558932/aksam_web_k.sanat/sag_300x250"
        data-sizes='[[300, 250]]'
        data-lazy="false"
        data-threshold="500"
        data-mobile-adunit=""
        data-mobile-sizes=''>
</div>		  
		  </div>
		  </div> 
<div class="item shadow relative margin-bottom-md"><a class="full-link" href="/trend/milli-helikopter-hayat-kurtaracak-yil-sonunda-teslim-edilecek/haber-1656496">Milli helikopter hayat kurtaracak: Yıl sonunda teslim edilecek</a>
		<div class="column">
			<div class="image-wrapper image-134" style="padding-bottom: 21rem;background: #fff;"><img class="image" src="https://img3.aksam.com.tr/resize/317x180/imgsdisk/2026/04/06/milli-helikopter-hayat-ku-251_2.jpg" alt="Milli helikopter hayat kurtaracak: Yıl sonunda teslim edilecek" style="margin-top: -15px;"></div>
			<div class="caption">
			<h3 class="line-camp line-3 padding-md font-size-16 font-weight-7 title-1" style="padding: 0 1.2rem;margin-bottom: 10px;margin-top: -20px;position: relative;">Milli helikopter hayat kurtaracak: Y&#x0131;l sonunda teslim edilecek</h3>
		</div>
	</div>
</div>

<div class="item shadow relative margin-bottom-md"><a class="full-link" href="/trend/turkiyede-tek-bu-adada-sadece-120-kisi-yasiyor/haber-1656490">Türkiye'de tek! Bu adada sadece 120 kişi yaşıyor</a>
		<div class="column">
			<div class="image-wrapper image-134" style="padding-bottom: 21rem;background: #fff;"><img class="image" src="https://img3.aksam.com.tr/resize/317x180/imgsdisk/2026/04/06/turkiyede-tek-bu-adada-sa-836_2.jpg" alt="Türkiye'de tek! Bu adada sadece 120 kişi yaşıyor" style="margin-top: -15px;"></div>
			<div class="caption">
			<h3 class="line-camp line-3 padding-md font-size-16 font-weight-7 title-1" style="padding: 0 1.2rem;margin-bottom: 10px;margin-top: -20px;position: relative;">T&#x00FC;rkiye'de tek! Bu adada sadece 120 ki&#x015F;i ya&#x015F;&#x0131;yor</h3>
		</div>
	</div>
</div>

<div class="item shadow relative margin-bottom-md"><a class="full-link" href="/dunya/baskan-erdoganin-ziyaretini-hatirlatti-kardes-turkiye-ile-is-birligi-icindeyiz/haber-1656487">Başkan Erdoğan'ın ziyaretini hatırlattı: Kardeş Türkiye ile iş birliği içindeyiz</a>
		<div class="column">
			<div class="image-wrapper image-134" style="padding-bottom: 21rem;background: #fff;"><img class="image" src="https://img3.aksam.com.tr/resize/317x180/imgsdisk/2026/04/06/baskan-erdoganin-ziyareti-625_2.jpg" alt="Başkan Erdoğan'ın ziyaretini hatırlattı: Kardeş Türkiye ile iş birliği içindeyiz" style="margin-top: -15px;"></div>
			<div class="caption">
			<h3 class="line-camp line-3 padding-md font-size-16 font-weight-7 title-1" style="padding: 0 1.2rem;margin-bottom: 10px;margin-top: -20px;position: relative;">Ba&#x015F;kan Erdo&#x011F;an'&#x0131;n ziyaretini hat&#x0131;rlatt&#x0131;: Karde&#x015F; T&#x00FC;rkiye ile i&#x015F; birli&#x011F;i i&#x00E7;indeyiz</h3>
		</div>
	</div>
</div>
 
<style>
.right_media_area .image-wrapper{padding-bottom:21rem;background:#fff}.right_media_area .image-wrapper img{margin-top:-15px}.right_media_area .caption h3{padding-top:0;margin-top:-20px;position:relative}
</style>
 
<div class="asideSlider margin-bottom-md" id="asideSlider">
              <div class="swiper-container">
                <div class="swiper-wrapper">
                
                  <div class="swiper-slide"> 
								<a title="İran'dan ABD üssüne saldırı! 15 Amerikan askeri yaralandı" href="https://www.aksam.com.tr/dunya/irandan-abd-ussune-saldiri-15-amerikan-askeri-yaralandi/haber-1656589" class="full-link">
							</a>
                    <div class=""><img style="width: 100%;"  src="https://img3.aksam.com.tr/resize/320x320/imgsdisk/2026/04/07/irandan-abd-ussune-saldir-785_7.jpg" alt="İran'dan ABD üssüne saldırı! 15 Amerikan askeri yaralandı" alt="İran'dan ABD üssüne saldırı! 15 Amerikan askeri yaralandı"></div>
                  </div>
                 
                  <div class="swiper-slide"> 
								<a title="Başkan Erdoğan: Gündemimizde erken seçim yok, millete hizmet var" href="https://www.aksam.com.tr/guncel/baskan-erdogan-gundemimizde-erken-secim-yok-millete-hizmet-var/haber-1656536" class="full-link">
							</a>
                    <div class=""><img style="width: 100%;" loading="lazy" src="https://img3.aksam.com.tr/resize/320x320/imgsdisk/2026/04/06/baskan-erdogan-gundemimiz-663_7.jpg" alt="Başkan Erdoğan: Gündemimizde erken seçim yok, millete hizmet var" alt="Başkan Erdoğan: Gündemimizde erken seçim yok, millete hizmet var"></div>
                  </div>
                 
                  <div class="swiper-slide"> 
								<a title="AK Parti Sözcüsü Çelik'ten ateşkes açıklaması: İsrail'in başını çektiği savaş lobisi engel oluyor" href="https://www.aksam.com.tr/guncel/ak-parti-sozcusu-celikten-ateskes-aciklamasi-israilin-basini-cektigi-savas-lobisi-engel-oluyor/haber-1656580" class="full-link">
							</a>
                    <div class=""><img style="width: 100%;" loading="lazy" src="https://img3.aksam.com.tr/resize/320x320/imgsdisk/2026/04/07/ak-parti-sozcusu-celikten-821_7.jpg" alt="AK Parti Sözcüsü Çelik'ten ateşkes açıklaması: İsrail'in başını çektiği savaş lobisi engel oluyor" alt="AK Parti Sözcüsü Çelik'ten ateşkes açıklaması: İsrail'in başını çektiği savaş lobisi engel oluyor"></div>
                  </div>
                 
                  <div class="swiper-slide"> 
								<a title="Trump, İran'a süre verdi! ‘Anlaşma olmazsa altyapıları çökecek‘" href="https://www.aksam.com.tr/guncel/trump-irana-sure-verdi-anlasma-olmazsa-altyapilari-cokecek/haber-1656548" class="full-link">
							</a>
                    <div class=""><img style="width: 100%;" loading="lazy" src="https://img3.aksam.com.tr/resize/320x320/imgsdisk/2026/04/06/trump-irana-sure-verdi-an-801_7.jpg" alt="Trump, İran'a süre verdi! ‘Anlaşma olmazsa altyapıları çökecek‘" alt="Trump, İran'a süre verdi! ‘Anlaşma olmazsa altyapıları çökecek‘"></div>
                  </div>
                 
                  <div class="swiper-slide"> 
								<a title="CHP'li Erdoğdu'nun mağduriyet oyunu ifşa oldu!  Cezaevinde işkence var  yalanı" href="https://www.aksam.com.tr/guncel/chpli-erdogdunun-magduriyet-oyunu-ifsa-oldu-cezaevinde-iskence-var-yalani/haber-1656551" class="full-link">
							</a>
                    <div class=""><img style="width: 100%;" loading="lazy" src="https://img3.aksam.com.tr/resize/320x320/imgsdisk/2026/04/06/chpli-erdogdunun-magduriy-412_7.jpg" alt="CHP'li Erdoğdu'nun mağduriyet oyunu ifşa oldu!  Cezaevinde işkence var  yalanı" alt="CHP'li Erdoğdu'nun mağduriyet oyunu ifşa oldu!  Cezaevinde işkence var  yalanı"></div>
                  </div>
                    
                </div>
              </div>
              <ul class="s-pagination flex center background-black color-white font-weight-7">
              
                                <li class="text-center radius-circle active margin-left-sm margin-rigt-sm active">
										
										<a data-slide-index="0" class="block" href="https://www.aksam.com.tr/dunya/irandan-abd-ussune-saldiri-15-amerikan-askeri-yaralandi/haber-1656589">
									1</a></li>
                                
                                <li class="text-center radius-circle margin-left-sm margin-rigt-sm">
										
										<a data-slide-index="1" class="block" href="https://www.aksam.com.tr/guncel/baskan-erdogan-gundemimizde-erken-secim-yok-millete-hizmet-var/haber-1656536">
									2</a></li>
                                
                                <li class="text-center radius-circle margin-left-sm margin-rigt-sm">
										
										<a data-slide-index="2" class="block" href="https://www.aksam.com.tr/guncel/ak-parti-sozcusu-celikten-ateskes-aciklamasi-israilin-basini-cektigi-savas-lobisi-engel-oluyor/haber-1656580">
									3</a></li>
                                
                                <li class="text-center radius-circle margin-left-sm margin-rigt-sm">
										
										<a data-slide-index="3" class="block" href="https://www.aksam.com.tr/guncel/trump-irana-sure-verdi-anlasma-olmazsa-altyapilari-cokecek/haber-1656548">
									4</a></li>
                                
                                <li class="text-center radius-circle margin-left-sm margin-rigt-sm">
										
										<a data-slide-index="4" class="block" href="https://www.aksam.com.tr/guncel/chpli-erdogdunun-magduriyet-oyunu-ifsa-oldu-cezaevinde-iskence-var-yalani/haber-1656551">
									5</a></li>
                                
              </ul>
</div>

			 <div class="stkyad" align="center" style="position: sticky;top: 15px;position: sticky;" id='div-gpt-ad-1568709228854-0'>
			  <div class="js-gpt-ad"
        data-adunit="/176558932/aksam_web_k.sanat/sag_300x600"
        data-sizes='[[300, 250], [300, 600]]'
        data-lazy="true"
        data-threshold="500"
        data-mobile-adunit=""
        data-mobile-sizes=''>
</div>
			 </div>
          </div>
		
        </div>
      </div>
	  </div>
	  </div>
	  <script>
function resizeIframe(obj) {
var ifhg = obj.contentWindow.document.body.scrollHeight;
obj.style.height = ifhg+50+ 'px';
}
</script>
<script> 
	function setCookie(e, t, n) {
    var i = new Date();
    i.setTime(i.getTime() + 60 * n * 60 * 1e3);
    i = "expires=" + i.toGMTString();
    document.cookie = e + "=" + t + ";" + i + ";path=/";
}
function getCookie(e) {
    for (var t = e + "=", n = decodeURIComponent(document.cookie).split(";"), i = 0; i < n.length; i++) {
        for (var r = n[i]; " " == r.charAt(0); ) r = r.substring(1);
        if (0 == r.indexOf(t)) return r.substring(t.length, r.length);
    }
    return "";
}
var ajaxUrl, type, category, preload, count, nextPostUrl, totalPage, scrollPosition, windowHeight, infiniteMainHeight, offsetTop, infiniteOffset, visible, id, fetchProgress, analytics, offsetFind, fetchData, item, preloadId;
!(function (e, t) {
    "use strict";
    "object" == typeof module && "object" == typeof module.exports
        ? (module.exports = e.document
              ? t(e, !0)
              : function (e) {
                    if (!e.document) throw new Error("jQuery requires a window with a document");
                    return t(e);
                })
        : t(e);
})("undefined" != typeof window ? window : this, function (C, e) {
    "use strict";
    function v(e) {
        return null != e && e === e.window;
    }
    var t = [],
        n = Object.getPrototypeOf,
        s = t.slice,
        m = t.flat
            ? function (e) {
                  return t.flat.call(e);
              }
            : function (e) {
                  return t.concat.apply([], e);
              },
        l = t.push,
        r = t.indexOf,
        i = {},
        a = i.toString,
        g = i.hasOwnProperty,
        o = g.toString,
        d = o.call(Object),
        y = {},
        x = function (e) {
            return "function" == typeof e && "number" != typeof e.nodeType;
        },
        S = C.document,
        u = { type: !0, src: !0, nonce: !0, noModule: !0 };
    function w(e, t, n) {
        var i,
            r,
            a = (n = n || S).createElement("script");
        if (((a.text = e), t)) for (i in u) (r = t[i] || (t.getAttribute && t.getAttribute(i))) && a.setAttribute(i, r);
        n.head.appendChild(a).parentNode.removeChild(a);
    }
    function h(e) {
        return null == e ? e + "" : "object" == typeof e || "function" == typeof e ? i[a.call(e)] || "object" : typeof e;
    }
    var c = "3.5.1",
        E = function (e, t) {
            return new E.fn.init(e, t);
        };
    function p(e) {
        var t = !!e && "length" in e && e.length,
            n = h(e);
        return !x(e) && !v(e) && ("array" === n || 0 === t || ("number" == typeof t && 0 < t && t - 1 in e));
    }
    (E.fn = E.prototype = {
        jquery: c,
        constructor: E,
        length: 0,
        toArray: function () {
            return s.call(this);
        },
        get: function (e) {
            return null == e ? s.call(this) : e < 0 ? this[e + this.length] : this[e];
        },
        pushStack: function (e) {
            e = E.merge(this.constructor(), e);
            return (e.prevObject = this), e;
        },
        each: function (e) {
            return E.each(this, e);
        },
        map: function (n) {
            return this.pushStack(
                E.map(this, function (e, t) {
                    return n.call(e, t, e);
                })
            );
        },
        slice: function () {
            return this.pushStack(s.apply(this, arguments));
        },
        first: function () {
            return this.eq(0);
        },
        last: function () {
            return this.eq(-1);
        },
        even: function () {
            return this.pushStack(
                E.grep(this, function (e, t) {
                    return (t + 1) % 2;
                })
            );
        },
        odd: function () {
            return this.pushStack(
                E.grep(this, function (e, t) {
                    return t % 2;
                })
            );
        },
        eq: function (e) {
            var t = this.length,
                e = +e + (e < 0 ? t : 0);
            return this.pushStack(0 <= e && e < t ? [this[e]] : []);
        },
        end: function () {
            return this.prevObject || this.constructor();
        },
        push: l,
        sort: t.sort,
        splice: t.splice,
    }),
        (E.extend = E.fn.extend = function () {
            var e,
                t,
                n,
                i,
                r,
                a = arguments[0] || {},
                o = 1,
                s = arguments.length,
                l = !1;
            for ("boolean" == typeof a && ((l = a), (a = arguments[o] || {}), o++), "object" == typeof a || x(a) || (a = {}), o === s && ((a = this), o--); o < s; o++)
                if (null != (e = arguments[o]))
                    for (t in e)
                        (n = e[t]),
                            "__proto__" !== t &&
                                a !== n &&
                                (l && n && (E.isPlainObject(n) || (i = Array.isArray(n)))
                                    ? ((r = a[t]), (r = i && !Array.isArray(r) ? [] : i || E.isPlainObject(r) ? r : {}), (i = !1), (a[t] = E.extend(l, r, n)))
                                    : void 0 !== n && (a[t] = n));
            return a;
        }),
        E.extend({
            expando: "jQuery" + (c + Math.random()).replace(/\D/g, ""),
            isReady: !0,
            error: function (e) {
                throw new Error(e);
            },
            noop: function () {},
            isPlainObject: function (e) {
                return !(!e || "[object Object]" !== a.call(e) || ((e = n(e)) && ("function" != typeof (e = g.call(e, "constructor") && e.constructor) || o.call(e) !== d)));
            },
            isEmptyObject: function (e) {
                for (var t in e) return !1;
                return !0;
            },
            globalEval: function (e, t, n) {
                w(e, { nonce: t && t.nonce }, n);
            },
            each: function (e, t) {
                var n,
                    i = 0;
                if (p(e)) for (n = e.length; i < n && !1 !== t.call(e[i], i, e[i]); i++);
                else for (i in e) if (!1 === t.call(e[i], i, e[i])) break;
                return e;
            },
            makeArray: function (e, t) {
                t = t || [];
                return null != e && (p(Object(e)) ? E.merge(t, "string" == typeof e ? [e] : e) : l.call(t, e)), t;
            },
            inArray: function (e, t, n) {
                return null == t ? -1 : r.call(t, e, n);
            },
            merge: function (e, t) {
                for (var n = +t.length, i = 0, r = e.length; i < n; i++) e[r++] = t[i];
                return (e.length = r), e;
            },
            grep: function (e, t, n) {
                for (var i = [], r = 0, a = e.length, o = !n; r < a; r++) !t(e[r], r) != o && i.push(e[r]);
                return i;
            },
            map: function (e, t, n) {
                var i,
                    r,
                    a = 0,
                    o = [];
                if (p(e)) for (i = e.length; a < i; a++) null != (r = t(e[a], a, n)) && o.push(r);
                else for (a in e) null != (r = t(e[a], a, n)) && o.push(r);
                return m(o);
            },
            guid: 1,
            support: y,
        }),
        "function" == typeof Symbol && (E.fn[Symbol.iterator] = t[Symbol.iterator]),
        E.each("Boolean Number String Function Array Date RegExp Object Error Symbol".split(" "), function (e, t) {
            i["[object " + t + "]"] = t.toLowerCase();
        });
    var f = (function (n) {
        function c(e, t) {
            return (e = "0x" + e.slice(1) - 65536), t || (e < 0 ? String.fromCharCode(65536 + e) : String.fromCharCode((e >> 10) | 55296, (1023 & e) | 56320));
        }
        function i() {
            T();
        }
        var e,
            f,
            w,
            a,
            r,
            h,
            p,
            v,
            b,
            l,
            d,
            T,
            C,
            o,
            S,
            m,
            s,
            u,
            g,
            E = "sizzle" + +new Date(),
            y = n.document,
            k = 0,
            x = 0,
            A = le(),
            P = le(),
            L = le(),
            M = le(),
            D = function (e, t) {
                return e === t && (d = !0), 0;
            },
            $ = {}.hasOwnProperty,
            t = [],
            I = t.pop,
            N = t.push,
            z = t.push,
            O = t.slice,
            j = function (e, t) {
                for (var n = 0, i = e.length; n < i; n++) if (e[n] === t) return n;
                return -1;
            },
            q = "checked|selected|async|autofocus|autoplay|controls|defer|disabled|hidden|ismap|loop|multiple|open|readonly|required|scoped",
            H = "[\\x20\\t\\r\\n\\f]",
            B = "(?:\\\\[\\da-fA-F]{1,6}" + H + "?|\\\\[^\\r\\n\\f]|[\\w-]|[^\0-\\x7f])+",
            F = "\\[" + H + "*(" + B + ")(?:" + H + "*([*^$|!~]?=)" + H + "*(?:'((?:\\\\.|[^\\\\'])*)'|\"((?:\\\\.|[^\\\\\"])*)\"|(" + B + "))|)" + H + "*\\]",
            R = ":(" + B + ")(?:\\((('((?:\\\\.|[^\\\\'])*)'|\"((?:\\\\.|[^\\\\\"])*)\")|((?:\\\\.|[^\\\\()[\\]]|" + F + ")*)|.*)\\)|)",
            V = new RegExp(H + "+", "g"),
            W = new RegExp("^" + H + "+|((?:^|[^\\\\])(?:\\\\.)*)" + H + "+$", "g"),
            G = new RegExp("^" + H + "*," + H + "*"),
            _ = new RegExp("^" + H + "*([>+~]|" + H + ")" + H + "*"),
            X = new RegExp(H + "|>"),
            U = new RegExp(R),
            Y = new RegExp("^" + B + "$"),
            Q = {
                ID: new RegExp("^#(" + B + ")"),
                CLASS: new RegExp("^\\.(" + B + ")"),
                TAG: new RegExp("^(" + B + "|[*])"),
                ATTR: new RegExp("^" + F),
                PSEUDO: new RegExp("^" + R),
                CHILD: new RegExp("^:(only|first|last|nth|nth-last)-(child|of-type)(?:\\(" + H + "*(even|odd|(([+-]|)(\\d*)n|)" + H + "*(?:([+-]|)" + H + "*(\\d+)|))" + H + "*\\)|)", "i"),
                bool: new RegExp("^(?:" + q + ")$", "i"),
                needsContext: new RegExp("^" + H + "*[>+~]|:(even|odd|eq|gt|lt|nth|first|last)(?:\\(" + H + "*((?:-\\d)?\\d*)" + H + "*\\)|)(?=[^-]|$)", "i"),
            },
            K = /HTML$/i,
            J = /^(?:input|select|textarea|button)$/i,
            Z = /^h\d$/i,
            ee = /^[^{]+\{\s*\[native \w/,
            te = /^(?:#([\w-]+)|(\w+)|\.([\w-]+))$/,
            ne = /[+~]/,
            ie = new RegExp("\\\\[\\da-fA-F]{1,6}" + H + "?|\\\\([^\\r\\n\\f])", "g"),
            re = /([\0-\x1f\x7f]|^-?\d)|^-$|[^\0-\x1f\x7f-\uFFFF\w-]/g,
            ae = function (e, t) {
                return t ? ("\0" === e ? "Ã¯Â¿Â½" : e.slice(0, -1) + "\\" + e.charCodeAt(e.length - 1).toString(16) + " ") : "\\" + e;
            },
            oe = ye(
                function (e) {
                    return !0 === e.disabled && "fieldset" === e.nodeName.toLowerCase();
                },
                { dir: "parentNode", next: "legend" }
            );
        try {
            z.apply((t = O.call(y.childNodes)), y.childNodes), t[y.childNodes.length].nodeType;
        } catch (e) {
            z = {
                apply: t.length
                    ? function (e, t) {
                          N.apply(e, O.call(t));
                      }
                    : function (e, t) {
                          for (var n = e.length, i = 0; (e[n++] = t[i++]); );
                          e.length = n - 1;
                      },
            };
        }
        function se(e, t, n, i) {
            var r,
                a,
                o,
                s,
                l,
                d,
                u,
                c = t && t.ownerDocument,
                p = t ? t.nodeType : 9;
            if (((n = n || []), "string" != typeof e || !e || (1 !== p && 9 !== p && 11 !== p))) return n;
            if (!i && (T(t), (t = t || C), S)) {
                if (11 !== p && (l = te.exec(e)))
                    if ((r = l[1])) {
                        if (9 === p) {
                            if (!(o = t.getElementById(r))) return n;
                            if (o.id === r) return n.push(o), n;
                        } else if (c && (o = c.getElementById(r)) && g(t, o) && o.id === r) return n.push(o), n;
                    } else {
                        if (l[2]) return z.apply(n, t.getElementsByTagName(e)), n;
                        if ((r = l[3]) && f.getElementsByClassName && t.getElementsByClassName) return z.apply(n, t.getElementsByClassName(r)), n;
                    }
                if (f.qsa && !M[e + " "] && (!m || !m.test(e)) && (1 !== p || "object" !== t.nodeName.toLowerCase())) {
                    if (((u = e), (c = t), 1 === p && (X.test(e) || _.test(e)))) {
                        for (((c = (ne.test(e) && ve(t.parentNode)) || t) === t && f.scope) || ((s = t.getAttribute("id")) ? (s = s.replace(re, ae)) : t.setAttribute("id", (s = E))), a = (d = h(e)).length; a--; )
                            d[a] = (s ? "#" + s : ":scope") + " " + ge(d[a]);
                        u = d.join(",");
                    }
                    try {
                        return z.apply(n, c.querySelectorAll(u)), n;
                    } catch (t) {
                        M(e, !0);
                    } finally {
                        s === E && t.removeAttribute("id");
                    }
                }
            }
            return v(e.replace(W, "$1"), t, n, i);
        }
        function le() {
            var i = [];
            return function e(t, n) {
                return i.push(t + " ") > w.cacheLength && delete e[i.shift()], (e[t + " "] = n);
            };
        }
        function de(e) {
            return (e[E] = !0), e;
        }
        function ue(e) {
            var t = C.createElement("fieldset");
            try {
                return !!e(t);
            } catch (e) {
                return !1;
            } finally {
                t.parentNode && t.parentNode.removeChild(t), (t = null);
            }
        }
        function ce(e, t) {
            for (var n = e.split("|"), i = n.length; i--; ) w.attrHandle[n[i]] = t;
        }
        function pe(e, t) {
            var n = t && e,
                i = n && 1 === e.nodeType && 1 === t.nodeType && e.sourceIndex - t.sourceIndex;
            if (i) return i;
            if (n) for (; (n = n.nextSibling); ) if (n === t) return -1;
            return e ? 1 : -1;
        }
        function fe(t) {
            return function (e) {
                return "form" in e
                    ? e.parentNode && !1 === e.disabled
                        ? "label" in e
                            ? "label" in e.parentNode
                                ? e.parentNode.disabled === t
                                : e.disabled === t
                            : e.isDisabled === t || (e.isDisabled !== !t && oe(e) === t)
                        : e.disabled === t
                    : "label" in e && e.disabled === t;
            };
        }
        function he(o) {
            return de(function (a) {
                return (
                    (a = +a),
                    de(function (e, t) {
                        for (var n, i = o([], e.length, a), r = i.length; r--; ) e[(n = i[r])] && (e[n] = !(t[n] = e[n]));
                    })
                );
            });
        }
        function ve(e) {
            return e && void 0 !== e.getElementsByTagName && e;
        }
        for (e in ((f = se.support = {}),
        (r = se.isXML = function (e) {
            var t = e.namespaceURI,
                e = (e.ownerDocument || e).documentElement;
            return !K.test(t || (e && e.nodeName) || "HTML");
        }),
        (T = se.setDocument = function (e) {
            var t,
                e = e ? e.ownerDocument || e : y;
            return (
                e != C &&
                    9 === e.nodeType &&
                    e.documentElement &&
                    ((o = (C = e).documentElement),
                    (S = !r(C)),
                    y != C && (t = C.defaultView) && t.top !== t && (t.addEventListener ? t.addEventListener("unload", i, !1) : t.attachEvent && t.attachEvent("onunload", i)),
                    (f.scope = ue(function (e) {
                        return o.appendChild(e).appendChild(C.createElement("div")), void 0 !== e.querySelectorAll && !e.querySelectorAll(":scope fieldset div").length;
                    })),
                    (f.attributes = ue(function (e) {
                        return (e.className = "i"), !e.getAttribute("className");
                    })),
                    (f.getElementsByTagName = ue(function (e) {
                        return e.appendChild(C.createComment("")), !e.getElementsByTagName("*").length;
                    })),
                    (f.getElementsByClassName = ee.test(C.getElementsByClassName)),
                    (f.getById = ue(function (e) {
                        return (o.appendChild(e).id = E), !C.getElementsByName || !C.getElementsByName(E).length;
                    })),
                    f.getById
                        ? ((w.filter.ID = function (e) {
                              var t = e.replace(ie, c);
                              return function (e) {
                                  return e.getAttribute("id") === t;
                              };
                          }),
                          (w.find.ID = function (e, t) {
                              if (void 0 !== t.getElementById && S) {
                                  e = t.getElementById(e);
                                  return e ? [e] : [];
                              }
                          }))
                        : ((w.filter.ID = function (e) {
                              var t = e.replace(ie, c);
                              return function (e) {
                                  e = void 0 !== e.getAttributeNode && e.getAttributeNode("id");
                                  return e && e.value === t;
                              };
                          }),
                          (w.find.ID = function (e, t) {
                              if (void 0 !== t.getElementById && S) {
                                  var n,
                                      i,
                                      r,
                                      a = t.getElementById(e);
                                  if (a) {
                                      if ((n = a.getAttributeNode("id")) && n.value === e) return [a];
                                      for (r = t.getElementsByName(e), i = 0; (a = r[i++]); ) if ((n = a.getAttributeNode("id")) && n.value === e) return [a];
                                  }
                                  return [];
                              }
                          })),
                    (w.find.TAG = f.getElementsByTagName
                        ? function (e, t) {
                              return void 0 !== t.getElementsByTagName ? t.getElementsByTagName(e) : f.qsa ? t.querySelectorAll(e) : void 0;
                          }
                        : function (e, t) {
                              var n,
                                  i = [],
                                  r = 0,
                                  a = t.getElementsByTagName(e);
                              if ("*" !== e) return a;
                              for (; (n = a[r++]); ) 1 === n.nodeType && i.push(n);
                              return i;
                          }),
                    (w.find.CLASS =
                        f.getElementsByClassName &&
                        function (e, t) {
                            if (void 0 !== t.getElementsByClassName && S) return t.getElementsByClassName(e);
                        }),
                    (s = []),
                    (m = []),
                    (f.qsa = ee.test(C.querySelectorAll)) &&
                        (ue(function (e) {
                            var t;
                            (o.appendChild(e).innerHTML = "<a id='" + E + "'></a><select id='" + E + "-\r\\' msallowcapture=''><option selected=''></option></select>"),
                                e.querySelectorAll("[msallowcapture^='']").length && m.push("[*^$]=" + H + "*(?:''|\"\")"),
                                e.querySelectorAll("[selected]").length || m.push("\\[" + H + "*(?:value|" + q + ")"),
                                e.querySelectorAll("[id~=" + E + "-]").length || m.push("~="),
                                (t = C.createElement("input")).setAttribute("name", ""),
                                e.appendChild(t),
                                e.querySelectorAll("[name='']").length || m.push("\\[" + H + "*name" + H + "*=" + H + "*(?:''|\"\")"),
                                e.querySelectorAll(":checked").length || m.push(":checked"),
                                e.querySelectorAll("a#" + E + "+*").length || m.push(".#.+[+~]"),
                                e.querySelectorAll("\\\f"),
                                m.push("[\\r\\n\\f]");
                        }),
                        ue(function (e) {
                            e.innerHTML = "<a href='' disabled='disabled'></a><select disabled='disabled'><option/></select>";
                            var t = C.createElement("input");
                            t.setAttribute("type", "hidden"),
                                e.appendChild(t).setAttribute("name", "D"),
                                e.querySelectorAll("[name=d]").length && m.push("name" + H + "*[*^$|!~]?="),
                                2 !== e.querySelectorAll(":enabled").length && m.push(":enabled", ":disabled"),
                                (o.appendChild(e).disabled = !0),
                                2 !== e.querySelectorAll(":disabled").length && m.push(":enabled", ":disabled"),
                                e.querySelectorAll("*,:x"),
                                m.push(",.*:");
                        })),
                    (f.matchesSelector = ee.test((u = o.matches || o.webkitMatchesSelector || o.mozMatchesSelector || o.oMatchesSelector || o.msMatchesSelector))) &&
                        ue(function (e) {
                            (f.disconnectedMatch = u.call(e, "*")), u.call(e, "[s!='']:x"), s.push("!=", R);
                        }),
                    (m = m.length && new RegExp(m.join("|"))),
                    (s = s.length && new RegExp(s.join("|"))),
                    (t = ee.test(o.compareDocumentPosition)),
                    (g =
                        t || ee.test(o.contains)
                            ? function (e, t) {
                                  var n = 9 === e.nodeType ? e.documentElement : e,
                                      t = t && t.parentNode;
                                  return e === t || !(!t || 1 !== t.nodeType || !(n.contains ? n.contains(t) : e.compareDocumentPosition && 16 & e.compareDocumentPosition(t)));
                              }
                            : function (e, t) {
                                  if (t) for (; (t = t.parentNode); ) if (t === e) return !0;
                                  return !1;
                              }),
                    (D = t
                        ? function (e, t) {
                              if (e === t) return (d = !0), 0;
                              var n = !e.compareDocumentPosition - !t.compareDocumentPosition;
                              return (
                                  n ||
                                  (1 & (n = (e.ownerDocument || e) == (t.ownerDocument || t) ? e.compareDocumentPosition(t) : 1) || (!f.sortDetached && t.compareDocumentPosition(e) === n)
                                      ? e == C || (e.ownerDocument == y && g(y, e))
                                          ? -1
                                          : t == C || (t.ownerDocument == y && g(y, t))
                                          ? 1
                                          : l
                                          ? j(l, e) - j(l, t)
                                          : 0
                                      : 4 & n
                                      ? -1
                                      : 1)
                              );
                          }
                        : function (e, t) {
                              if (e === t) return (d = !0), 0;
                              var n,
                                  i = 0,
                                  r = e.parentNode,
                                  a = t.parentNode,
                                  o = [e],
                                  s = [t];
                              if (!r || !a) return e == C ? -1 : t == C ? 1 : r ? -1 : a ? 1 : l ? j(l, e) - j(l, t) : 0;
                              if (r === a) return pe(e, t);
                              for (n = e; (n = n.parentNode); ) o.unshift(n);
                              for (n = t; (n = n.parentNode); ) s.unshift(n);
                              for (; o[i] === s[i]; ) i++;
                              return i ? pe(o[i], s[i]) : o[i] == y ? -1 : s[i] == y ? 1 : 0;
                          })),
                C
            );
        }),
        (se.matches = function (e, t) {
            return se(e, null, null, t);
        }),
        (se.matchesSelector = function (e, t) {
            if ((T(e), f.matchesSelector && S && !M[t + " "] && (!s || !s.test(t)) && (!m || !m.test(t))))
                try {
                    var n = u.call(e, t);
                    if (n || f.disconnectedMatch || (e.document && 11 !== e.document.nodeType)) return n;
                } catch (e) {
                    M(t, !0);
                }
            return 0 < se(t, C, null, [e]).length;
        }),
        (se.contains = function (e, t) {
            return (e.ownerDocument || e) != C && T(e), g(e, t);
        }),
        (se.attr = function (e, t) {
            (e.ownerDocument || e) != C && T(e);
            var n = w.attrHandle[t.toLowerCase()],
                n = n && $.call(w.attrHandle, t.toLowerCase()) ? n(e, t, !S) : void 0;
            return void 0 !== n ? n : f.attributes || !S ? e.getAttribute(t) : (n = e.getAttributeNode(t)) && n.specified ? n.value : null;
        }),
        (se.escape = function (e) {
            return (e + "").replace(re, ae);
        }),
        (se.error = function (e) {
            throw new Error("Syntax error, unrecognized expression: " + e);
        }),
        (se.uniqueSort = function (e) {
            var t,
                n = [],
                i = 0,
                r = 0;
            if (((d = !f.detectDuplicates), (l = !f.sortStable && e.slice(0)), e.sort(D), d)) {
                for (; (t = e[r++]); ) t === e[r] && (i = n.push(r));
                for (; i--; ) e.splice(n[i], 1);
            }
            return (l = null), e;
        }),
        (a = se.getText = function (e) {
            var t,
                n = "",
                i = 0,
                r = e.nodeType;
            if (r) {
                if (1 === r || 9 === r || 11 === r) {
                    if ("string" == typeof e.textContent) return e.textContent;
                    for (e = e.firstChild; e; e = e.nextSibling) n += a(e);
                } else if (3 === r || 4 === r) return e.nodeValue;
            } else for (; (t = e[i++]); ) n += a(t);
            return n;
        }),
        ((w = se.selectors = {
            cacheLength: 50,
            createPseudo: de,
            match: Q,
            attrHandle: {},
            find: {},
            relative: { ">": { dir: "parentNode", first: !0 }, " ": { dir: "parentNode" }, "+": { dir: "previousSibling", first: !0 }, "~": { dir: "previousSibling" } },
            preFilter: {
                ATTR: function (e) {
                    return (e[1] = e[1].replace(ie, c)), (e[3] = (e[3] || e[4] || e[5] || "").replace(ie, c)), "~=" === e[2] && (e[3] = " " + e[3] + " "), e.slice(0, 4);
                },
                CHILD: function (e) {
                    return (
                        (e[1] = e[1].toLowerCase()),
                        "nth" === e[1].slice(0, 3) ? (e[3] || se.error(e[0]), (e[4] = +(e[4] ? e[5] + (e[6] || 1) : 2 * ("even" === e[3] || "odd" === e[3]))), (e[5] = +(e[7] + e[8] || "odd" === e[3]))) : e[3] && se.error(e[0]),
                        e
                    );
                },
                PSEUDO: function (e) {
                    var t,
                        n = !e[6] && e[2];
                    return Q.CHILD.test(e[0])
                        ? null
                        : (e[3] ? (e[2] = e[4] || e[5] || "") : n && U.test(n) && (t = h(n, !0)) && (t = n.indexOf(")", n.length - t) - n.length) && ((e[0] = e[0].slice(0, t)), (e[2] = n.slice(0, t))), e.slice(0, 3));
                },
            },
            filter: {
                TAG: function (e) {
                    var t = e.replace(ie, c).toLowerCase();
                    return "*" === e
                        ? function () {
                              return !0;
                          }
                        : function (e) {
                              return e.nodeName && e.nodeName.toLowerCase() === t;
                          };
                },
                CLASS: function (e) {
                    var t = A[e + " "];
                    return (
                        t ||
                        ((t = new RegExp("(^|" + H + ")" + e + "(" + H + "|$)")) &&
                            A(e, function (e) {
                                return t.test(("string" == typeof e.className && e.className) || (void 0 !== e.getAttribute && e.getAttribute("class")) || "");
                            }))
                    );
                },
                ATTR: function (t, n, i) {
                    return function (e) {
                        e = se.attr(e, t);
                        return null == e
                            ? "!=" === n
                            : !n ||
                                  ((e += ""),
                                  "=" === n
                                      ? e === i
                                      : "!=" === n
                                      ? e !== i
                                      : "^=" === n
                                      ? i && 0 === e.indexOf(i)
                                      : "*=" === n
                                      ? i && -1 < e.indexOf(i)
                                      : "$=" === n
                                      ? i && e.slice(-i.length) === i
                                      : "~=" === n
                                      ? -1 < (" " + e.replace(V, " ") + " ").indexOf(i)
                                      : "|=" === n && (e === i || e.slice(0, i.length + 1) === i + "-"));
                    };
                },
                CHILD: function (h, e, t, v, m) {
                    var g = "nth" !== h.slice(0, 3),
                        y = "last" !== h.slice(-4),
                        x = "of-type" === e;
                    return 1 === v && 0 === m
                        ? function (e) {
                              return !!e.parentNode;
                          }
                        : function (e, t, n) {
                              var i,
                                  r,
                                  a,
                                  o,
                                  s,
                                  l,
                                  d = g != y ? "nextSibling" : "previousSibling",
                                  u = e.parentNode,
                                  c = x && e.nodeName.toLowerCase(),
                                  p = !n && !x,
                                  f = !1;
                              if (u) {
                                  if (g) {
                                      for (; d; ) {
                                          for (o = e; (o = o[d]); ) if (x ? o.nodeName.toLowerCase() === c : 1 === o.nodeType) return !1;
                                          l = d = "only" === h && !l && "nextSibling";
                                      }
                                      return !0;
                                  }
                                  if (((l = [y ? u.firstChild : u.lastChild]), y && p)) {
                                      for (
                                          f = (s = (i = (r = (a = (o = u)[E] || (o[E] = {}))[o.uniqueID] || (a[o.uniqueID] = {}))[h] || [])[0] === k && i[1]) && i[2], o = s && u.childNodes[s];
                                          (o = (++s && o && o[d]) || (f = s = 0) || l.pop());

                                      )
                                          if (1 === o.nodeType && ++f && o === e) {
                                              r[h] = [k, s, f];
                                              break;
                                          }
                                  } else if (!1 === (f = p ? (s = (i = (r = (a = (o = e)[E] || (o[E] = {}))[o.uniqueID] || (a[o.uniqueID] = {}))[h] || [])[0] === k && i[1]) : f))
                                      for (
                                          ;
                                          (o = (++s && o && o[d]) || (f = s = 0) || l.pop()) &&
                                          ((x ? o.nodeName.toLowerCase() !== c : 1 !== o.nodeType) || !++f || (p && ((r = (a = o[E] || (o[E] = {}))[o.uniqueID] || (a[o.uniqueID] = {}))[h] = [k, f]), o !== e));

                                      );
                                  return (f -= m) === v || (f % v == 0 && 0 <= f / v);
                              }
                          };
                },
                PSEUDO: function (e, a) {
                    var t,
                        o = w.pseudos[e] || w.setFilters[e.toLowerCase()] || se.error("unsupported pseudo: " + e);
                    return o[E]
                        ? o(a)
                        : 1 < o.length
                        ? ((t = [e, e, "", a]),
                          w.setFilters.hasOwnProperty(e.toLowerCase())
                              ? de(function (e, t) {
                                    for (var n, i = o(e, a), r = i.length; r--; ) e[(n = j(e, i[r]))] = !(t[n] = i[r]);
                                })
                              : function (e) {
                                    return o(e, 0, t);
                                })
                        : o;
                },
            },
            pseudos: {
                not: de(function (e) {
                    var i = [],
                        r = [],
                        s = p(e.replace(W, "$1"));
                    return s[E]
                        ? de(function (e, t, n, i) {
                              for (var r, a = s(e, null, i, []), o = e.length; o--; ) (r = a[o]) && (e[o] = !(t[o] = r));
                          })
                        : function (e, t, n) {
                              return (i[0] = e), s(i, null, n, r), (i[0] = null), !r.pop();
                          };
                }),
                has: de(function (t) {
                    return function (e) {
                        return 0 < se(t, e).length;
                    };
                }),
                contains: de(function (t) {
                    return (
                        (t = t.replace(ie, c)),
                        function (e) {
                            return -1 < (e.textContent || a(e)).indexOf(t);
                        }
                    );
                }),
                lang: de(function (n) {
                    return (
                        Y.test(n || "") || se.error("unsupported lang: " + n),
                        (n = n.replace(ie, c).toLowerCase()),
                        function (e) {
                            var t;
                            do {
                                if ((t = S ? e.lang : e.getAttribute("xml:lang") || e.getAttribute("lang"))) return (t = t.toLowerCase()) === n || 0 === t.indexOf(n + "-");
                            } while ((e = e.parentNode) && 1 === e.nodeType);
                            return !1;
                        }
                    );
                }),
                target: function (e) {
                    var t = n.location && n.location.hash;
                    return t && t.slice(1) === e.id;
                },
                root: function (e) {
                    return e === o;
                },
                focus: function (e) {
                    return e === C.activeElement && (!C.hasFocus || C.hasFocus()) && !!(e.type || e.href || ~e.tabIndex);
                },
                enabled: fe(!1),
                disabled: fe(!0),
                checked: function (e) {
                    var t = e.nodeName.toLowerCase();
                    return ("input" === t && !!e.checked) || ("option" === t && !!e.selected);
                },
                selected: function (e) {
                    return e.parentNode && e.parentNode.selectedIndex, !0 === e.selected;
                },
                empty: function (e) {
                    for (e = e.firstChild; e; e = e.nextSibling) if (e.nodeType < 6) return !1;
                    return !0;
                },
                parent: function (e) {
                    return !w.pseudos.empty(e);
                },
                header: function (e) {
                    return Z.test(e.nodeName);
                },
                input: function (e) {
                    return J.test(e.nodeName);
                },
                button: function (e) {
                    var t = e.nodeName.toLowerCase();
                    return ("input" === t && "button" === e.type) || "button" === t;
                },
                text: function (e) {
                    return "input" === e.nodeName.toLowerCase() && "text" === e.type && (null == (e = e.getAttribute("type")) || "text" === e.toLowerCase());
                },
                first: he(function () {
                    return [0];
                }),
                last: he(function (e, t) {
                    return [t - 1];
                }),
                eq: he(function (e, t, n) {
                    return [n < 0 ? n + t : n];
                }),
                even: he(function (e, t) {
                    for (var n = 0; n < t; n += 2) e.push(n);
                    return e;
                }),
                odd: he(function (e, t) {
                    for (var n = 1; n < t; n += 2) e.push(n);
                    return e;
                }),
                lt: he(function (e, t, n) {
                    for (var i = n < 0 ? n + t : t < n ? t : n; 0 <= --i; ) e.push(i);
                    return e;
                }),
                gt: he(function (e, t, n) {
                    for (var i = n < 0 ? n + t : n; ++i < t; ) e.push(i);
                    return e;
                }),
            },
        }).pseudos.nth = w.pseudos.eq),
        { radio: !0, checkbox: !0, file: !0, password: !0, image: !0 }))
            w.pseudos[e] = (function (t) {
                return function (e) {
                    return "input" === e.nodeName.toLowerCase() && e.type === t;
                };
            })(e);
        for (e in { submit: !0, reset: !0 })
            w.pseudos[e] = (function (n) {
                return function (e) {
                    var t = e.nodeName.toLowerCase();
                    return ("input" === t || "button" === t) && e.type === n;
                };
            })(e);
        function me() {}
        function ge(e) {
            for (var t = 0, n = e.length, i = ""; t < n; t++) i += e[t].value;
            return i;
        }
        function ye(o, e, t) {
            var s = e.dir,
                l = e.next,
                d = l || s,
                u = t && "parentNode" === d,
                c = x++;
            return e.first
                ? function (e, t, n) {
                      for (; (e = e[s]); ) if (1 === e.nodeType || u) return o(e, t, n);
                      return !1;
                  }
                : function (e, t, n) {
                      var i,
                          r,
                          a = [k, c];
                      if (n) {
                          for (; (e = e[s]); ) if ((1 === e.nodeType || u) && o(e, t, n)) return !0;
                      } else
                          for (; (e = e[s]); )
                              if (1 === e.nodeType || u)
                                  if (((i = (r = e[E] || (e[E] = {}))[e.uniqueID] || (r[e.uniqueID] = {})), l && l === e.nodeName.toLowerCase())) e = e[s] || e;
                                  else {
                                      if ((r = i[d]) && r[0] === k && r[1] === c) return (a[2] = r[2]);
                                      if (((i[d] = a)[2] = o(e, t, n))) return !0;
                                  }
                      return !1;
                  };
        }
        function xe(r) {
            return 1 < r.length
                ? function (e, t, n) {
                      for (var i = r.length; i--; ) if (!r[i](e, t, n)) return !1;
                      return !0;
                  }
                : r[0];
        }
        function we(e, t, n, i, r) {
            for (var a, o = [], s = 0, l = e.length, d = null != t; s < l; s++) (a = e[s]) && ((n && !n(a, i, r)) || (o.push(a), d && t.push(s)));
            return o;
        }
        function be(e) {
            for (
                var i,
                    t,
                    n,
                    r = e.length,
                    a = w.relative[e[0].type],
                    o = a || w.relative[" "],
                    s = a ? 1 : 0,
                    l = ye(
                        function (e) {
                            return e === i;
                        },
                        o,
                        !0
                    ),
                    d = ye(
                        function (e) {
                            return -1 < j(i, e);
                        },
                        o,
                        !0
                    ),
                    u = [
                        function (e, t, n) {
                            n = (!a && (n || t !== b)) || ((i = t).nodeType ? l : d)(e, t, n);
                            return (i = null), n;
                        },
                    ];
                s < r;
                s++
            )
                if ((t = w.relative[e[s].type])) u = [ye(xe(u), t)];
                else {
                    if ((t = w.filter[e[s].type].apply(null, e[s].matches))[E]) {
                        for (n = ++s; n < r && !w.relative[e[n].type]; n++);
                        return (function e(f, h, v, m, g, t) {
                            return (
                                m && !m[E] && (m = e(m)),
                                g && !g[E] && (g = e(g, t)),
                                de(function (e, t, n, i) {
                                    var r,
                                        a,
                                        o,
                                        s = [],
                                        l = [],
                                        d = t.length,
                                        u =
                                            e ||
                                            (function (e, t, n) {
                                                for (var i = 0, r = t.length; i < r; i++) se(e, t[i], n);
                                                return n;
                                            })(h || "*", n.nodeType ? [n] : n, []),
                                        c = !f || (!e && h) ? u : we(u, s, f, n, i),
                                        p = v ? (g || (e ? f : d || m) ? [] : t) : c;
                                    if ((v && v(c, p, n, i), m)) for (r = we(p, l), m(r, [], n, i), a = r.length; a--; ) (o = r[a]) && (p[l[a]] = !(c[l[a]] = o));
                                    if (e) {
                                        if (g || f) {
                                            if (g) {
                                                for (r = [], a = p.length; a--; ) (o = p[a]) && r.push((c[a] = o));
                                                g(null, (p = []), r, i);
                                            }
                                            for (a = p.length; a--; ) (o = p[a]) && -1 < (r = g ? j(e, o) : s[a]) && (e[r] = !(t[r] = o));
                                        }
                                    } else (p = we(p === t ? p.splice(d, p.length) : p)), g ? g(null, t, p, i) : z.apply(t, p);
                                })
                            );
                        })(1 < s && xe(u), 1 < s && ge(e.slice(0, s - 1).concat({ value: " " === e[s - 2].type ? "*" : "" })).replace(W, "$1"), t, s < n && be(e.slice(s, n)), n < r && be((e = e.slice(n))), n < r && ge(e));
                    }
                    u.push(t);
                }
            return xe(u);
        }
        return (
            (me.prototype = w.filters = w.pseudos),
            (w.setFilters = new me()),
            (h = se.tokenize = function (e, t) {
                var n,
                    i,
                    r,
                    a,
                    o,
                    s,
                    l,
                    d = P[e + " "];
                if (d) return t ? 0 : d.slice(0);
                for (o = e, s = [], l = w.preFilter; o; ) {
                    for (a in ((n && !(i = G.exec(o))) || (i && (o = o.slice(i[0].length) || o), s.push((r = []))),
                    (n = !1),
                    (i = _.exec(o)) && ((n = i.shift()), r.push({ value: n, type: i[0].replace(W, " ") }), (o = o.slice(n.length))),
                    w.filter))
                        !(i = Q[a].exec(o)) || (l[a] && !(i = l[a](i))) || ((n = i.shift()), r.push({ value: n, type: a, matches: i }), (o = o.slice(n.length)));
                    if (!n) break;
                }
                return t ? o.length : o ? se.error(e) : P(e, s).slice(0);
            }),
            (p = se.compile = function (e, t) {
                var n,
                    m,
                    g,
                    y,
                    x,
                    i,
                    r = [],
                    a = [],
                    o = L[e + " "];
                if (!o) {
                    for (n = (t = t || h(e)).length; n--; ) ((o = be(t[n]))[E] ? r : a).push(o);
                    (o = L(
                        e,
                        ((m = a),
                        (y = 0 < (g = r).length),
                        (x = 0 < m.length),
                        (i = function (e, t, n, i, r) {
                            var a,
                                o,
                                s,
                                l = 0,
                                d = "0",
                                u = e && [],
                                c = [],
                                p = b,
                                f = e || (x && w.find.TAG("*", r)),
                                h = (k += null == p ? 1 : Math.random() || 0.1),
                                v = f.length;
                            for (r && (b = t == C || t || r); d !== v && null != (a = f[d]); d++) {
                                if (x && a) {
                                    for (o = 0, t || a.ownerDocument == C || (T(a), (n = !S)); (s = m[o++]); )
                                        if (s(a, t || C, n)) {
                                            i.push(a);
                                            break;
                                        }
                                    r && (k = h);
                                }
                                y && ((a = !s && a) && l--, e && u.push(a));
                            }
                            if (((l += d), y && d !== l)) {
                                for (o = 0; (s = g[o++]); ) s(u, c, t, n);
                                if (e) {
                                    if (0 < l) for (; d--; ) u[d] || c[d] || (c[d] = I.call(i));
                                    c = we(c);
                                }
                                z.apply(i, c), r && !e && 0 < c.length && 1 < l + g.length && se.uniqueSort(i);
                            }
                            return r && ((k = h), (b = p)), u;
                        }),
                        y ? de(i) : i)
                    )).selector = e;
                }
                return o;
            }),
            (v = se.select = function (e, t, n, i) {
                var r,
                    a,
                    o,
                    s,
                    l,
                    d = "function" == typeof e && e,
                    u = !i && h((e = d.selector || e));
                if (((n = n || []), 1 === u.length)) {
                    if (2 < (a = u[0] = u[0].slice(0)).length && "ID" === (o = a[0]).type && 9 === t.nodeType && S && w.relative[a[1].type]) {
                        if (!(t = (w.find.ID(o.matches[0].replace(ie, c), t) || [])[0])) return n;
                        d && (t = t.parentNode), (e = e.slice(a.shift().value.length));
                    }
                    for (r = Q.needsContext.test(e) ? 0 : a.length; r-- && ((o = a[r]), !w.relative[(s = o.type)]); )
                        if ((l = w.find[s]) && (i = l(o.matches[0].replace(ie, c), (ne.test(a[0].type) && ve(t.parentNode)) || t))) {
                            if ((a.splice(r, 1), !(e = i.length && ge(a)))) return z.apply(n, i), n;
                            break;
                        }
                }
                return (d || p(e, u))(i, t, !S, n, !t || (ne.test(e) && ve(t.parentNode)) || t), n;
            }),
            (f.sortStable = E.split("").sort(D).join("") === E),
            (f.detectDuplicates = !!d),
            T(),
            (f.sortDetached = ue(function (e) {
                return 1 & e.compareDocumentPosition(C.createElement("fieldset"));
            })),
            ue(function (e) {
                return (e.innerHTML = "<a href='#'></a>"), "#" === e.firstChild.getAttribute("href");
            }) ||
                ce("type|href|height|width", function (e, t, n) {
                    if (!n) return e.getAttribute(t, "type" === t.toLowerCase() ? 1 : 2);
                }),
            (f.attributes &&
                ue(function (e) {
                    return (e.innerHTML = "<input/>"), e.firstChild.setAttribute("value", ""), "" === e.firstChild.getAttribute("value");
                })) ||
                ce("value", function (e, t, n) {
                    if (!n && "input" === e.nodeName.toLowerCase()) return e.defaultValue;
                }),
            ue(function (e) {
                return null == e.getAttribute("disabled");
            }) ||
                ce(q, function (e, t, n) {
                    if (!n) return !0 === e[t] ? t.toLowerCase() : (t = e.getAttributeNode(t)) && t.specified ? t.value : null;
                }),
            se
        );
    })(C);
    (E.find = f), (E.expr = f.selectors), (E.expr[":"] = E.expr.pseudos), (E.uniqueSort = E.unique = f.uniqueSort), (E.text = f.getText), (E.isXMLDoc = f.isXML), (E.contains = f.contains), (E.escapeSelector = f.escape);
    function b(e, t, n) {
        for (var i = [], r = void 0 !== n; (e = e[t]) && 9 !== e.nodeType; )
            if (1 === e.nodeType) {
                if (r && E(e).is(n)) break;
                i.push(e);
            }
        return i;
    }
    function T(e, t) {
        for (var n = []; e; e = e.nextSibling) 1 === e.nodeType && e !== t && n.push(e);
        return n;
    }
    var k = E.expr.match.needsContext;
    function A(e, t) {
        return e.nodeName && e.nodeName.toLowerCase() === t.toLowerCase();
    }
    var P = /^<([a-z][^\/\0>:\x20\t\r\n\f]*)[\x20\t\r\n\f]*\/?>(?:<\/\1>|)$/i;
    function L(e, n, i) {
        return x(n)
            ? E.grep(e, function (e, t) {
                  return !!n.call(e, t, e) !== i;
              })
            : n.nodeType
            ? E.grep(e, function (e) {
                  return (e === n) !== i;
              })
            : "string" != typeof n
            ? E.grep(e, function (e) {
                  return -1 < r.call(n, e) !== i;
              })
            : E.filter(n, e, i);
    }
    (E.filter = function (e, t, n) {
        var i = t[0];
        return (
            n && (e = ":not(" + e + ")"),
            1 === t.length && 1 === i.nodeType
                ? E.find.matchesSelector(i, e)
                    ? [i]
                    : []
                : E.find.matches(
                      e,
                      E.grep(t, function (e) {
                          return 1 === e.nodeType;
                      })
                  )
        );
    }),
        E.fn.extend({
            find: function (e) {
                var t,
                    n,
                    i = this.length,
                    r = this;
                if ("string" != typeof e)
                    return this.pushStack(
                        E(e).filter(function () {
                            for (t = 0; t < i; t++) if (E.contains(r[t], this)) return !0;
                        })
                    );
                for (n = this.pushStack([]), t = 0; t < i; t++) E.find(e, r[t], n);
                return 1 < i ? E.uniqueSort(n) : n;
            },
            filter: function (e) {
                return this.pushStack(L(this, e || [], !1));
            },
            not: function (e) {
                return this.pushStack(L(this, e || [], !0));
            },
            is: function (e) {
                return !!L(this, "string" == typeof e && k.test(e) ? E(e) : e || [], !1).length;
            },
        });
    var M = /^(?:\s*(<[\w\W]+>)[^>]*|#([\w-]+))$/;
    (E.fn.init = function (e, t, n) {
        if (!e) return this;
        if (((n = n || D), "string" != typeof e)) return e.nodeType ? ((this[0] = e), (this.length = 1), this) : x(e) ? (void 0 !== n.ready ? n.ready(e) : e(E)) : E.makeArray(e, this);
        if (!(i = "<" === e[0] && ">" === e[e.length - 1] && 3 <= e.length ? [null, e, null] : M.exec(e)) || (!i[1] && t)) return (!t || t.jquery ? t || n : this.constructor(t)).find(e);
        if (i[1]) {
            if (((t = t instanceof E ? t[0] : t), E.merge(this, E.parseHTML(i[1], t && t.nodeType ? t.ownerDocument || t : S, !0)), P.test(i[1]) && E.isPlainObject(t))) for (var i in t) x(this[i]) ? this[i](t[i]) : this.attr(i, t[i]);
            return this;
        }
        return (e = S.getElementById(i[2])) && ((this[0] = e), (this.length = 1)), this;
    }).prototype = E.fn;
    var D = E(S),
        $ = /^(?:parents|prev(?:Until|All))/,
        I = { children: !0, contents: !0, next: !0, prev: !0 };
    function N(e, t) {
        for (; (e = e[t]) && 1 !== e.nodeType; );
        return e;
    }
    E.fn.extend({
        has: function (e) {
            var t = E(e, this),
                n = t.length;
            return this.filter(function () {
                for (var e = 0; e < n; e++) if (E.contains(this, t[e])) return !0;
            });
        },
        closest: function (e, t) {
            var n,
                i = 0,
                r = this.length,
                a = [],
                o = "string" != typeof e && E(e);
            if (!k.test(e))
                for (; i < r; i++)
                    for (n = this[i]; n && n !== t; n = n.parentNode)
                        if (n.nodeType < 11 && (o ? -1 < o.index(n) : 1 === n.nodeType && E.find.matchesSelector(n, e))) {
                            a.push(n);
                            break;
                        }
            return this.pushStack(1 < a.length ? E.uniqueSort(a) : a);
        },
        index: function (e) {
            return e ? ("string" == typeof e ? r.call(E(e), this[0]) : r.call(this, e.jquery ? e[0] : e)) : this[0] && this[0].parentNode ? this.first().prevAll().length : -1;
        },
        add: function (e, t) {
            return this.pushStack(E.uniqueSort(E.merge(this.get(), E(e, t))));
        },
        addBack: function (e) {
            return this.add(null == e ? this.prevObject : this.prevObject.filter(e));
        },
    }),
        E.each(
            {
                parent: function (e) {
                    e = e.parentNode;
                    return e && 11 !== e.nodeType ? e : null;
                },
                parents: function (e) {
                    return b(e, "parentNode");
                },
                parentsUntil: function (e, t, n) {
                    return b(e, "parentNode", n);
                },
                next: function (e) {
                    return N(e, "nextSibling");
                },
                prev: function (e) {
                    return N(e, "previousSibling");
                },
                nextAll: function (e) {
                    return b(e, "nextSibling");
                },
                prevAll: function (e) {
                    return b(e, "previousSibling");
                },
                nextUntil: function (e, t, n) {
                    return b(e, "nextSibling", n);
                },
                prevUntil: function (e, t, n) {
                    return b(e, "previousSibling", n);
                },
                siblings: function (e) {
                    return T((e.parentNode || {}).firstChild, e);
                },
                children: function (e) {
                    return T(e.firstChild);
                },
                contents: function (e) {
                    return null != e.contentDocument && n(e.contentDocument) ? e.contentDocument : (A(e, "template") && (e = e.content || e), E.merge([], e.childNodes));
                },
            },
            function (i, r) {
                E.fn[i] = function (e, t) {
                    var n = E.map(this, r, e);
                    return (t = "Until" !== i.slice(-5) ? e : t) && "string" == typeof t && (n = E.filter(t, n)), 1 < this.length && (I[i] || E.uniqueSort(n), $.test(i) && n.reverse()), this.pushStack(n);
                };
            }
        );
    var z = /[^\x20\t\r\n\f]+/g;
    function O(e) {
        return e;
    }
    function j(e) {
        throw e;
    }
    function q(e, t, n, i) {
        var r;
        try {
            e && x((r = e.promise)) ? r.call(e).done(t).fail(n) : e && x((r = e.then)) ? r.call(e, t, n) : t.apply(void 0, [e].slice(i));
        } catch (e) {
            n.apply(void 0, [e]);
        }
    }
    (E.Callbacks = function (i) {
        var n;
        i =
            "string" == typeof i
                ? ((n = {}),
                  E.each(i.match(z) || [], function (e, t) {
                      n[t] = !0;
                  }),
                  n)
                : E.extend({}, i);
        function r() {
            for (o = o || i.once, t = a = !0; l.length; d = -1) for (e = l.shift(); ++d < s.length; ) !1 === s[d].apply(e[0], e[1]) && i.stopOnFalse && ((d = s.length), (e = !1));
            i.memory || (e = !1), (a = !1), o && (s = e ? [] : "");
        }
        var a,
            e,
            t,
            o,
            s = [],
            l = [],
            d = -1,
            u = {
                add: function () {
                    return (
                        s &&
                            (e && !a && ((d = s.length - 1), l.push(e)),
                            (function n(e) {
                                E.each(e, function (e, t) {
                                    x(t) ? (i.unique && u.has(t)) || s.push(t) : t && t.length && "string" !== h(t) && n(t);
                                });
                            })(arguments),
                            e && !a && r()),
                        this
                    );
                },
                remove: function () {
                    return (
                        E.each(arguments, function (e, t) {
                            for (var n; -1 < (n = E.inArray(t, s, n)); ) s.splice(n, 1), n <= d && d--;
                        }),
                        this
                    );
                },
                has: function (e) {
                    return e ? -1 < E.inArray(e, s) : 0 < s.length;
                },
                empty: function () {
                    return (s = s && []), this;
                },
                disable: function () {
                    return (o = l = []), (s = e = ""), this;
                },
                disabled: function () {
                    return !s;
                },
                lock: function () {
                    return (o = l = []), e || a || (s = e = ""), this;
                },
                locked: function () {
                    return !!o;
                },
                fireWith: function (e, t) {
                    return o || ((t = [e, (t = t || []).slice ? t.slice() : t]), l.push(t), a || r()), this;
                },
                fire: function () {
                    return u.fireWith(this, arguments), this;
                },
                fired: function () {
                    return !!t;
                },
            };
        return u;
    }),
        E.extend({
            Deferred: function (e) {
                var a = [
                        ["notify", "progress", E.Callbacks("memory"), E.Callbacks("memory"), 2],
                        ["resolve", "done", E.Callbacks("once memory"), E.Callbacks("once memory"), 0, "resolved"],
                        ["reject", "fail", E.Callbacks("once memory"), E.Callbacks("once memory"), 1, "rejected"],
                    ],
                    r = "pending",
                    o = {
                        state: function () {
                            return r;
                        },
                        always: function () {
                            return s.done(arguments).fail(arguments), this;
                        },
                        catch: function (e) {
                            return o.then(null, e);
                        },
                        pipe: function () {
                            var r = arguments;
                            return E.Deferred(function (i) {
                                E.each(a, function (e, t) {
                                    var n = x(r[t[4]]) && r[t[4]];
                                    s[t[1]](function () {
                                        var e = n && n.apply(this, arguments);
                                        e && x(e.promise) ? e.promise().progress(i.notify).done(i.resolve).fail(i.reject) : i[t[0] + "With"](this, n ? [e] : arguments);
                                    });
                                }),
                                    (r = null);
                            }).promise();
                        },
                        then: function (t, n, i) {
                            var l = 0;
                            function d(r, a, o, s) {
                                return function () {
                                    function e() {
                                        var e, t;
                                        if (!(r < l)) {
                                            if ((e = o.apply(n, i)) === a.promise()) throw new TypeError("Thenable self-resolution");
                                            (t = e && ("object" == typeof e || "function" == typeof e) && e.then),
                                                x(t)
                                                    ? s
                                                        ? t.call(e, d(l, a, O, s), d(l, a, j, s))
                                                        : (l++, t.call(e, d(l, a, O, s), d(l, a, j, s), d(l, a, O, a.notifyWith)))
                                                    : (o !== O && ((n = void 0), (i = [e])), (s || a.resolveWith)(n, i));
                                        }
                                    }
                                    var n = this,
                                        i = arguments,
                                        t = s
                                            ? e
                                            : function () {
                                                  try {
                                                      e();
                                                  } catch (e) {
                                                      E.Deferred.exceptionHook && E.Deferred.exceptionHook(e, t.stackTrace), l <= r + 1 && (o !== j && ((n = void 0), (i = [e])), a.rejectWith(n, i));
                                                  }
                                              };
                                    r ? t() : (E.Deferred.getStackHook && (t.stackTrace = E.Deferred.getStackHook()), C.setTimeout(t));
                                };
                            }
                            return E.Deferred(function (e) {
                                a[0][3].add(d(0, e, x(i) ? i : O, e.notifyWith)), a[1][3].add(d(0, e, x(t) ? t : O)), a[2][3].add(d(0, e, x(n) ? n : j));
                            }).promise();
                        },
                        promise: function (e) {
                            return null != e ? E.extend(e, o) : o;
                        },
                    },
                    s = {};
                return (
                    E.each(a, function (e, t) {
                        var n = t[2],
                            i = t[5];
                        (o[t[1]] = n.add),
                            i &&
                                n.add(
                                    function () {
                                        r = i;
                                    },
                                    a[3 - e][2].disable,
                                    a[3 - e][3].disable,
                                    a[0][2].lock,
                                    a[0][3].lock
                                ),
                            n.add(t[3].fire),
                            (s[t[0]] = function () {
                                return s[t[0] + "With"](this === s ? void 0 : this, arguments), this;
                            }),
                            (s[t[0] + "With"] = n.fireWith);
                    }),
                    o.promise(s),
                    e && e.call(s, s),
                    s
                );
            },
            when: function (e) {
                function t(t) {
                    return function (e) {
                        (r[t] = this), (a[t] = 1 < arguments.length ? s.call(arguments) : e), --n || o.resolveWith(r, a);
                    };
                }
                var n = arguments.length,
                    i = n,
                    r = Array(i),
                    a = s.call(arguments),
                    o = E.Deferred();
                if (n <= 1 && (q(e, o.done(t(i)).resolve, o.reject, !n), "pending" === o.state() || x(a[i] && a[i].then))) return o.then();
                for (; i--; ) q(a[i], t(i), o.reject);
                return o.promise();
            },
        });
    var H = /^(Eval|Internal|Range|Reference|Syntax|Type|URI)Error$/;
    (E.Deferred.exceptionHook = function (e, t) {
        C.console && C.console.warn && e && H.test(e.name) && C.console.warn("jQuery.Deferred exception: " + e.message, e.stack, t);
    }),
        (E.readyException = function (e) {
            C.setTimeout(function () {
                throw e;
            });
        });
    var B = E.Deferred();
    function F() {
        S.removeEventListener("DOMContentLoaded", F), C.removeEventListener("load", F), E.ready();
    }
    (E.fn.ready = function (e) {
        return (
            B.then(e).catch(function (e) {
                E.readyException(e);
            }),
            this
        );
    }),
        E.extend({
            isReady: !1,
            readyWait: 1,
            ready: function (e) {
                (!0 === e ? --E.readyWait : E.isReady) || ((E.isReady = !0) !== e && 0 < --E.readyWait) || B.resolveWith(S, [E]);
            },
        }),
        (E.ready.then = B.then),
        "complete" === S.readyState || ("loading" !== S.readyState && !S.documentElement.doScroll) ? C.setTimeout(E.ready) : (S.addEventListener("DOMContentLoaded", F), C.addEventListener("load", F));
    var R = function (e, t, n, i, r, a, o) {
            var s = 0,
                l = e.length,
                d = null == n;
            if ("object" === h(n)) for (s in ((r = !0), n)) R(e, t, s, n[s], !0, a, o);
            else if (
                void 0 !== i &&
                ((r = !0),
                x(i) || (o = !0),
                (t = d
                    ? o
                        ? (t.call(e, i), null)
                        : ((d = t),
                          function (e, t, n) {
                              return d.call(E(e), n);
                          })
                    : t))
            )
                for (; s < l; s++) t(e[s], n, o ? i : i.call(e[s], s, t(e[s], n)));
            return r ? e : d ? t.call(e) : l ? t(e[0], n) : a;
        },
        V = /^-ms-/,
        W = /-([a-z])/g;
    function G(e, t) {
        return t.toUpperCase();
    }
    function _(e) {
        return e.replace(V, "ms-").replace(W, G);
    }
    function X(e) {
        return 1 === e.nodeType || 9 === e.nodeType || !+e.nodeType;
    }
    function U() {
        this.expando = E.expando + U.uid++;
    }
    (U.uid = 1),
        (U.prototype = {
            cache: function (e) {
                var t = e[this.expando];
                return t || ((t = {}), X(e) && (e.nodeType ? (e[this.expando] = t) : Object.defineProperty(e, this.expando, { value: t, configurable: !0 }))), t;
            },
            set: function (e, t, n) {
                var i,
                    r = this.cache(e);
                if ("string" == typeof t) r[_(t)] = n;
                else for (i in t) r[_(i)] = t[i];
                return r;
            },
            get: function (e, t) {
                return void 0 === t ? this.cache(e) : e[this.expando] && e[this.expando][_(t)];
            },
            access: function (e, t, n) {
                return void 0 === t || (t && "string" == typeof t && void 0 === n) ? this.get(e, t) : (this.set(e, t, n), void 0 !== n ? n : t);
            },
            remove: function (e, t) {
                var n,
                    i = e[this.expando];
                if (void 0 !== i) {
                    if (void 0 !== t) {
                        n = (t = Array.isArray(t) ? t.map(_) : (t = _(t)) in i ? [t] : t.match(z) || []).length;
                        for (; n--; ) delete i[t[n]];
                    }
                    (void 0 !== t && !E.isEmptyObject(i)) || (e.nodeType ? (e[this.expando] = void 0) : delete e[this.expando]);
                }
            },
            hasData: function (e) {
                e = e[this.expando];
                return void 0 !== e && !E.isEmptyObject(e);
            },
        });
    var Y = new U(),
        Q = new U(),
        K = /^(?:\{[\w\W]*\}|\[[\w\W]*\])$/,
        J = /[A-Z]/g;
    function Z(e, t, n) {
        var i, r;
        if (void 0 === n && 1 === e.nodeType)
            if (((i = "data-" + t.replace(J, "-$&").toLowerCase()), "string" == typeof (n = e.getAttribute(i)))) {
                try {
                    n = "true" === (r = n) || ("false" !== r && ("null" === r ? null : r === +r + "" ? +r : K.test(r) ? JSON.parse(r) : r));
                } catch (e) {}
                Q.set(e, t, n);
            } else n = void 0;
        return n;
    }
    E.extend({
        hasData: function (e) {
            return Q.hasData(e) || Y.hasData(e);
        },
        data: function (e, t, n) {
            return Q.access(e, t, n);
        },
        removeData: function (e, t) {
            Q.remove(e, t);
        },
        _data: function (e, t, n) {
            return Y.access(e, t, n);
        },
        _removeData: function (e, t) {
            Y.remove(e, t);
        },
    }),
        E.fn.extend({
            data: function (n, e) {
                var t,
                    i,
                    r,
                    a = this[0],
                    o = a && a.attributes;
                if (void 0 !== n)
                    return "object" == typeof n
                        ? this.each(function () {
                              Q.set(this, n);
                          })
                        : R(
                              this,
                              function (e) {
                                  var t;
                                  return a && void 0 === e
                                      ? void 0 !== (t = Q.get(a, n)) || void 0 !== (t = Z(a, n))
                                          ? t
                                          : void 0
                                      : void this.each(function () {
                                            Q.set(this, n, e);
                                        });
                              },
                              null,
                              e,
                              1 < arguments.length,
                              null,
                              !0
                          );
                if (this.length && ((r = Q.get(a)), 1 === a.nodeType && !Y.get(a, "hasDataAttrs"))) {
                    for (t = o.length; t--; ) o[t] && 0 === (i = o[t].name).indexOf("data-") && ((i = _(i.slice(5))), Z(a, i, r[i]));
                    Y.set(a, "hasDataAttrs", !0);
                }
                return r;
            },
            removeData: function (e) {
                return this.each(function () {
                    Q.remove(this, e);
                });
            },
        }),
        E.extend({
            queue: function (e, t, n) {
                var i;
                if (e) return (t = (t || "fx") + "queue"), (i = Y.get(e, t)), n && (!i || Array.isArray(n) ? (i = Y.access(e, t, E.makeArray(n))) : i.push(n)), i || [];
            },
            dequeue: function (e, t) {
                t = t || "fx";
                var n = E.queue(e, t),
                    i = n.length,
                    r = n.shift(),
                    a = E._queueHooks(e, t);
                "inprogress" === r && ((r = n.shift()), i--),
                    r &&
                        ("fx" === t && n.unshift("inprogress"),
                        delete a.stop,
                        r.call(
                            e,
                            function () {
                                E.dequeue(e, t);
                            },
                            a
                        )),
                    !i && a && a.empty.fire();
            },
            _queueHooks: function (e, t) {
                var n = t + "queueHooks";
                return (
                    Y.get(e, n) ||
                    Y.access(e, n, {
                        empty: E.Callbacks("once memory").add(function () {
                            Y.remove(e, [t + "queue", n]);
                        }),
                    })
                );
            },
        }),
        E.fn.extend({
            queue: function (t, n) {
                var e = 2;
                return (
                    "string" != typeof t && ((n = t), (t = "fx"), e--),
                    arguments.length < e
                        ? E.queue(this[0], t)
                        : void 0 === n
                        ? this
                        : this.each(function () {
                              var e = E.queue(this, t, n);
                              E._queueHooks(this, t), "fx" === t && "inprogress" !== e[0] && E.dequeue(this, t);
                          })
                );
            },
            dequeue: function (e) {
                return this.each(function () {
                    E.dequeue(this, e);
                });
            },
            clearQueue: function (e) {
                return this.queue(e || "fx", []);
            },
            promise: function (e, t) {
                function n() {
                    --r || a.resolveWith(o, [o]);
                }
                var i,
                    r = 1,
                    a = E.Deferred(),
                    o = this,
                    s = this.length;
                for ("string" != typeof e && ((t = e), (e = void 0)), e = e || "fx"; s--; ) (i = Y.get(o[s], e + "queueHooks")) && i.empty && (r++, i.empty.add(n));
                return n(), a.promise(t);
            },
        });
    var ee = /[+-]?(?:\d*\.|)\d+(?:[eE][+-]?\d+|)/.source,
        te = new RegExp("^(?:([+-])=|)(" + ee + ")([a-z%]*)$", "i"),
        ne = ["Top", "Right", "Bottom", "Left"],
        ie = S.documentElement,
        re = function (e) {
            return E.contains(e.ownerDocument, e);
        },
        ae = { composed: !0 };
    ie.getRootNode &&
        (re = function (e) {
            return E.contains(e.ownerDocument, e) || e.getRootNode(ae) === e.ownerDocument;
        });
    function oe(e, t) {
        return "none" === (e = t || e).style.display || ("" === e.style.display && re(e) && "none" === E.css(e, "display"));
    }
    function se(e, t, n, i) {
        var r,
            a,
            o = 20,
            s = i
                ? function () {
                      return i.cur();
                  }
                : function () {
                      return E.css(e, t, "");
                  },
            l = s(),
            d = (n && n[3]) || (E.cssNumber[t] ? "" : "px"),
            u = e.nodeType && (E.cssNumber[t] || ("px" !== d && +l)) && te.exec(E.css(e, t));
        if (u && u[3] !== d) {
            for (l /= 2, d = d || u[3], u = +l || 1; o--; ) E.style(e, t, u + d), (1 - a) * (1 - (a = s() / l || 0.5)) <= 0 && (o = 0), (u /= a);
            (u *= 2), E.style(e, t, u + d), (n = n || []);
        }
        return n && ((u = +u || +l || 0), (r = n[1] ? u + (n[1] + 1) * n[2] : +n[2]), i && ((i.unit = d), (i.start = u), (i.end = r))), r;
    }
    var le = {};
    function de(e, t) {
        for (var n, i, r, a, o, s, l = [], d = 0, u = e.length; d < u; d++)
            (i = e[d]).style &&
                ((n = i.style.display),
                t
                    ? ("none" === n && ((l[d] = Y.get(i, "display") || null), l[d] || (i.style.display = "")),
                      "" === i.style.display &&
                          oe(i) &&
                          (l[d] =
                              ((s = a = r = void 0),
                              (a = i.ownerDocument),
                              (o = i.nodeName),
                              (s = le[o]) || ((r = a.body.appendChild(a.createElement(o))), (s = E.css(r, "display")), r.parentNode.removeChild(r), "none" === s && (s = "block"), (le[o] = s)))))
                    : "none" !== n && ((l[d] = "none"), Y.set(i, "display", n)));
        for (d = 0; d < u; d++) null != l[d] && (e[d].style.display = l[d]);
        return e;
    }
    E.fn.extend({
        show: function () {
            return de(this, !0);
        },
        hide: function () {
            return de(this);
        },
        toggle: function (e) {
            return "boolean" == typeof e
                ? e
                    ? this.show()
                    : this.hide()
                : this.each(function () {
                      oe(this) ? E(this).show() : E(this).hide();
                  });
        },
    });
    var ue = /^(?:checkbox|radio)$/i,
        ce = /<([a-z][^\/\0>\x20\t\r\n\f]*)/i,
        pe = /^$|^module$|\/(?:java|ecma)script/i,
        c = S.createDocumentFragment().appendChild(S.createElement("div"));
    (f = S.createElement("input")).setAttribute("type", "radio"),
        f.setAttribute("checked", "checked"),
        f.setAttribute("name", "t"),
        c.appendChild(f),
        (y.checkClone = c.cloneNode(!0).cloneNode(!0).lastChild.checked),
        (c.innerHTML = "<textarea>x</textarea>"),
        (y.noCloneChecked = !!c.cloneNode(!0).lastChild.defaultValue),
        (c.innerHTML = "<option></option>"),
        (y.option = !!c.lastChild);
    var fe = { thead: [1, "<table>", "</table>"], col: [2, "<table><colgroup>", "</colgroup></table>"], tr: [2, "<table><tbody>", "</tbody></table>"], td: [3, "<table><tbody><tr>", "</tr></tbody></table>"], _default: [0, "", ""] };
    function he(e, t) {
        var n = void 0 !== e.getElementsByTagName ? e.getElementsByTagName(t || "*") : void 0 !== e.querySelectorAll ? e.querySelectorAll(t || "*") : [];
        return void 0 === t || (t && A(e, t)) ? E.merge([e], n) : n;
    }
    function ve(e, t) {
        for (var n = 0, i = e.length; n < i; n++) Y.set(e[n], "globalEval", !t || Y.get(t[n], "globalEval"));
    }
    (fe.tbody = fe.tfoot = fe.colgroup = fe.caption = fe.thead), (fe.th = fe.td), y.option || (fe.optgroup = fe.option = [1, "<select multiple='multiple'>", "</select>"]);
    var me = /<|&#?\w+;/;
    function ge(e, t, n, i, r) {
        for (var a, o, s, l, d, u = t.createDocumentFragment(), c = [], p = 0, f = e.length; p < f; p++)
            if ((a = e[p]) || 0 === a)
                if ("object" === h(a)) E.merge(c, a.nodeType ? [a] : a);
                else if (me.test(a)) {
                    for (o = o || u.appendChild(t.createElement("div")), s = (ce.exec(a) || ["", ""])[1].toLowerCase(), s = fe[s] || fe._default, o.innerHTML = s[1] + E.htmlPrefilter(a) + s[2], d = s[0]; d--; ) o = o.lastChild;
                    E.merge(c, o.childNodes), ((o = u.firstChild).textContent = "");
                } else c.push(t.createTextNode(a));
        for (u.textContent = "", p = 0; (a = c[p++]); )
            if (i && -1 < E.inArray(a, i)) r && r.push(a);
            else if (((l = re(a)), (o = he(u.appendChild(a), "script")), l && ve(o), n)) for (d = 0; (a = o[d++]); ) pe.test(a.type || "") && n.push(a);
        return u;
    }
    var ye = /^key/,
        xe = /^(?:mouse|pointer|contextmenu|drag|drop)|click/,
        we = /^([^.]*)(?:\.(.+)|)/;
    function be() {
        return !0;
    }
    function Te() {
        return !1;
    }
    function Ce(e, t) {
        return (
            (e ===
                (function () {
                    try {
                        return S.activeElement;
                    } catch (e) {}
                })()) ==
            ("focus" === t)
        );
    }
    function Se(e, t, n, i, r, a) {
        var o, s;
        if ("object" == typeof t) {
            for (s in ("string" != typeof n && ((i = i || n), (n = void 0)), t)) Se(e, s, n, i, t[s], a);
            return e;
        }
        if ((null == i && null == r ? ((r = n), (i = n = void 0)) : null == r && ("string" == typeof n ? ((r = i), (i = void 0)) : ((r = i), (i = n), (n = void 0))), !1 === r)) r = Te;
        else if (!r) return e;
        return (
            1 === a &&
                ((o = r),
                ((r = function (e) {
                    return E().off(e), o.apply(this, arguments);
                }).guid = o.guid || (o.guid = E.guid++))),
            e.each(function () {
                E.event.add(this, t, r, i, n);
            })
        );
    }
    function Ee(e, r, a) {
        a
            ? (Y.set(e, r, !1),
              E.event.add(e, r, {
                  namespace: !1,
                  handler: function (e) {
                      var t,
                          n,
                          i = Y.get(this, r);
                      if (1 & e.isTrigger && this[r]) {
                          if (i.length) (E.event.special[r] || {}).delegateType && e.stopPropagation();
                          else if (((i = s.call(arguments)), Y.set(this, r, i), (t = a(this, r)), this[r](), i !== (n = Y.get(this, r)) || t ? Y.set(this, r, !1) : (n = {}), i !== n))
                              return e.stopImmediatePropagation(), e.preventDefault(), n.value;
                      } else i.length && (Y.set(this, r, { value: E.event.trigger(E.extend(i[0], E.Event.prototype), i.slice(1), this) }), e.stopImmediatePropagation());
                  },
              }))
            : void 0 === Y.get(e, r) && E.event.add(e, r, be);
    }
    (E.event = {
        global: {},
        add: function (t, e, n, i, r) {
            var a,
                o,
                s,
                l,
                d,
                u,
                c,
                p,
                f,
                h = Y.get(t);
            if (X(t))
                for (
                    n.handler && ((n = (a = n).handler), (r = a.selector)),
                        r && E.find.matchesSelector(ie, r),
                        n.guid || (n.guid = E.guid++),
                        (s = h.events) || (s = h.events = Object.create(null)),
                        (o = h.handle) ||
                            (o = h.handle = function (e) {
                                return void 0 !== E && E.event.triggered !== e.type ? E.event.dispatch.apply(t, arguments) : void 0;
                            }),
                        l = (e = (e || "").match(z) || [""]).length;
                    l--;

                )
                    (c = f = (d = we.exec(e[l]) || [])[1]),
                        (p = (d[2] || "").split(".").sort()),
                        c &&
                            ((u = E.event.special[c] || {}),
                            (c = (r ? u.delegateType : u.bindType) || c),
                            (u = E.event.special[c] || {}),
                            (d = E.extend({ type: c, origType: f, data: i, handler: n, guid: n.guid, selector: r, needsContext: r && E.expr.match.needsContext.test(r), namespace: p.join(".") }, a)),
                            (f = s[c]) || (((f = s[c] = []).delegateCount = 0), (u.setup && !1 !== u.setup.call(t, i, p, o)) || (t.addEventListener && t.addEventListener(c, o))),
                            u.add && (u.add.call(t, d), d.handler.guid || (d.handler.guid = n.guid)),
                            r ? f.splice(f.delegateCount++, 0, d) : f.push(d),
                            (E.event.global[c] = !0));
        },
        remove: function (e, t, n, i, r) {
            var a,
                o,
                s,
                l,
                d,
                u,
                c,
                p,
                f,
                h,
                v,
                m = Y.hasData(e) && Y.get(e);
            if (m && (l = m.events)) {
                for (d = (t = (t || "").match(z) || [""]).length; d--; )
                    if (((f = v = (s = we.exec(t[d]) || [])[1]), (h = (s[2] || "").split(".").sort()), f)) {
                        for (c = E.event.special[f] || {}, p = l[(f = (i ? c.delegateType : c.bindType) || f)] || [], s = s[2] && new RegExp("(^|\\.)" + h.join("\\.(?:.*\\.|)") + "(\\.|$)"), o = a = p.length; a--; )
                            (u = p[a]),
                                (!r && v !== u.origType) ||
                                    (n && n.guid !== u.guid) ||
                                    (s && !s.test(u.namespace)) ||
                                    (i && i !== u.selector && ("**" !== i || !u.selector)) ||
                                    (p.splice(a, 1), u.selector && p.delegateCount--, c.remove && c.remove.call(e, u));
                        o && !p.length && ((c.teardown && !1 !== c.teardown.call(e, h, m.handle)) || E.removeEvent(e, f, m.handle), delete l[f]);
                    } else for (f in l) E.event.remove(e, f + t[d], n, i, !0);
                E.isEmptyObject(l) && Y.remove(e, "handle events");
            }
        },
        dispatch: function (e) {
            var t,
                n,
                i,
                r,
                a,
                o = new Array(arguments.length),
                s = E.event.fix(e),
                l = (Y.get(this, "events") || Object.create(null))[s.type] || [],
                e = E.event.special[s.type] || {};
            for (o[0] = s, t = 1; t < arguments.length; t++) o[t] = arguments[t];
            if (((s.delegateTarget = this), !e.preDispatch || !1 !== e.preDispatch.call(this, s))) {
                for (a = E.event.handlers.call(this, s, l), t = 0; (i = a[t++]) && !s.isPropagationStopped(); )
                    for (s.currentTarget = i.elem, n = 0; (r = i.handlers[n++]) && !s.isImmediatePropagationStopped(); )
                        (s.rnamespace && !1 !== r.namespace && !s.rnamespace.test(r.namespace)) ||
                            ((s.handleObj = r), (s.data = r.data), void 0 !== (r = ((E.event.special[r.origType] || {}).handle || r.handler).apply(i.elem, o)) && !1 === (s.result = r) && (s.preventDefault(), s.stopPropagation()));
                return e.postDispatch && e.postDispatch.call(this, s), s.result;
            }
        },
        handlers: function (e, t) {
            var n,
                i,
                r,
                a,
                o,
                s = [],
                l = t.delegateCount,
                d = e.target;
            if (l && d.nodeType && !("click" === e.type && 1 <= e.button))
                for (; d !== this; d = d.parentNode || this)
                    if (1 === d.nodeType && ("click" !== e.type || !0 !== d.disabled)) {
                        for (a = [], o = {}, n = 0; n < l; n++) void 0 === o[(r = (i = t[n]).selector + " ")] && (o[r] = i.needsContext ? -1 < E(r, this).index(d) : E.find(r, this, null, [d]).length), o[r] && a.push(i);
                        a.length && s.push({ elem: d, handlers: a });
                    }
            return (d = this), l < t.length && s.push({ elem: d, handlers: t.slice(l) }), s;
        },
        addProp: function (t, e) {
            Object.defineProperty(E.Event.prototype, t, {
                enumerable: !0,
                configurable: !0,
                get: x(e)
                    ? function () {
                          if (this.originalEvent) return e(this.originalEvent);
                      }
                    : function () {
                          if (this.originalEvent) return this.originalEvent[t];
                      },
                set: function (e) {
                    Object.defineProperty(this, t, { enumerable: !0, configurable: !0, writable: !0, value: e });
                },
            });
        },
        fix: function (e) {
            return e[E.expando] ? e : new E.Event(e);
        },
        special: {
            load: { noBubble: !0 },
            click: {
                setup: function (e) {
                    e = this || e;
                    return ue.test(e.type) && e.click && A(e, "input") && Ee(e, "click", be), !1;
                },
                trigger: function (e) {
                    e = this || e;
                    return ue.test(e.type) && e.click && A(e, "input") && Ee(e, "click"), !0;
                },
                _default: function (e) {
                    e = e.target;
                    return (ue.test(e.type) && e.click && A(e, "input") && Y.get(e, "click")) || A(e, "a");
                },
            },
            beforeunload: {
                postDispatch: function (e) {
                    void 0 !== e.result && e.originalEvent && (e.originalEvent.returnValue = e.result);
                },
            },
        },
    }),
        (E.removeEvent = function (e, t, n) {
            e.removeEventListener && e.removeEventListener(t, n);
        }),
        (E.Event = function (e, t) {
            if (!(this instanceof E.Event)) return new E.Event(e, t);
            e && e.type
                ? ((this.originalEvent = e),
                  (this.type = e.type),
                  (this.isDefaultPrevented = e.defaultPrevented || (void 0 === e.defaultPrevented && !1 === e.returnValue) ? be : Te),
                  (this.target = e.target && 3 === e.target.nodeType ? e.target.parentNode : e.target),
                  (this.currentTarget = e.currentTarget),
                  (this.relatedTarget = e.relatedTarget))
                : (this.type = e),
                t && E.extend(this, t),
                (this.timeStamp = (e && e.timeStamp) || Date.now()),
                (this[E.expando] = !0);
        }),
        (E.Event.prototype = {
            constructor: E.Event,
            isDefaultPrevented: Te,
            isPropagationStopped: Te,
            isImmediatePropagationStopped: Te,
            isSimulated: !1,
            preventDefault: function () {
                var e = this.originalEvent;
                (this.isDefaultPrevented = be), e && !this.isSimulated && e.preventDefault();
            },
            stopPropagation: function () {
                var e = this.originalEvent;
                (this.isPropagationStopped = be), e && !this.isSimulated && e.stopPropagation();
            },
            stopImmediatePropagation: function () {
                var e = this.originalEvent;
                (this.isImmediatePropagationStopped = be), e && !this.isSimulated && e.stopImmediatePropagation(), this.stopPropagation();
            },
        }),
        E.each(
            {
                altKey: !0,
                bubbles: !0,
                cancelable: !0,
                changedTouches: !0,
                ctrlKey: !0,
                detail: !0,
                eventPhase: !0,
                metaKey: !0,
                pageX: !0,
                pageY: !0,
                shiftKey: !0,
                view: !0,
                char: !0,
                code: !0,
                charCode: !0,
                key: !0,
                keyCode: !0,
                button: !0,
                buttons: !0,
                clientX: !0,
                clientY: !0,
                offsetX: !0,
                offsetY: !0,
                pointerId: !0,
                pointerType: !0,
                screenX: !0,
                screenY: !0,
                targetTouches: !0,
                toElement: !0,
                touches: !0,
                which: function (e) {
                    var t = e.button;
                    return null == e.which && ye.test(e.type) ? (null != e.charCode ? e.charCode : e.keyCode) : !e.which && void 0 !== t && xe.test(e.type) ? (1 & t ? 1 : 2 & t ? 3 : 4 & t ? 2 : 0) : e.which;
                },
            },
            E.event.addProp
        ),
        E.each({ focus: "focusin", blur: "focusout" }, function (e, t) {
            E.event.special[e] = {
                setup: function () {
                    return Ee(this, e, Ce), !1;
                },
                trigger: function () {
                    return Ee(this, e), !0;
                },
                delegateType: t,
            };
        }),
        E.each({ mouseenter: "mouseover", mouseleave: "mouseout", pointerenter: "pointerover", pointerleave: "pointerout" }, function (e, r) {
            E.event.special[e] = {
                delegateType: r,
                bindType: r,
                handle: function (e) {
                    var t,
                        n = e.relatedTarget,
                        i = e.handleObj;
                    return (n && (n === this || E.contains(this, n))) || ((e.type = i.origType), (t = i.handler.apply(this, arguments)), (e.type = r)), t;
                },
            };
        }),
        E.fn.extend({
            on: function (e, t, n, i) {
                return Se(this, e, t, n, i);
            },
            one: function (e, t, n, i) {
                return Se(this, e, t, n, i, 1);
            },
            off: function (e, t, n) {
                var i, r;
                if (e && e.preventDefault && e.handleObj) return (i = e.handleObj), E(e.delegateTarget).off(i.namespace ? i.origType + "." + i.namespace : i.origType, i.selector, i.handler), this;
                if ("object" != typeof e)
                    return (
                        (!1 !== t && "function" != typeof t) || ((n = t), (t = void 0)),
                        !1 === n && (n = Te),
                        this.each(function () {
                            E.event.remove(this, e, n, t);
                        })
                    );
                for (r in e) this.off(r, t, e[r]);
                return this;
            },
        });
    var ke = /<script|<style|<link/i,
        Ae = /checked\s*(?:[^=]|=\s*.checked.)/i,
        Pe = /^\s*<!(?:\[CDATA\[|--)|(?:\]\]|--)>\s*$/g;
    function Le(e, t) {
        return (A(e, "table") && A(11 !== t.nodeType ? t : t.firstChild, "tr") && E(e).children("tbody")[0]) || e;
    }
    function Me(e) {
        return (e.type = (null !== e.getAttribute("type")) + "/" + e.type), e;
    }
    function De(e) {
        return "true/" === (e.type || "").slice(0, 5) ? (e.type = e.type.slice(5)) : e.removeAttribute("type"), e;
    }
    function $e(e, t) {
        var n, i, r, a;
        if (1 === t.nodeType) {
            if (Y.hasData(e) && (a = Y.get(e).events)) for (r in (Y.remove(t, "handle events"), a)) for (n = 0, i = a[r].length; n < i; n++) E.event.add(t, r, a[r][n]);
            Q.hasData(e) && ((e = Q.access(e)), (e = E.extend({}, e)), Q.set(t, e));
        }
    }
    function Ie(n, i, r, a) {
        i = m(i);
        var e,
            t,
            o,
            s,
            l,
            d,
            u = 0,
            c = n.length,
            p = c - 1,
            f = i[0],
            h = x(f);
        if (h || (1 < c && "string" == typeof f && !y.checkClone && Ae.test(f)))
            return n.each(function (e) {
                var t = n.eq(e);
                h && (i[0] = f.call(this, e, t.html())), Ie(t, i, r, a);
            });
        if (c && ((t = (e = ge(i, n[0].ownerDocument, !1, n, a)).firstChild), 1 === e.childNodes.length && (e = t), t || a)) {
            for (s = (o = E.map(he(e, "script"), Me)).length; u < c; u++) (l = e), u !== p && ((l = E.clone(l, !0, !0)), s && E.merge(o, he(l, "script"))), r.call(n[u], l, u);
            if (s)
                for (d = o[o.length - 1].ownerDocument, E.map(o, De), u = 0; u < s; u++)
                    (l = o[u]),
                        pe.test(l.type || "") &&
                            !Y.access(l, "globalEval") &&
                            E.contains(d, l) &&
                            (l.src && "module" !== (l.type || "").toLowerCase() ? E._evalUrl && !l.noModule && E._evalUrl(l.src, { nonce: l.nonce || l.getAttribute("nonce") }, d) : w(l.textContent.replace(Pe, ""), l, d));
        }
        return n;
    }
    function Ne(e, t, n) {
        for (var i, r = t ? E.filter(t, e) : e, a = 0; null != (i = r[a]); a++) n || 1 !== i.nodeType || E.cleanData(he(i)), i.parentNode && (n && re(i) && ve(he(i, "script")), i.parentNode.removeChild(i));
        return e;
    }
    E.extend({
        htmlPrefilter: function (e) {
            return e;
        },
        clone: function (e, t, n) {
            var i,
                r,
                a,
                o,
                s,
                l,
                d,
                u = e.cloneNode(!0),
                c = re(e);
            if (!(y.noCloneChecked || (1 !== e.nodeType && 11 !== e.nodeType) || E.isXMLDoc(e)))
                for (o = he(u), i = 0, r = (a = he(e)).length; i < r; i++)
                    (s = a[i]), "input" === (d = (l = o[i]).nodeName.toLowerCase()) && ue.test(s.type) ? (l.checked = s.checked) : ("input" !== d && "textarea" !== d) || (l.defaultValue = s.defaultValue);
            if (t)
                if (n) for (a = a || he(e), o = o || he(u), i = 0, r = a.length; i < r; i++) $e(a[i], o[i]);
                else $e(e, u);
            return 0 < (o = he(u, "script")).length && ve(o, !c && he(e, "script")), u;
        },
        cleanData: function (e) {
            for (var t, n, i, r = E.event.special, a = 0; void 0 !== (n = e[a]); a++)
                if (X(n)) {
                    if ((t = n[Y.expando])) {
                        if (t.events) for (i in t.events) r[i] ? E.event.remove(n, i) : E.removeEvent(n, i, t.handle);
                        n[Y.expando] = void 0;
                    }
                    n[Q.expando] && (n[Q.expando] = void 0);
                }
        },
    }),
        E.fn.extend({
            detach: function (e) {
                return Ne(this, e, !0);
            },
            remove: function (e) {
                return Ne(this, e);
            },
            text: function (e) {
                return R(
                    this,
                    function (e) {
                        return void 0 === e
                            ? E.text(this)
                            : this.empty().each(function () {
                                  (1 !== this.nodeType && 11 !== this.nodeType && 9 !== this.nodeType) || (this.textContent = e);
                              });
                    },
                    null,
                    e,
                    arguments.length
                );
            },
            append: function () {
                return Ie(this, arguments, function (e) {
                    (1 !== this.nodeType && 11 !== this.nodeType && 9 !== this.nodeType) || Le(this, e).appendChild(e);
                });
            },
            prepend: function () {
                return Ie(this, arguments, function (e) {
                    var t;
                    (1 !== this.nodeType && 11 !== this.nodeType && 9 !== this.nodeType) || (t = Le(this, e)).insertBefore(e, t.firstChild);
                });
            },
            before: function () {
                return Ie(this, arguments, function (e) {
                    this.parentNode && this.parentNode.insertBefore(e, this);
                });
            },
            after: function () {
                return Ie(this, arguments, function (e) {
                    this.parentNode && this.parentNode.insertBefore(e, this.nextSibling);
                });
            },
            empty: function () {
                for (var e, t = 0; null != (e = this[t]); t++) 1 === e.nodeType && (E.cleanData(he(e, !1)), (e.textContent = ""));
                return this;
            },
            clone: function (e, t) {
                return (
                    (e = null != e && e),
                    (t = null == t ? e : t),
                    this.map(function () {
                        return E.clone(this, e, t);
                    })
                );
            },
            html: function (e) {
                return R(
                    this,
                    function (e) {
                        var t = this[0] || {},
                            n = 0,
                            i = this.length;
                        if (void 0 === e && 1 === t.nodeType) return t.innerHTML;
                        if ("string" == typeof e && !ke.test(e) && !fe[(ce.exec(e) || ["", ""])[1].toLowerCase()]) {
                            e = E.htmlPrefilter(e);
                            try {
                                for (; n < i; n++) 1 === (t = this[n] || {}).nodeType && (E.cleanData(he(t, !1)), (t.innerHTML = e));
                                t = 0;
                            } catch (e) {}
                        }
                        t && this.empty().append(e);
                    },
                    null,
                    e,
                    arguments.length
                );
            },
            replaceWith: function () {
                var n = [];
                return Ie(
                    this,
                    arguments,
                    function (e) {
                        var t = this.parentNode;
                        E.inArray(this, n) < 0 && (E.cleanData(he(this)), t && t.replaceChild(e, this));
                    },
                    n
                );
            },
        }),
        E.each({ appendTo: "append", prependTo: "prepend", insertBefore: "before", insertAfter: "after", replaceAll: "replaceWith" }, function (e, o) {
            E.fn[e] = function (e) {
                for (var t, n = [], i = E(e), r = i.length - 1, a = 0; a <= r; a++) (t = a === r ? this : this.clone(!0)), E(i[a])[o](t), l.apply(n, t.get());
                return this.pushStack(n);
            };
        });
    function ze(e, t, n) {
        var i,
            r = {};
        for (i in t) (r[i] = e.style[i]), (e.style[i] = t[i]);
        for (i in ((n = n.call(e)), t)) e.style[i] = r[i];
        return n;
    }
    var Oe,
        je,
        qe,
        He,
        Be,
        Fe,
        Re,
        Ve,
        We = new RegExp("^(" + ee + ")(?!px)[a-z%]+$", "i"),
        Ge = function (e) {
            var t = e.ownerDocument.defaultView;
            return (t = !t || !t.opener ? C : t).getComputedStyle(e);
        },
        _e = new RegExp(ne.join("|"), "i");
    function Xe(e, t, n) {
        var i,
            r,
            a = e.style;
        return (
            (n = n || Ge(e)) &&
                ("" !== (r = n.getPropertyValue(t) || n[t]) || re(e) || (r = E.style(e, t)),
                !y.pixelBoxStyles() && We.test(r) && _e.test(t) && ((i = a.width), (e = a.minWidth), (t = a.maxWidth), (a.minWidth = a.maxWidth = a.width = r), (r = n.width), (a.width = i), (a.minWidth = e), (a.maxWidth = t))),
            void 0 !== r ? r + "" : r
        );
    }
    function Ue(e, t) {
        return {
            get: function () {
                if (!e()) return (this.get = t).apply(this, arguments);
                delete this.get;
            },
        };
    }
    function Ye() {
        var e;
        Ve &&
            ((Re.style.cssText = "position:absolute;left:-11111px;width:60px;margin-top:1px;padding:0;border:0"),
            (Ve.style.cssText = "position:relative;display:block;box-sizing:border-box;overflow:scroll;margin:auto;border:1px;padding:1px;width:60%;top:1%"),
            ie.appendChild(Re).appendChild(Ve),
            (e = C.getComputedStyle(Ve)),
            (Oe = "1%" !== e.top),
            (Fe = 12 === Qe(e.marginLeft)),
            (Ve.style.right = "60%"),
            (He = 36 === Qe(e.right)),
            (je = 36 === Qe(e.width)),
            (Ve.style.position = "absolute"),
            (qe = 12 === Qe(Ve.offsetWidth / 3)),
            ie.removeChild(Re),
            (Ve = null));
    }
    function Qe(e) {
        return Math.round(parseFloat(e));
    }
    (Re = S.createElement("div")),
        (Ve = S.createElement("div")).style &&
            ((Ve.style.backgroundClip = "content-box"),
            (Ve.cloneNode(!0).style.backgroundClip = ""),
            (y.clearCloneStyle = "content-box" === Ve.style.backgroundClip),
            E.extend(y, {
                boxSizingReliable: function () {
                    return Ye(), je;
                },
                pixelBoxStyles: function () {
                    return Ye(), He;
                },
                pixelPosition: function () {
                    return Ye(), Oe;
                },
                reliableMarginLeft: function () {
                    return Ye(), Fe;
                },
                scrollboxSize: function () {
                    return Ye(), qe;
                },
                reliableTrDimensions: function () {
                    var e, t, n;
                    return (
                        null == Be &&
                            ((e = S.createElement("table")),
                            (n = S.createElement("tr")),
                            (t = S.createElement("div")),
                            (e.style.cssText = "position:absolute;left:-11111px"),
                            (n.style.height = "1px"),
                            (t.style.height = "9px"),
                            ie.appendChild(e).appendChild(n).appendChild(t),
                            (n = C.getComputedStyle(n)),
                            (Be = 3 < parseInt(n.height)),
                            ie.removeChild(e)),
                        Be
                    );
                },
            }));
    var Ke = ["Webkit", "Moz", "ms"],
        Je = S.createElement("div").style,
        Ze = {};
    function et(e) {
        return (
            E.cssProps[e] ||
            Ze[e] ||
            (e in Je
                ? e
                : (Ze[e] =
                      (function (e) {
                          for (var t = e[0].toUpperCase() + e.slice(1), n = Ke.length; n--; ) if ((e = Ke[n] + t) in Je) return e;
                      })(e) || e))
        );
    }
    var tt = /^(none|table(?!-c[ea]).+)/,
        nt = /^--/,
        it = { position: "absolute", visibility: "hidden", display: "block" },
        rt = { letterSpacing: "0", fontWeight: "400" };
    function at(e, t, n) {
        var i = te.exec(t);
        return i ? Math.max(0, i[2] - (n || 0)) + (i[3] || "px") : t;
    }
    function ot(e, t, n, i, r, a) {
        var o = "width" === t ? 1 : 0,
            s = 0,
            l = 0;
        if (n === (i ? "border" : "content")) return 0;
        for (; o < 4; o += 2)
            "margin" === n && (l += E.css(e, n + ne[o], !0, r)),
                i
                    ? ("content" === n && (l -= E.css(e, "padding" + ne[o], !0, r)), "margin" !== n && (l -= E.css(e, "border" + ne[o] + "Width", !0, r)))
                    : ((l += E.css(e, "padding" + ne[o], !0, r)), "padding" !== n ? (l += E.css(e, "border" + ne[o] + "Width", !0, r)) : (s += E.css(e, "border" + ne[o] + "Width", !0, r)));
        return !i && 0 <= a && (l += Math.max(0, Math.ceil(e["offset" + t[0].toUpperCase() + t.slice(1)] - a - l - s - 0.5)) || 0), l;
    }
    function st(e, t, n) {
        var i = Ge(e),
            r = (!y.boxSizingReliable() || n) && "border-box" === E.css(e, "boxSizing", !1, i),
            a = r,
            o = Xe(e, t, i),
            s = "offset" + t[0].toUpperCase() + t.slice(1);
        if (We.test(o)) {
            if (!n) return o;
            o = "auto";
        }
        return (
            ((!y.boxSizingReliable() && r) || (!y.reliableTrDimensions() && A(e, "tr")) || "auto" === o || (!parseFloat(o) && "inline" === E.css(e, "display", !1, i))) &&
                e.getClientRects().length &&
                ((r = "border-box" === E.css(e, "boxSizing", !1, i)), (a = s in e) && (o = e[s])),
            (o = parseFloat(o) || 0) + ot(e, t, n || (r ? "border" : "content"), a, i, o) + "px"
        );
    }
    function lt(e, t, n, i, r) {
        return new lt.prototype.init(e, t, n, i, r);
    }
    E.extend({
        cssHooks: {
            opacity: {
                get: function (e, t) {
                    if (t) {
                        e = Xe(e, "opacity");
                        return "" === e ? "1" : e;
                    }
                },
            },
        },
        cssNumber: {
            animationIterationCount: !0,
            columnCount: !0,
            fillOpacity: !0,
            flexGrow: !0,
            flexShrink: !0,
            fontWeight: !0,
            gridArea: !0,
            gridColumn: !0,
            gridColumnEnd: !0,
            gridColumnStart: !0,
            gridRow: !0,
            gridRowEnd: !0,
            gridRowStart: !0,
            lineHeight: !0,
            opacity: !0,
            order: !0,
            orphans: !0,
            widows: !0,
            zIndex: !0,
            zoom: !0,
        },
        cssProps: {},
        style: function (e, t, n, i) {
            if (e && 3 !== e.nodeType && 8 !== e.nodeType && e.style) {
                var r,
                    a,
                    o,
                    s = _(t),
                    l = nt.test(t),
                    d = e.style;
                if ((l || (t = et(s)), (o = E.cssHooks[t] || E.cssHooks[s]), void 0 === n)) return o && "get" in o && void 0 !== (r = o.get(e, !1, i)) ? r : d[t];
                "string" == (a = typeof n) && (r = te.exec(n)) && r[1] && ((n = se(e, t, r)), (a = "number")),
                    null != n &&
                        n == n &&
                        ("number" !== a || l || (n += (r && r[3]) || (E.cssNumber[s] ? "" : "px")),
                        y.clearCloneStyle || "" !== n || 0 !== t.indexOf("background") || (d[t] = "inherit"),
                        (o && "set" in o && void 0 === (n = o.set(e, n, i))) || (l ? d.setProperty(t, n) : (d[t] = n)));
            }
        },
        css: function (e, t, n, i) {
            var r,
                a = _(t);
            return (
                nt.test(t) || (t = et(a)),
                "normal" === (r = void 0 === (r = (a = E.cssHooks[t] || E.cssHooks[a]) && "get" in a ? a.get(e, !0, n) : r) ? Xe(e, t, i) : r) && t in rt && (r = rt[t]),
                "" === n || n ? ((t = parseFloat(r)), !0 === n || isFinite(t) ? t || 0 : r) : r
            );
        },
    }),
        E.each(["height", "width"], function (e, s) {
            E.cssHooks[s] = {
                get: function (e, t, n) {
                    if (t)
                        return !tt.test(E.css(e, "display")) || (e.getClientRects().length && e.getBoundingClientRect().width)
                            ? st(e, s, n)
                            : ze(e, it, function () {
                                  return st(e, s, n);
                              });
                },
                set: function (e, t, n) {
                    var i,
                        r = Ge(e),
                        a = !y.scrollboxSize() && "absolute" === r.position,
                        o = (a || n) && "border-box" === E.css(e, "boxSizing", !1, r),
                        n = n ? ot(e, s, n, o, r) : 0;
                    return (
                        o && a && (n -= Math.ceil(e["offset" + s[0].toUpperCase() + s.slice(1)] - parseFloat(r[s]) - ot(e, s, "border", !1, r) - 0.5)),
                        n && (i = te.exec(t)) && "px" !== (i[3] || "px") && ((e.style[s] = t), (t = E.css(e, s))),
                        at(0, t, n)
                    );
                },
            };
        }),
        (E.cssHooks.marginLeft = Ue(y.reliableMarginLeft, function (e, t) {
            if (t)
                return (
                    (parseFloat(Xe(e, "marginLeft")) ||
                        e.getBoundingClientRect().left -
                            ze(e, { marginLeft: 0 }, function () {
                                return e.getBoundingClientRect().left;
                            })) + "px"
                );
        })),
        E.each({ margin: "", padding: "", border: "Width" }, function (r, a) {
            (E.cssHooks[r + a] = {
                expand: function (e) {
                    for (var t = 0, n = {}, i = "string" == typeof e ? e.split(" ") : [e]; t < 4; t++) n[r + ne[t] + a] = i[t] || i[t - 2] || i[0];
                    return n;
                },
            }),
                "margin" !== r && (E.cssHooks[r + a].set = at);
        }),
        E.fn.extend({
            css: function (e, t) {
                return R(
                    this,
                    function (e, t, n) {
                        var i,
                            r,
                            a = {},
                            o = 0;
                        if (Array.isArray(t)) {
                            for (i = Ge(e), r = t.length; o < r; o++) a[t[o]] = E.css(e, t[o], !1, i);
                            return a;
                        }
                        return void 0 !== n ? E.style(e, t, n) : E.css(e, t);
                    },
                    e,
                    t,
                    1 < arguments.length
                );
            },
        }),
        (((E.Tween = lt).prototype = {
            constructor: lt,
            init: function (e, t, n, i, r, a) {
                (this.elem = e), (this.prop = n), (this.easing = r || E.easing._default), (this.options = t), (this.start = this.now = this.cur()), (this.end = i), (this.unit = a || (E.cssNumber[n] ? "" : "px"));
            },
            cur: function () {
                var e = lt.propHooks[this.prop];
                return (e && e.get ? e : lt.propHooks._default).get(this);
            },
            run: function (e) {
                var t,
                    n = lt.propHooks[this.prop];
                return (
                    this.options.duration ? (this.pos = t = E.easing[this.easing](e, this.options.duration * e, 0, 1, this.options.duration)) : (this.pos = t = e),
                    (this.now = (this.end - this.start) * t + this.start),
                    this.options.step && this.options.step.call(this.elem, this.now, this),
                    (n && n.set ? n : lt.propHooks._default).set(this),
                    this
                );
            },
        }).init.prototype = lt.prototype),
        ((lt.propHooks = {
            _default: {
                get: function (e) {
                    return 1 !== e.elem.nodeType || (null != e.elem[e.prop] && null == e.elem.style[e.prop]) ? e.elem[e.prop] : (e = E.css(e.elem, e.prop, "")) && "auto" !== e ? e : 0;
                },
                set: function (e) {
                    E.fx.step[e.prop] ? E.fx.step[e.prop](e) : 1 !== e.elem.nodeType || (!E.cssHooks[e.prop] && null == e.elem.style[et(e.prop)]) ? (e.elem[e.prop] = e.now) : E.style(e.elem, e.prop, e.now + e.unit);
                },
            },
        }).scrollTop = lt.propHooks.scrollLeft = {
            set: function (e) {
                e.elem.nodeType && e.elem.parentNode && (e.elem[e.prop] = e.now);
            },
        }),
        (E.easing = {
            linear: function (e) {
                return e;
            },
            swing: function (e) {
                return 0.5 - Math.cos(e * Math.PI) / 2;
            },
            _default: "swing",
        }),
        (E.fx = lt.prototype.init),
        (E.fx.step = {});
    var dt,
        ut,
        ct = /^(?:toggle|show|hide)$/,
        pt = /queueHooks$/;
    function ft() {
        ut && (!1 === S.hidden && C.requestAnimationFrame ? C.requestAnimationFrame(ft) : C.setTimeout(ft, E.fx.interval), E.fx.tick());
    }
    function ht() {
        return (
            C.setTimeout(function () {
                dt = void 0;
            }),
            (dt = Date.now())
        );
    }
    function vt(e, t) {
        var n,
            i = 0,
            r = { height: e };
        for (t = t ? 1 : 0; i < 4; i += 2 - t) r["margin" + (n = ne[i])] = r["padding" + n] = e;
        return t && (r.opacity = r.width = e), r;
    }
    function mt(e, t, n) {
        for (var i, r = (gt.tweeners[t] || []).concat(gt.tweeners["*"]), a = 0, o = r.length; a < o; a++) if ((i = r[a].call(n, t, e))) return i;
    }
    function gt(r, e, t) {
        var n,
            a,
            i = 0,
            o = gt.prefilters.length,
            s = E.Deferred().always(function () {
                delete l.elem;
            }),
            l = function () {
                if (a) return !1;
                for (var e = dt || ht(), e = Math.max(0, d.startTime + d.duration - e), t = 1 - (e / d.duration || 0), n = 0, i = d.tweens.length; n < i; n++) d.tweens[n].run(t);
                return s.notifyWith(r, [d, t, e]), t < 1 && i ? e : (i || s.notifyWith(r, [d, 1, 0]), s.resolveWith(r, [d]), !1);
            },
            d = s.promise({
                elem: r,
                props: E.extend({}, e),
                opts: E.extend(!0, { specialEasing: {}, easing: E.easing._default }, t),
                originalProperties: e,
                originalOptions: t,
                startTime: dt || ht(),
                duration: t.duration,
                tweens: [],
                createTween: function (e, t) {
                    e = E.Tween(r, d.opts, e, t, d.opts.specialEasing[e] || d.opts.easing);
                    return d.tweens.push(e), e;
                },
                stop: function (e) {
                    var t = 0,
                        n = e ? d.tweens.length : 0;
                    if (a) return this;
                    for (a = !0; t < n; t++) d.tweens[t].run(1);
                    return e ? (s.notifyWith(r, [d, 1, 0]), s.resolveWith(r, [d, e])) : s.rejectWith(r, [d, e]), this;
                },
            }),
            u = d.props;
        for (
            (function (e, t) {
                var n, i, r, a, o;
                for (n in e)
                    if (((r = t[(i = _(n))]), (a = e[n]), Array.isArray(a) && ((r = a[1]), (a = e[n] = a[0])), n !== i && ((e[i] = a), delete e[n]), (o = E.cssHooks[i]) && ("expand" in o)))
                        for (n in ((a = o.expand(a)), delete e[i], a)) (n in e) || ((e[n] = a[n]), (t[n] = r));
                    else t[i] = r;
            })(u, d.opts.specialEasing);
            i < o;
            i++
        )
            if ((n = gt.prefilters[i].call(d, r, u, d.opts))) return x(n.stop) && (E._queueHooks(d.elem, d.opts.queue).stop = n.stop.bind(n)), n;
        return (
            E.map(u, mt, d),
            x(d.opts.start) && d.opts.start.call(r, d),
            d.progress(d.opts.progress).done(d.opts.done, d.opts.complete).fail(d.opts.fail).always(d.opts.always),
            E.fx.timer(E.extend(l, { elem: r, anim: d, queue: d.opts.queue })),
            d
        );
    }
    (E.Animation = E.extend(gt, {
        tweeners: {
            "*": [
                function (e, t) {
                    var n = this.createTween(e, t);
                    return se(n.elem, e, te.exec(t), n), n;
                },
            ],
        },
        tweener: function (e, t) {
            for (var n, i = 0, r = (e = x(e) ? ((t = e), ["*"]) : e.match(z)).length; i < r; i++) (n = e[i]), (gt.tweeners[n] = gt.tweeners[n] || []), gt.tweeners[n].unshift(t);
        },
        prefilters: [
            function (e, t, n) {
                var i,
                    r,
                    a,
                    o,
                    s,
                    l,
                    d,
                    u = "width" in t || "height" in t,
                    c = this,
                    p = {},
                    f = e.style,
                    h = e.nodeType && oe(e),
                    v = Y.get(e, "fxshow");
                for (i in (n.queue ||
                    (null == (o = E._queueHooks(e, "fx")).unqueued &&
                        ((o.unqueued = 0),
                        (s = o.empty.fire),
                        (o.empty.fire = function () {
                            o.unqueued || s();
                        })),
                    o.unqueued++,
                    c.always(function () {
                        c.always(function () {
                            o.unqueued--, E.queue(e, "fx").length || o.empty.fire();
                        });
                    })),
                t))
                    if (((r = t[i]), ct.test(r))) {
                        if ((delete t[i], (a = a || "toggle" === r), r === (h ? "hide" : "show"))) {
                            if ("show" !== r || !v || void 0 === v[i]) continue;
                            h = !0;
                        }
                        p[i] = (v && v[i]) || E.style(e, i);
                    }
                if ((l = !E.isEmptyObject(t)) || !E.isEmptyObject(p))
                    for (i in (u &&
                        1 === e.nodeType &&
                        ((n.overflow = [f.overflow, f.overflowX, f.overflowY]),
                        null == (d = v && v.display) && (d = Y.get(e, "display")),
                        "none" === (u = E.css(e, "display")) && (d ? (u = d) : (de([e], !0), (d = e.style.display || d), (u = E.css(e, "display")), de([e]))),
                        ("inline" === u || ("inline-block" === u && null != d)) &&
                            "none" === E.css(e, "float") &&
                            (l ||
                                (c.done(function () {
                                    f.display = d;
                                }),
                                null == d && ((u = f.display), (d = "none" === u ? "" : u))),
                            (f.display = "inline-block"))),
                    n.overflow &&
                        ((f.overflow = "hidden"),
                        c.always(function () {
                            (f.overflow = n.overflow[0]), (f.overflowX = n.overflow[1]), (f.overflowY = n.overflow[2]);
                        })),
                    (l = !1),
                    p))
                        l ||
                            (v ? "hidden" in v && (h = v.hidden) : (v = Y.access(e, "fxshow", { display: d })),
                            a && (v.hidden = !h),
                            h && de([e], !0),
                            c.done(function () {
                                for (i in (h || de([e]), Y.remove(e, "fxshow"), p)) E.style(e, i, p[i]);
                            })),
                            (l = mt(h ? v[i] : 0, i, c)),
                            i in v || ((v[i] = l.start), h && ((l.end = l.start), (l.start = 0)));
            },
        ],
        prefilter: function (e, t) {
            t ? gt.prefilters.unshift(e) : gt.prefilters.push(e);
        },
    })),
        (E.speed = function (e, t, n) {
            var i = e && "object" == typeof e ? E.extend({}, e) : { complete: n || (!n && t) || (x(e) && e), duration: e, easing: (n && t) || (t && !x(t) && t) };
            return (
                E.fx.off ? (i.duration = 0) : "number" != typeof i.duration && (i.duration in E.fx.speeds ? (i.duration = E.fx.speeds[i.duration]) : (i.duration = E.fx.speeds._default)),
                (null != i.queue && !0 !== i.queue) || (i.queue = "fx"),
                (i.old = i.complete),
                (i.complete = function () {
                    x(i.old) && i.old.call(this), i.queue && E.dequeue(this, i.queue);
                }),
                i
            );
        }),
        E.fn.extend({
            fadeTo: function (e, t, n, i) {
                return this.filter(oe).css("opacity", 0).show().end().animate({ opacity: t }, e, n, i);
            },
            animate: function (t, e, n, i) {
                var r = E.isEmptyObject(t),
                    a = E.speed(e, n, i),
                    i = function () {
                        var e = gt(this, E.extend({}, t), a);
                        (r || Y.get(this, "finish")) && e.stop(!0);
                    };
                return (i.finish = i), r || !1 === a.queue ? this.each(i) : this.queue(a.queue, i);
            },
            stop: function (r, e, a) {
                function o(e) {
                    var t = e.stop;
                    delete e.stop, t(a);
                }
                return (
                    "string" != typeof r && ((a = e), (e = r), (r = void 0)),
                    e && this.queue(r || "fx", []),
                    this.each(function () {
                        var e = !0,
                            t = null != r && r + "queueHooks",
                            n = E.timers,
                            i = Y.get(this);
                        if (t) i[t] && i[t].stop && o(i[t]);
                        else for (t in i) i[t] && i[t].stop && pt.test(t) && o(i[t]);
                        for (t = n.length; t--; ) n[t].elem !== this || (null != r && n[t].queue !== r) || (n[t].anim.stop(a), (e = !1), n.splice(t, 1));
                        (!e && a) || E.dequeue(this, r);
                    })
                );
            },
            finish: function (o) {
                return (
                    !1 !== o && (o = o || "fx"),
                    this.each(function () {
                        var e,
                            t = Y.get(this),
                            n = t[o + "queue"],
                            i = t[o + "queueHooks"],
                            r = E.timers,
                            a = n ? n.length : 0;
                        for (t.finish = !0, E.queue(this, o, []), i && i.stop && i.stop.call(this, !0), e = r.length; e--; ) r[e].elem === this && r[e].queue === o && (r[e].anim.stop(!0), r.splice(e, 1));
                        for (e = 0; e < a; e++) n[e] && n[e].finish && n[e].finish.call(this);
                        delete t.finish;
                    })
                );
            },
        }),
        E.each(["toggle", "show", "hide"], function (e, i) {
            var r = E.fn[i];
            E.fn[i] = function (e, t, n) {
                return null == e || "boolean" == typeof e ? r.apply(this, arguments) : this.animate(vt(i, !0), e, t, n);
            };
        }),
        E.each({ slideDown: vt("show"), slideUp: vt("hide"), slideToggle: vt("toggle"), fadeIn: { opacity: "show" }, fadeOut: { opacity: "hide" }, fadeToggle: { opacity: "toggle" } }, function (e, i) {
            E.fn[e] = function (e, t, n) {
                return this.animate(i, e, t, n);
            };
        }),
        (E.timers = []),
        (E.fx.tick = function () {
            var e,
                t = 0,
                n = E.timers;
            for (dt = Date.now(); t < n.length; t++) (e = n[t])() || n[t] !== e || n.splice(t--, 1);
            n.length || E.fx.stop(), (dt = void 0);
        }),
        (E.fx.timer = function (e) {
            E.timers.push(e), E.fx.start();
        }),
        (E.fx.interval = 13),
        (E.fx.start = function () {
            ut || ((ut = !0), ft());
        }),
        (E.fx.stop = function () {
            ut = null;
        }),
        (E.fx.speeds = { slow: 600, fast: 200, _default: 400 }),
        (E.fn.delay = function (i, e) {
            return (
                (i = (E.fx && E.fx.speeds[i]) || i),
                (e = e || "fx"),
                this.queue(e, function (e, t) {
                    var n = C.setTimeout(e, i);
                    t.stop = function () {
                        C.clearTimeout(n);
                    };
                })
            );
        }),
        (c = S.createElement("input")),
        (ee = S.createElement("select").appendChild(S.createElement("option"))),
        (c.type = "checkbox"),
        (y.checkOn = "" !== c.value),
        (y.optSelected = ee.selected),
        ((c = S.createElement("input")).value = "t"),
        (c.type = "radio"),
        (y.radioValue = "t" === c.value);
    var yt,
        xt = E.expr.attrHandle;
    E.fn.extend({
        attr: function (e, t) {
            return R(this, E.attr, e, t, 1 < arguments.length);
        },
        removeAttr: function (e) {
            return this.each(function () {
                E.removeAttr(this, e);
            });
        },
    }),
        E.extend({
            attr: function (e, t, n) {
                var i,
                    r,
                    a = e.nodeType;
                if (3 !== a && 8 !== a && 2 !== a)
                    return void 0 === e.getAttribute
                        ? E.prop(e, t, n)
                        : ((1 === a && E.isXMLDoc(e)) || (r = E.attrHooks[t.toLowerCase()] || (E.expr.match.bool.test(t) ? yt : void 0)),
                          void 0 !== n
                              ? null === n
                                  ? void E.removeAttr(e, t)
                                  : r && "set" in r && void 0 !== (i = r.set(e, n, t))
                                  ? i
                                  : (e.setAttribute(t, n + ""), n)
                              : !(r && "get" in r && null !== (i = r.get(e, t))) && null == (i = E.find.attr(e, t))
                              ? void 0
                              : i);
            },
            attrHooks: {
                type: {
                    set: function (e, t) {
                        if (!y.radioValue && "radio" === t && A(e, "input")) {
                            var n = e.value;
                            return e.setAttribute("type", t), n && (e.value = n), t;
                        }
                    },
                },
            },
            removeAttr: function (e, t) {
                var n,
                    i = 0,
                    r = t && t.match(z);
                if (r && 1 === e.nodeType) for (; (n = r[i++]); ) e.removeAttribute(n);
            },
        }),
        (yt = {
            set: function (e, t, n) {
                return !1 === t ? E.removeAttr(e, n) : e.setAttribute(n, n), n;
            },
        }),
        E.each(E.expr.match.bool.source.match(/\w+/g), function (e, t) {
            var o = xt[t] || E.find.attr;
            xt[t] = function (e, t, n) {
                var i,
                    r,
                    a = t.toLowerCase();
                return n || ((r = xt[a]), (xt[a] = i), (i = null != o(e, t, n) ? a : null), (xt[a] = r)), i;
            };
        });
    var wt = /^(?:input|select|textarea|button)$/i,
        bt = /^(?:a|area)$/i;
    function Tt(e) {
        return (e.match(z) || []).join(" ");
    }
    function Ct(e) {
        return (e.getAttribute && e.getAttribute("class")) || "";
    }
    function St(e) {
        return Array.isArray(e) ? e : ("string" == typeof e && e.match(z)) || [];
    }
    E.fn.extend({
        prop: function (e, t) {
            return R(this, E.prop, e, t, 1 < arguments.length);
        },
        removeProp: function (e) {
            return this.each(function () {
                delete this[E.propFix[e] || e];
            });
        },
    }),
        E.extend({
            prop: function (e, t, n) {
                var i,
                    r,
                    a = e.nodeType;
                if (3 !== a && 8 !== a && 2 !== a)
                    return (
                        (1 === a && E.isXMLDoc(e)) || ((t = E.propFix[t] || t), (r = E.propHooks[t])),
                        void 0 !== n ? (r && "set" in r && void 0 !== (i = r.set(e, n, t)) ? i : (e[t] = n)) : r && "get" in r && null !== (i = r.get(e, t)) ? i : e[t]
                    );
            },
            propHooks: {
                tabIndex: {
                    get: function (e) {
                        var t = E.find.attr(e, "tabindex");
                        return t ? parseInt(t, 10) : wt.test(e.nodeName) || (bt.test(e.nodeName) && e.href) ? 0 : -1;
                    },
                },
            },
            propFix: { for: "htmlFor", class: "className" },
        }),
        y.optSelected ||
            (E.propHooks.selected = {
                get: function (e) {
                    e = e.parentNode;
                    return e && e.parentNode && e.parentNode.selectedIndex, null;
                },
                set: function (e) {
                    e = e.parentNode;
                    e && (e.selectedIndex, e.parentNode && e.parentNode.selectedIndex);
                },
            }),
        E.each(["tabIndex", "readOnly", "maxLength", "cellSpacing", "cellPadding", "rowSpan", "colSpan", "useMap", "frameBorder", "contentEditable"], function () {
            E.propFix[this.toLowerCase()] = this;
        }),
        E.fn.extend({
            addClass: function (t) {
                var e,
                    n,
                    i,
                    r,
                    a,
                    o,
                    s = 0;
                if (x(t))
                    return this.each(function (e) {
                        E(this).addClass(t.call(this, e, Ct(this)));
                    });
                if ((e = St(t)).length)
                    for (; (n = this[s++]); )
                        if (((o = Ct(n)), (i = 1 === n.nodeType && " " + Tt(o) + " "))) {
                            for (a = 0; (r = e[a++]); ) i.indexOf(" " + r + " ") < 0 && (i += r + " ");
                            o !== (o = Tt(i)) && n.setAttribute("class", o);
                        }
                return this;
            },
            removeClass: function (t) {
                var e,
                    n,
                    i,
                    r,
                    a,
                    o,
                    s = 0;
                if (x(t))
                    return this.each(function (e) {
                        E(this).removeClass(t.call(this, e, Ct(this)));
                    });
                if (!arguments.length) return this.attr("class", "");
                if ((e = St(t)).length)
                    for (; (n = this[s++]); )
                        if (((o = Ct(n)), (i = 1 === n.nodeType && " " + Tt(o) + " "))) {
                            for (a = 0; (r = e[a++]); ) for (; -1 < i.indexOf(" " + r + " "); ) i = i.replace(" " + r + " ", " ");
                            o !== (o = Tt(i)) && n.setAttribute("class", o);
                        }
                return this;
            },
            toggleClass: function (r, t) {
                var a = typeof r,
                    o = "string" == a || Array.isArray(r);
                return "boolean" == typeof t && o
                    ? t
                        ? this.addClass(r)
                        : this.removeClass(r)
                    : x(r)
                    ? this.each(function (e) {
                          E(this).toggleClass(r.call(this, e, Ct(this), t), t);
                      })
                    : this.each(function () {
                          var e, t, n, i;
                          if (o) for (t = 0, n = E(this), i = St(r); (e = i[t++]); ) n.hasClass(e) ? n.removeClass(e) : n.addClass(e);
                          else (void 0 !== r && "boolean" != a) || ((e = Ct(this)) && Y.set(this, "__className__", e), this.setAttribute && this.setAttribute("class", (!e && !1 !== r && Y.get(this, "__className__")) || ""));
                      });
            },
            hasClass: function (e) {
                for (var t, n = 0, i = " " + e + " "; (t = this[n++]); ) if (1 === t.nodeType && -1 < (" " + Tt(Ct(t)) + " ").indexOf(i)) return !0;
                return !1;
            },
        });
    var Et = /\r/g;
    E.fn.extend({
        val: function (t) {
            var n,
                e,
                i,
                r = this[0];
            return arguments.length
                ? ((i = x(t)),
                  this.each(function (e) {
                      1 === this.nodeType &&
                          (null == (e = i ? t.call(this, e, E(this).val()) : t)
                              ? (e = "")
                              : "number" == typeof e
                              ? (e += "")
                              : Array.isArray(e) &&
                                (e = E.map(e, function (e) {
                                    return null == e ? "" : e + "";
                                })),
                          ((n = E.valHooks[this.type] || E.valHooks[this.nodeName.toLowerCase()]) && "set" in n && void 0 !== n.set(this, e, "value")) || (this.value = e));
                  }))
                : r
                ? (n = E.valHooks[r.type] || E.valHooks[r.nodeName.toLowerCase()]) && "get" in n && void 0 !== (e = n.get(r, "value"))
                    ? e
                    : "string" == typeof (e = r.value)
                    ? e.replace(Et, "")
                    : null == e
                    ? ""
                    : e
                : void 0;
        },
    }),
        E.extend({
            valHooks: {
                option: {
                    get: function (e) {
                        var t = E.find.attr(e, "value");
                        return null != t ? t : Tt(E.text(e));
                    },
                },
                select: {
                    get: function (e) {
                        for (var t, n = e.options, i = e.selectedIndex, r = "select-one" === e.type, a = r ? null : [], o = r ? i + 1 : n.length, s = i < 0 ? o : r ? i : 0; s < o; s++)
                            if (((t = n[s]).selected || s === i) && !t.disabled && (!t.parentNode.disabled || !A(t.parentNode, "optgroup"))) {
                                if (((t = E(t).val()), r)) return t;
                                a.push(t);
                            }
                        return a;
                    },
                    set: function (e, t) {
                        for (var n, i, r = e.options, a = E.makeArray(t), o = r.length; o--; ) ((i = r[o]).selected = -1 < E.inArray(E.valHooks.option.get(i), a)) && (n = !0);
                        return n || (e.selectedIndex = -1), a;
                    },
                },
            },
        }),
        E.each(["radio", "checkbox"], function () {
            (E.valHooks[this] = {
                set: function (e, t) {
                    if (Array.isArray(t)) return (e.checked = -1 < E.inArray(E(e).val(), t));
                },
            }),
                y.checkOn ||
                    (E.valHooks[this].get = function (e) {
                        return null === e.getAttribute("value") ? "on" : e.value;
                    });
        }),
        (y.focusin = "onfocusin" in C);
    function kt(e) {
        e.stopPropagation();
    }
    var At = /^(?:focusinfocus|focusoutblur)$/;
    E.extend(E.event, {
        trigger: function (e, t, n, i) {
            var r,
                a,
                o,
                s,
                l,
                d,
                u,
                c = [n || S],
                p = g.call(e, "type") ? e.type : e,
                f = g.call(e, "namespace") ? e.namespace.split(".") : [],
                h = (u = a = n = n || S);
            if (
                3 !== n.nodeType &&
                8 !== n.nodeType &&
                !At.test(p + E.event.triggered) &&
                (-1 < p.indexOf(".") && ((p = (f = p.split(".")).shift()), f.sort()),
                (s = p.indexOf(":") < 0 && "on" + p),
                ((e = e[E.expando] ? e : new E.Event(p, "object" == typeof e && e)).isTrigger = i ? 2 : 3),
                (e.namespace = f.join(".")),
                (e.rnamespace = e.namespace ? new RegExp("(^|\\.)" + f.join("\\.(?:.*\\.|)") + "(\\.|$)") : null),
                (e.result = void 0),
                e.target || (e.target = n),
                (t = null == t ? [e] : E.makeArray(t, [e])),
                (d = E.event.special[p] || {}),
                i || !d.trigger || !1 !== d.trigger.apply(n, t))
            ) {
                if (!i && !d.noBubble && !v(n)) {
                    for (o = d.delegateType || p, At.test(o + p) || (h = h.parentNode); h; h = h.parentNode) c.push(h), (a = h);
                    a === (n.ownerDocument || S) && c.push(a.defaultView || a.parentWindow || C);
                }
                for (r = 0; (h = c[r++]) && !e.isPropagationStopped(); )
                    (u = h),
                        (e.type = 1 < r ? o : d.bindType || p),
                        (l = (Y.get(h, "events") || Object.create(null))[e.type] && Y.get(h, "handle")) && l.apply(h, t),
                        (l = s && h[s]) && l.apply && X(h) && ((e.result = l.apply(h, t)), !1 === e.result && e.preventDefault());
                return (
                    (e.type = p),
                    i ||
                        e.isDefaultPrevented() ||
                        (d._default && !1 !== d._default.apply(c.pop(), t)) ||
                        !X(n) ||
                        (s &&
                            x(n[p]) &&
                            !v(n) &&
                            ((a = n[s]) && (n[s] = null),
                            (E.event.triggered = p),
                            e.isPropagationStopped() && u.addEventListener(p, kt),
                            n[p](),
                            e.isPropagationStopped() && u.removeEventListener(p, kt),
                            (E.event.triggered = void 0),
                            a && (n[s] = a))),
                    e.result
                );
            }
        },
        simulate: function (e, t, n) {
            e = E.extend(new E.Event(), n, { type: e, isSimulated: !0 });
            E.event.trigger(e, null, t);
        },
    }),
        E.fn.extend({
            trigger: function (e, t) {
                return this.each(function () {
                    E.event.trigger(e, t, this);
                });
            },
            triggerHandler: function (e, t) {
                var n = this[0];
                if (n) return E.event.trigger(e, t, n, !0);
            },
        }),
        y.focusin ||
            E.each({ focus: "focusin", blur: "focusout" }, function (n, i) {
                function r(e) {
                    E.event.simulate(i, e.target, E.event.fix(e));
                }
                E.event.special[i] = {
                    setup: function () {
                        var e = this.ownerDocument || this.document || this,
                            t = Y.access(e, i);
                        t || e.addEventListener(n, r, !0), Y.access(e, i, (t || 0) + 1);
                    },
                    teardown: function () {
                        var e = this.ownerDocument || this.document || this,
                            t = Y.access(e, i) - 1;
                        t ? Y.access(e, i, t) : (e.removeEventListener(n, r, !0), Y.remove(e, i));
                    },
                };
            });
    var Pt = C.location,
        Lt = { guid: Date.now() },
        Mt = /\?/;
    E.parseXML = function (e) {
        var t;
        if (!e || "string" != typeof e) return null;
        try {
            t = new C.DOMParser().parseFromString(e, "text/xml");
        } catch (e) {
            t = void 0;
        }
        return (t && !t.getElementsByTagName("parsererror").length) || E.error("Invalid XML: " + e), t;
    };
    var Dt = /\[\]$/,
        $t = /\r?\n/g,
        It = /^(?:submit|button|image|reset|file)$/i,
        Nt = /^(?:input|select|textarea|keygen)/i;
    (E.param = function (e, t) {
        function n(e, t) {
            (t = x(t) ? t() : t), (r[r.length] = encodeURIComponent(e) + "=" + encodeURIComponent(null == t ? "" : t));
        }
        var i,
            r = [];
        if (null == e) return "";
        if (Array.isArray(e) || (e.jquery && !E.isPlainObject(e)))
            E.each(e, function () {
                n(this.name, this.value);
            });
        else
            for (i in e)
                !(function n(i, e, r, a) {
                    if (Array.isArray(e))
                        E.each(e, function (e, t) {
                            r || Dt.test(i) ? a(i, t) : n(i + "[" + ("object" == typeof t && null != t ? e : "") + "]", t, r, a);
                        });
                    else if (r || "object" !== h(e)) a(i, e);
                    else for (var t in e) n(i + "[" + t + "]", e[t], r, a);
                })(i, e[i], t, n);
        return r.join("&");
    }),
        E.fn.extend({
            serialize: function () {
                return E.param(this.serializeArray());
            },
            serializeArray: function () {
                return this.map(function () {
                    var e = E.prop(this, "elements");
                    return e ? E.makeArray(e) : this;
                })
                    .filter(function () {
                        var e = this.type;
                        return this.name && !E(this).is(":disabled") && Nt.test(this.nodeName) && !It.test(e) && (this.checked || !ue.test(e));
                    })
                    .map(function (e, t) {
                        var n = E(this).val();
                        return null == n
                            ? null
                            : Array.isArray(n)
                            ? E.map(n, function (e) {
                                  return { name: t.name, value: e.replace($t, "\r\n") };
                              })
                            : { name: t.name, value: n.replace($t, "\r\n") };
                    })
                    .get();
            },
        });
    var zt = /%20/g,
        Ot = /#.*$/,
        jt = /([?&])_=[^&]*/,
        qt = /^(.*?):[ \t]*([^\r\n]*)$/gm,
        Ht = /^(?:GET|HEAD)$/,
        Bt = /^\/\//,
        Ft = {},
        Rt = {},
        Vt = "*/".concat("*"),
        Wt = S.createElement("a");
    function Gt(a) {
        return function (e, t) {
            "string" != typeof e && ((t = e), (e = "*"));
            var n,
                i = 0,
                r = e.toLowerCase().match(z) || [];
            if (x(t)) for (; (n = r[i++]); ) "+" === n[0] ? ((n = n.slice(1) || "*"), (a[n] = a[n] || []).unshift(t)) : (a[n] = a[n] || []).push(t);
        };
    }
    function _t(t, i, r, a) {
        var o = {},
            s = t === Rt;
        function l(e) {
            var n;
            return (
                (o[e] = !0),
                E.each(t[e] || [], function (e, t) {
                    t = t(i, r, a);
                    return "string" != typeof t || s || o[t] ? (s ? !(n = t) : void 0) : (i.dataTypes.unshift(t), l(t), !1);
                }),
                n
            );
        }
        return l(i.dataTypes[0]) || (!o["*"] && l("*"));
    }
    function Xt(e, t) {
        var n,
            i,
            r = E.ajaxSettings.flatOptions || {};
        for (n in t) void 0 !== t[n] && ((r[n] ? e : (i = i || {}))[n] = t[n]);
        return i && E.extend(!0, e, i), e;
    }
    (Wt.href = Pt.href),
        E.extend({
            active: 0,
            lastModified: {},
            etag: {},
            ajaxSettings: {
                url: Pt.href,
                type: "GET",
                isLocal: /^(?:about|app|app-storage|.+-extension|file|res|widget):$/.test(Pt.protocol),
                global: !0,
                processData: !0,
                async: !0,
                contentType: "application/x-www-form-urlencoded; charset=UTF-8",
                accepts: { "*": Vt, text: "text/plain", html: "text/html", xml: "application/xml, text/xml", json: "application/json, text/javascript" },
                contents: { xml: /\bxml\b/, html: /\bhtml/, json: /\bjson\b/ },
                responseFields: { xml: "responseXML", text: "responseText", json: "responseJSON" },
                converters: { "* text": String, "text html": !0, "text json": JSON.parse, "text xml": E.parseXML },
                flatOptions: { url: !0, context: !0 },
            },
            ajaxSetup: function (e, t) {
                return t ? Xt(Xt(e, E.ajaxSettings), t) : Xt(E.ajaxSettings, e);
            },
            ajaxPrefilter: Gt(Ft),
            ajaxTransport: Gt(Rt),
            ajax: function (e, t) {
                "object" == typeof e && ((t = e), (e = void 0)), (t = t || {});
                var l,
                    d,
                    u,
                    n,
                    c,
                    i,
                    p,
                    f,
                    r,
                    a,
                    h = E.ajaxSetup({}, t),
                    v = h.context || h,
                    m = h.context && (v.nodeType || v.jquery) ? E(v) : E.event,
                    g = E.Deferred(),
                    y = E.Callbacks("once memory"),
                    x = h.statusCode || {},
                    o = {},
                    s = {},
                    w = "canceled",
                    b = {
                        readyState: 0,
                        getResponseHeader: function (e) {
                            var t;
                            if (p) {
                                if (!n) for (n = {}; (t = qt.exec(u)); ) n[t[1].toLowerCase() + " "] = (n[t[1].toLowerCase() + " "] || []).concat(t[2]);
                                t = n[e.toLowerCase() + " "];
                            }
                            return null == t ? null : t.join(", ");
                        },
                        getAllResponseHeaders: function () {
                            return p ? u : null;
                        },
                        setRequestHeader: function (e, t) {
                            return null == p && ((e = s[e.toLowerCase()] = s[e.toLowerCase()] || e), (o[e] = t)), this;
                        },
                        overrideMimeType: function (e) {
                            return null == p && (h.mimeType = e), this;
                        },
                        statusCode: function (e) {
                            if (e)
                                if (p) b.always(e[b.status]);
                                else for (var t in e) x[t] = [x[t], e[t]];
                            return this;
                        },
                        abort: function (e) {
                            e = e || w;
                            return l && l.abort(e), T(0, e), this;
                        },
                    };
                if (
                    (g.promise(b),
                    (h.url = ((e || h.url || Pt.href) + "").replace(Bt, Pt.protocol + "//")),
                    (h.type = t.method || t.type || h.method || h.type),
                    (h.dataTypes = (h.dataType || "*").toLowerCase().match(z) || [""]),
                    null == h.crossDomain)
                ) {
                    i = S.createElement("a");
                    try {
                        (i.href = h.url), (i.href = i.href), (h.crossDomain = Wt.protocol + "//" + Wt.host != i.protocol + "//" + i.host);
                    } catch (e) {
                        h.crossDomain = !0;
                    }
                }
                if ((h.data && h.processData && "string" != typeof h.data && (h.data = E.param(h.data, h.traditional)), _t(Ft, h, t, b), p)) return b;
                for (r in ((f = E.event && h.global) && 0 == E.active++ && E.event.trigger("ajaxStart"),
                (h.type = h.type.toUpperCase()),
                (h.hasContent = !Ht.test(h.type)),
                (d = h.url.replace(Ot, "")),
                h.hasContent
                    ? h.data && h.processData && 0 === (h.contentType || "").indexOf("application/x-www-form-urlencoded") && (h.data = h.data.replace(zt, "+"))
                    : ((a = h.url.slice(d.length)),
                      h.data && (h.processData || "string" == typeof h.data) && ((d += (Mt.test(d) ? "&" : "?") + h.data), delete h.data),
                      !1 === h.cache && ((d = d.replace(jt, "$1")), (a = (Mt.test(d) ? "&" : "?") + "_=" + Lt.guid++ + a)),
                      (h.url = d + a)),
                h.ifModified && (E.lastModified[d] && b.setRequestHeader("If-Modified-Since", E.lastModified[d]), E.etag[d] && b.setRequestHeader("If-None-Match", E.etag[d])),
                ((h.data && h.hasContent && !1 !== h.contentType) || t.contentType) && b.setRequestHeader("Content-Type", h.contentType),
                b.setRequestHeader("Accept", h.dataTypes[0] && h.accepts[h.dataTypes[0]] ? h.accepts[h.dataTypes[0]] + ("*" !== h.dataTypes[0] ? ", " + Vt + "; q=0.01" : "") : h.accepts["*"]),
                h.headers))
                    b.setRequestHeader(r, h.headers[r]);
                if (h.beforeSend && (!1 === h.beforeSend.call(v, b, h) || p)) return b.abort();
                if (((w = "abort"), y.add(h.complete), b.done(h.success), b.fail(h.error), (l = _t(Rt, h, t, b)))) {
                    if (((b.readyState = 1), f && m.trigger("ajaxSend", [b, h]), p)) return b;
                    h.async &&
                        0 < h.timeout &&
                        (c = C.setTimeout(function () {
                            b.abort("timeout");
                        }, h.timeout));
                    try {
                        (p = !1), l.send(o, T);
                    } catch (e) {
                        if (p) throw e;
                        T(-1, e);
                    }
                } else T(-1, "No Transport");
                function T(e, t, n, i) {
                    var r,
                        a,
                        o,
                        s = t;
                    p ||
                        ((p = !0),
                        c && C.clearTimeout(c),
                        (l = void 0),
                        (u = i || ""),
                        (b.readyState = 0 < e ? 4 : 0),
                        (i = (200 <= e && e < 300) || 304 === e),
                        n &&
                            (o = (function (e, t, n) {
                                for (var i, r, a, o, s = e.contents, l = e.dataTypes; "*" === l[0]; ) l.shift(), void 0 === i && (i = e.mimeType || t.getResponseHeader("Content-Type"));
                                if (i)
                                    for (r in s)
                                        if (s[r] && s[r].test(i)) {
                                            l.unshift(r);
                                            break;
                                        }
                                if (l[0] in n) a = l[0];
                                else {
                                    for (r in n) {
                                        if (!l[0] || e.converters[r + " " + l[0]]) {
                                            a = r;
                                            break;
                                        }
                                        o = o || r;
                                    }
                                    a = a || o;
                                }
                                if (a) return a !== l[0] && l.unshift(a), n[a];
                            })(h, b, n)),
                        !i && -1 < E.inArray("script", h.dataTypes) && (h.converters["text script"] = function () {}),
                        (o = (function (e, t, n, i) {
                            var r,
                                a,
                                o,
                                s,
                                l,
                                d = {},
                                u = e.dataTypes.slice();
                            if (u[1]) for (o in e.converters) d[o.toLowerCase()] = e.converters[o];
                            for (a = u.shift(); a; )
                                if ((e.responseFields[a] && (n[e.responseFields[a]] = t), !l && i && e.dataFilter && (t = e.dataFilter(t, e.dataType)), (l = a), (a = u.shift())))
                                    if ("*" === a) a = l;
                                    else if ("*" !== l && l !== a) {
                                        if (!(o = d[l + " " + a] || d["* " + a]))
                                            for (r in d)
                                                if ((s = r.split(" "))[1] === a && (o = d[l + " " + s[0]] || d["* " + s[0]])) {
                                                    !0 === o ? (o = d[r]) : !0 !== d[r] && ((a = s[0]), u.unshift(s[1]));
                                                    break;
                                                }
                                        if (!0 !== o)
                                            if (o && e.throws) t = o(t);
                                            else
                                                try {
                                                    t = o(t);
                                                } catch (e) {
                                                    return { state: "parsererror", error: o ? e : "No conversion from " + l + " to " + a };
                                                }
                                    }
                            return { state: "success", data: t };
                        })(h, o, b, i)),
                        i
                            ? (h.ifModified && ((n = b.getResponseHeader("Last-Modified")) && (E.lastModified[d] = n), (n = b.getResponseHeader("etag")) && (E.etag[d] = n)),
                              204 === e || "HEAD" === h.type ? (s = "nocontent") : 304 === e ? (s = "notmodified") : ((s = o.state), (r = o.data), (i = !(a = o.error))))
                            : ((a = s), (!e && s) || ((s = "error"), e < 0 && (e = 0))),
                        (b.status = e),
                        (b.statusText = (t || s) + ""),
                        i ? g.resolveWith(v, [r, s, b]) : g.rejectWith(v, [b, s, a]),
                        b.statusCode(x),
                        (x = void 0),
                        f && m.trigger(i ? "ajaxSuccess" : "ajaxError", [b, h, i ? r : a]),
                        y.fireWith(v, [b, s]),
                        f && (m.trigger("ajaxComplete", [b, h]), --E.active || E.event.trigger("ajaxStop")));
                }
                return b;
            },
            getJSON: function (e, t, n) {
                return E.get(e, t, n, "json");
            },
            getScript: function (e, t) {
                return E.get(e, void 0, t, "script");
            },
        }),
        E.each(["get", "post"], function (e, r) {
            E[r] = function (e, t, n, i) {
                return x(t) && ((i = i || n), (n = t), (t = void 0)), E.ajax(E.extend({ url: e, type: r, dataType: i, data: t, success: n }, E.isPlainObject(e) && e));
            };
        }),
        E.ajaxPrefilter(function (e) {
            for (var t in e.headers) "content-type" === t.toLowerCase() && (e.contentType = e.headers[t] || "");
        }),
        (E._evalUrl = function (e, t, n) {
            return E.ajax({
                url: e,
                type: "GET",
                dataType: "script",
                cache: !0,
                async: !1,
                global: !1,
                converters: { "text script": function () {} },
                dataFilter: function (e) {
                    E.globalEval(e, t, n);
                },
            });
        }),
        E.fn.extend({
            wrapAll: function (e) {
                return (
                    this[0] &&
                        (x(e) && (e = e.call(this[0])),
                        (e = E(e, this[0].ownerDocument).eq(0).clone(!0)),
                        this[0].parentNode && e.insertBefore(this[0]),
                        e
                            .map(function () {
                                for (var e = this; e.firstElementChild; ) e = e.firstElementChild;
                                return e;
                            })
                            .append(this)),
                    this
                );
            },
            wrapInner: function (n) {
                return x(n)
                    ? this.each(function (e) {
                          E(this).wrapInner(n.call(this, e));
                      })
                    : this.each(function () {
                          var e = E(this),
                              t = e.contents();
                          t.length ? t.wrapAll(n) : e.append(n);
                      });
            },
            wrap: function (t) {
                var n = x(t);
                return this.each(function (e) {
                    E(this).wrapAll(n ? t.call(this, e) : t);
                });
            },
            unwrap: function (e) {
                return (
                    this.parent(e)
                        .not("body")
                        .each(function () {
                            E(this).replaceWith(this.childNodes);
                        }),
                    this
                );
            },
        }),
        (E.expr.pseudos.hidden = function (e) {
            return !E.expr.pseudos.visible(e);
        }),
        (E.expr.pseudos.visible = function (e) {
            return !!(e.offsetWidth || e.offsetHeight || e.getClientRects().length);
        }),
        (E.ajaxSettings.xhr = function () {
            try {
                return new C.XMLHttpRequest();
            } catch (e) {}
        });
    var Ut = { 0: 200, 1223: 204 },
        Yt = E.ajaxSettings.xhr();
    (y.cors = !!Yt && "withCredentials" in Yt),
        (y.ajax = Yt = !!Yt),
        E.ajaxTransport(function (r) {
            var a, o;
            if (y.cors || (Yt && !r.crossDomain))
                return {
                    send: function (e, t) {
                        var n,
                            i = r.xhr();
                        if ((i.open(r.type, r.url, r.async, r.username, r.password), r.xhrFields)) for (n in r.xhrFields) i[n] = r.xhrFields[n];
                        for (n in (r.mimeType && i.overrideMimeType && i.overrideMimeType(r.mimeType), r.crossDomain || e["X-Requested-With"] || (e["X-Requested-With"] = "XMLHttpRequest"), e)) i.setRequestHeader(n, e[n]);
                        (a = function (e) {
                            return function () {
                                a &&
                                    ((a = o = i.onload = i.onerror = i.onabort = i.ontimeout = i.onreadystatechange = null),
                                    "abort" === e
                                        ? i.abort()
                                        : "error" === e
                                        ? "number" != typeof i.status
                                            ? t(0, "error")
                                            : t(i.status, i.statusText)
                                        : t(Ut[i.status] || i.status, i.statusText, "text" !== (i.responseType || "text") || "string" != typeof i.responseText ? { binary: i.response } : { text: i.responseText }, i.getAllResponseHeaders()));
                            };
                        }),
                            (i.onload = a()),
                            (o = i.onerror = i.ontimeout = a("error")),
                            void 0 !== i.onabort
                                ? (i.onabort = o)
                                : (i.onreadystatechange = function () {
                                      4 === i.readyState &&
                                          C.setTimeout(function () {
                                              a && o();
                                          });
                                  }),
                            (a = a("abort"));
                        try {
                            i.send((r.hasContent && r.data) || null);
                        } catch (e) {
                            if (a) throw e;
                        }
                    },
                    abort: function () {
                        a && a();
                    },
                };
        }),
        E.ajaxPrefilter(function (e) {
            e.crossDomain && (e.contents.script = !1);
        }),
        E.ajaxSetup({
            accepts: { script: "text/javascript, application/javascript, application/ecmascript, application/x-ecmascript" },
            contents: { script: /\b(?:java|ecma)script\b/ },
            converters: {
                "text script": function (e) {
                    return E.globalEval(e), e;
                },
            },
        }),
        E.ajaxPrefilter("script", function (e) {
            void 0 === e.cache && (e.cache = !1), e.crossDomain && (e.type = "GET");
        }),
        E.ajaxTransport("script", function (n) {
            var i, r;
            if (n.crossDomain || n.scriptAttrs)
                return {
                    send: function (e, t) {
                        (i = E("<script>")
                            .attr(n.scriptAttrs || {})
                            .prop({ charset: n.scriptCharset, src: n.url })
                            .on(
                                "load error",
                                (r = function (e) {
                                    i.remove(), (r = null), e && t("error" === e.type ? 404 : 200, e.type);
                                })
                            )),
                            S.head.appendChild(i[0]);
                    },
                    abort: function () {
                        r && r();
                    },
                };
        });
    var Qt = [],
        Kt = /(=)\?(?=&|$)|\?\?/;
    E.ajaxSetup({
        jsonp: "callback",
        jsonpCallback: function () {
            var e = Qt.pop() || E.expando + "_" + Lt.guid++;
            return (this[e] = !0), e;
        },
    }),
        E.ajaxPrefilter("json jsonp", function (e, t, n) {
            var i,
                r,
                a,
                o = !1 !== e.jsonp && (Kt.test(e.url) ? "url" : "string" == typeof e.data && 0 === (e.contentType || "").indexOf("application/x-www-form-urlencoded") && Kt.test(e.data) && "data");
            if (o || "jsonp" === e.dataTypes[0])
                return (
                    (i = e.jsonpCallback = x(e.jsonpCallback) ? e.jsonpCallback() : e.jsonpCallback),
                    o ? (e[o] = e[o].replace(Kt, "$1" + i)) : !1 !== e.jsonp && (e.url += (Mt.test(e.url) ? "&" : "?") + e.jsonp + "=" + i),
                    (e.converters["script json"] = function () {
                        return a || E.error(i + " was not called"), a[0];
                    }),
                    (e.dataTypes[0] = "json"),
                    (r = C[i]),
                    (C[i] = function () {
                        a = arguments;
                    }),
                    n.always(function () {
                        void 0 === r ? E(C).removeProp(i) : (C[i] = r), e[i] && ((e.jsonpCallback = t.jsonpCallback), Qt.push(i)), a && x(r) && r(a[0]), (a = r = void 0);
                    }),
                    "script"
                );
        }),
        (y.createHTMLDocument = (((c = S.implementation.createHTMLDocument("").body).innerHTML = "<form></form><form></form>"), 2 === c.childNodes.length)),
        (E.parseHTML = function (e, t, n) {
            return "string" != typeof e
                ? []
                : ("boolean" == typeof t && ((n = t), (t = !1)),
                  t || (y.createHTMLDocument ? (((i = (t = S.implementation.createHTMLDocument("")).createElement("base")).href = S.location.href), t.head.appendChild(i)) : (t = S)),
                  (i = !n && []),
                  (n = P.exec(e)) ? [t.createElement(n[1])] : ((n = ge([e], t, i)), i && i.length && E(i).remove(), E.merge([], n.childNodes)));
            var i;
        }),
        (E.fn.load = function (e, t, n) {
            var i,
                r,
                a,
                o = this,
                s = e.indexOf(" ");
            return (
                -1 < s && ((i = Tt(e.slice(s))), (e = e.slice(0, s))),
                x(t) ? ((n = t), (t = void 0)) : t && "object" == typeof t && (r = "POST"),
                0 < o.length &&
                    E.ajax({ url: e, type: r || "GET", dataType: "html", data: t })
                        .done(function (e) {
                            (a = arguments), o.html(i ? E("<div>").append(E.parseHTML(e)).find(i) : e);
                        })
                        .always(
                            n &&
                                function (e, t) {
                                    o.each(function () {
                                        n.apply(this, a || [e.responseText, t, e]);
                                    });
                                }
                        ),
                this
            );
        }),
        (E.expr.pseudos.animated = function (t) {
            return E.grep(E.timers, function (e) {
                return t === e.elem;
            }).length;
        }),
        (E.offset = {
            setOffset: function (e, t, n) {
                var i,
                    r,
                    a,
                    o,
                    s = E.css(e, "position"),
                    l = E(e),
                    d = {};
                "static" === s && (e.style.position = "relative"),
                    (a = l.offset()),
                    (i = E.css(e, "top")),
                    (o = E.css(e, "left")),
                    (o = ("absolute" === s || "fixed" === s) && -1 < (i + o).indexOf("auto") ? ((r = (s = l.position()).top), s.left) : ((r = parseFloat(i) || 0), parseFloat(o) || 0)),
                    null != (t = x(t) ? t.call(e, n, E.extend({}, a)) : t).top && (d.top = t.top - a.top + r),
                    null != t.left && (d.left = t.left - a.left + o),
                    "using" in t ? t.using.call(e, d) : ("number" == typeof d.top && (d.top += "px"), "number" == typeof d.left && (d.left += "px"), l.css(d));
            },
        }),
        E.fn.extend({
            offset: function (t) {
                if (arguments.length)
                    return void 0 === t
                        ? this
                        : this.each(function (e) {
                              E.offset.setOffset(this, t, e);
                          });
                var e,
                    n = this[0];
                return n ? (n.getClientRects().length ? ((e = n.getBoundingClientRect()), (n = n.ownerDocument.defaultView), { top: e.top + n.pageYOffset, left: e.left + n.pageXOffset }) : { top: 0, left: 0 }) : void 0;
            },
            position: function () {
                if (this[0]) {
                    var e,
                        t,
                        n,
                        i = this[0],
                        r = { top: 0, left: 0 };
                    if ("fixed" === E.css(i, "position")) t = i.getBoundingClientRect();
                    else {
                        for (t = this.offset(), n = i.ownerDocument, e = i.offsetParent || n.documentElement; e && (e === n.body || e === n.documentElement) && "static" === E.css(e, "position"); ) e = e.parentNode;
                        e && e !== i && 1 === e.nodeType && (((r = E(e).offset()).top += E.css(e, "borderTopWidth", !0)), (r.left += E.css(e, "borderLeftWidth", !0)));
                    }
                    return { top: t.top - r.top - E.css(i, "marginTop", !0), left: t.left - r.left - E.css(i, "marginLeft", !0) };
                }
            },
            offsetParent: function () {
                return this.map(function () {
                    for (var e = this.offsetParent; e && "static" === E.css(e, "position"); ) e = e.offsetParent;
                    return e || ie;
                });
            },
        }),
        E.each({ scrollLeft: "pageXOffset", scrollTop: "pageYOffset" }, function (t, r) {
            var a = "pageYOffset" === r;
            E.fn[t] = function (e) {
                return R(
                    this,
                    function (e, t, n) {
                        var i;
                        return v(e) ? (i = e) : 9 === e.nodeType && (i = e.defaultView), void 0 === n ? (i ? i[r] : e[t]) : void (i ? i.scrollTo(a ? i.pageXOffset : n, a ? n : i.pageYOffset) : (e[t] = n));
                    },
                    t,
                    e,
                    arguments.length
                );
            };
        }),
        E.each(["top", "left"], function (e, n) {
            E.cssHooks[n] = Ue(y.pixelPosition, function (e, t) {
                if (t) return (t = Xe(e, n)), We.test(t) ? E(e).position()[n] + "px" : t;
            });
        }),
        E.each({ Height: "height", Width: "width" }, function (o, s) {
            E.each({ padding: "inner" + o, content: s, "": "outer" + o }, function (i, a) {
                E.fn[a] = function (e, t) {
                    var n = arguments.length && (i || "boolean" != typeof e),
                        r = i || (!0 === e || !0 === t ? "margin" : "border");
                    return R(
                        this,
                        function (e, t, n) {
                            var i;
                            return v(e)
                                ? 0 === a.indexOf("outer")
                                    ? e["inner" + o]
                                    : e.document.documentElement["client" + o]
                                : 9 === e.nodeType
                                ? ((i = e.documentElement), Math.max(e.body["scroll" + o], i["scroll" + o], e.body["offset" + o], i["offset" + o], i["client" + o]))
                                : void 0 === n
                                ? E.css(e, t, r)
                                : E.style(e, t, n, r);
                        },
                        s,
                        n ? e : void 0,
                        n
                    );
                };
            });
        }),
        E.each(["ajaxStart", "ajaxStop", "ajaxComplete", "ajaxError", "ajaxSuccess", "ajaxSend"], function (e, t) {
            E.fn[t] = function (e) {
                return this.on(t, e);
            };
        }),
        E.fn.extend({
            bind: function (e, t, n) {
                return this.on(e, null, t, n);
            },
            unbind: function (e, t) {
                return this.off(e, null, t);
            },
            delegate: function (e, t, n, i) {
                return this.on(t, e, n, i);
            },
            undelegate: function (e, t, n) {
                return 1 === arguments.length ? this.off(e, "**") : this.off(t, e || "**", n);
            },
            hover: function (e, t) {
                return this.mouseenter(e).mouseleave(t || e);
            },
        }),
        E.each("blur focus focusin focusout resize scroll click dblclick mousedown mouseup mousemove mouseover mouseout mouseenter mouseleave change select submit keydown keypress keyup contextmenu".split(" "), function (e, n) {
            E.fn[n] = function (e, t) {
                return 0 < arguments.length ? this.on(n, null, e, t) : this.trigger(n);
            };
        });
    var Jt = /^[\s\uFEFF\xA0]+|[\s\uFEFF\xA0]+$/g;
    (E.proxy = function (e, t) {
        var n, i;
        if (("string" == typeof t && ((i = e[t]), (t = e), (e = i)), x(e)))
            return (
                (n = s.call(arguments, 2)),
                ((i = function () {
                    return e.apply(t || this, n.concat(s.call(arguments)));
                }).guid = e.guid = e.guid || E.guid++),
                i
            );
    }),
        (E.holdReady = function (e) {
            e ? E.readyWait++ : E.ready(!0);
        }),
        (E.isArray = Array.isArray),
        (E.parseJSON = JSON.parse),
        (E.nodeName = A),
        (E.isFunction = x),
        (E.isWindow = v),
        (E.camelCase = _),
        (E.type = h),
        (E.now = Date.now),
        (E.isNumeric = function (e) {
            var t = E.type(e);
            return ("number" === t || "string" === t) && !isNaN(e - parseFloat(e));
        }),
        (E.trim = function (e) {
            return null == e ? "" : (e + "").replace(Jt, "");
        }),
        "function" == typeof define &&
            define.amd &&
            define("jquery", [], function () {
                return E;
            });
    var Zt = C.jQuery,
        en = C.$;
    return (
        (E.noConflict = function (e) {
            return C.$ === E && (C.$ = en), e && C.jQuery === E && (C.jQuery = Zt), E;
        }),
        void 0 === e && (C.jQuery = C.$ = E),
        E
    );
}),
    $("body").is(".infinite") &&
        ((ajaxUrl = $(".infinite-main").data("ajaxurl")),
        (type = $(".infinite-main").data("type")),
        (category = $(".infinite-main").data("category")),
        (preload = $(".infinite-main").data("preload")),
        (count = $(".infinite-main").data("count")),
        (nextPostUrl = $(".infinite-main").data("nextposturl")),
        (totalPage = $(".infinite-item").length),
        (scrollPosition = 0),
        (windowHeight = $(window).height()),
        (infiniteMainHeight = 0),
        (offsetTop = []),
        (infiniteOffset = 1e3),
        (fetchProgress = !(id = [])),
        (analytics = function (e, t) {
            ga("send", { hitType: "pageview", title: t || document.title, page: e || location.pathname, location: location.href });
        }),
        (offsetFind = function () {
            (offsetTop = []),
                $.each($(document).find(".infinite-item"), function () {
                    offsetTop.push($(this).offset().top);
                });
        })(),
        (fetchData = function (e, t) {
            fetch(e)
                .then(function (e) {
                    return e.text();
                })
                .then(function (e) {
                    e &&
                        ($(".infinite-main .infinite-item .content").next().append(e), offsetFind(), t && ((e = $(document).find(".infinite-item").eq(1)), analytics(e.data("pageurl"), e.find("h1").text())), $(".loader").css("visibility", "hidden"), (fetchProgress = !1));
						
						
						var s = document.createElement("script");
s.type = "text/javascript";
s.src = "/assets-aksam/js/scripts-ozets.js?v=16";
$("body").append(s);
ga('set', 'page', "/haber-ozetleri/");

						//var massVideo = $('.video-js');
						//	for(var i = 0; i < massVideo.length; i++){
						//	  videojs(massVideo[i]).ready(function(){});
						//	}

							setTimeout(function(){
								$(".video-js video").each(function (videoIndex,elem) {
											$(elem)[0].onplay = function() {
												$(".video-js video").each(function (videoIndex,elemx) {
													if($(elem).attr('id') != $(elemx).attr('id')){
														$(elemx)[0].pause();
													}
												});
											}
								});
							},1000);

                })
                .catch(function (e) {
                    console.log(e);
                });
        }),
        id.push($(document).find(".infinite-item").eq(0).data("id")),
        preload &&
            ((item = $(document).find(".infinite-item").eq(0)), (preloadId = item.data("nextid")), id.push(item.data("nextid")), fetchData(ajaxUrl + "?type=" + type + "&category=" + category + "&id=" + preloadId + "&index=1", "true")),
        $(window).on("scroll", function () {
            "gallery" == type && offsetFind(), (infiniteMainHeight = $(".infinite-main").height()), (scrollPosition = $(window).scrollTop());
            var e,
                t,
                n,
                i = [];
            $.each(offsetTop, function (e, t) {
                t + 50 < windowHeight + scrollPosition && i.push(t);
            }),
                (n = 0 < i.length && 100 < scrollPosition ? ((e = Math.max.apply(null, i)), i.indexOf(e)) : 0),
                visible != n &&
                    ((visible = n),
                    (t = $(document).find(".infinite-item").eq(n)),
                    (e = ""),
                    (e = ("news" == type ? t.find("h1") : $("h1")).text()),
                    history.replaceState(null, null, t.data("pageurl")),
                    e && (document.title = e),
                    0 != n && (analytics(t.data("pageurl"), e && t.find("h1").text()), fetch(count + t.data("id"))),
                    "gallery" == type &&
                        n == totalPage - 1 &&
                        setTimeout(function () {
                            window.location.href = nextPostUrl;
                        }, 1e4)),
                "gallery" != type &&
                    infiniteMainHeight < windowHeight + scrollPosition + infiniteOffset &&
                    !fetchProgress &&
                    ((n = (t = $(document).find(".infinite-item")).eq(t.length - 1).data("nextid")),
                    -1 == id.indexOf(n) && ((fetchProgress = !0), $(".loader").css("visibility", "visible"), id.push(n), fetchData(ajaxUrl + "?type=" + type + "&category=" + category + "&id=" + n + "&index=" + t.length)));					
        })),
    (function (e) {
        "function" == typeof define && define.amd ? define(["jquery"], e) : "object" == typeof module && module.exports ? (module.exports = e(require("jquery"))) : e(jQuery);
    })(function (u) {
        function e() {
            for (var e = c.scrollTop(), t = p.height(), n = t - h, i = n < e ? n - e : 0, r = 0, a = f.length; r < a; r++) {
                var o,
                    s,
                    l = f[r],
                    d = l.stickyWrapper.offset().top - l.topSpacing - i;
                l.stickyWrapper.css("height", l.stickyElement.outerHeight()),
                    e <= d
                        ? null !== l.currentTop &&
                          (l.stickyElement.css({ width: "", position: "", top: "", "z-index": "" }), l.stickyElement.parent().removeClass(l.className), l.stickyElement.trigger("sticky-end", [l]), (l.currentTop = null))
                        : ((o = t - l.stickyElement.outerHeight() - l.topSpacing - l.bottomSpacing - e - i) < 0 ? (o += l.topSpacing) : (o = l.topSpacing),
                          l.currentTop !== o &&
                              (l.getWidthFrom ? ((padding = l.stickyElement.innerWidth() - l.stickyElement.width()), (s = u(l.getWidthFrom).width() - padding || null)) : l.widthFromWrapper && (s = l.stickyWrapper.width()),
                              null == s && (s = l.stickyElement.width()),
                              l.stickyElement.css("width", s).css("position", "fixed").css("top", o).css("z-index", l.zIndex),
                              l.stickyElement.parent().addClass(l.className),
                              null === l.currentTop ? l.stickyElement.trigger("sticky-start", [l]) : l.stickyElement.trigger("sticky-update", [l]),
                              (l.currentTop === l.topSpacing && l.currentTop > o) || (null === l.currentTop && o < l.topSpacing)
                                  ? l.stickyElement.trigger("sticky-bottom-reached", [l])
                                  : null !== l.currentTop && o === l.topSpacing && l.currentTop < o && l.stickyElement.trigger("sticky-bottom-unreached", [l]),
                              (l.currentTop = o)),
                          (d = l.stickyWrapper.parent()),
                          l.stickyElement.offset().top + l.stickyElement.outerHeight() >= d.offset().top + d.outerHeight() && l.stickyElement.offset().top <= l.topSpacing
                              ? l.stickyElement.css("position", "absolute").css("top", "").css("bottom", 0).css("z-index", "")
                              : l.stickyElement.css("position", "fixed").css("top", o).css("bottom", "").css("z-index", l.zIndex));
            }
        }
        function t() {
            h = c.height();
            for (var e = 0, t = f.length; e < t; e++) {
                var n = f[e],
                    i = null;
                n.getWidthFrom ? n.responsiveWidth && (i = u(n.getWidthFrom).width()) : n.widthFromWrapper && (i = n.stickyWrapper.width()), null != i && n.stickyElement.css("width", i);
            }
        }
        var n = Array.prototype.slice,
            i = Array.prototype.splice,
            o = { topSpacing: 0, bottomSpacing: 0, className: "is-sticky", wrapperClassName: "sticky-wrapper", center: !1, getWidthFrom: "", widthFromWrapper: !0, responsiveWidth: !1, zIndex: "inherit" },
            c = u(window),
            p = u(document),
            f = [],
            h = c.height(),
            s = {
                init: function (a) {
                    return this.each(function () {
                        var e = u.extend({}, o, a),
                            t = u(this),
                            n = t.attr("id"),
                            i = n ? n + "-" + o.wrapperClassName : o.wrapperClassName,
                            r = u("<div></div>").attr("id", i).addClass(e.wrapperClassName);
                        t.wrapAll(function () {
                            if (0 == u(this).parent("#" + i).length) return r;
                        });
                        n = t.parent();
                        e.center && n.css({ width: t.outerWidth(), marginLeft: "auto", marginRight: "auto" }),
                            "right" === t.css("float") && t.css({ float: "none" }).parent().css({ float: "right" }),
                            (e.stickyElement = t),
                            (e.stickyWrapper = n),
                            (e.currentTop = null),
                            f.push(e),
                            s.setWrapperHeight(this),
                            s.setupChangeListeners(this);
                    });
                },
                setWrapperHeight: function (e) {
                    var t = u(e),
                        e = t.parent();
                    e && e.css("height", t.outerHeight());
                },
                setupChangeListeners: function (t) {
                    window.MutationObserver
                        ? new window.MutationObserver(function (e) {
                              (e[0].addedNodes.length || e[0].removedNodes.length) && s.setWrapperHeight(t);
                          }).observe(t, { subtree: !0, childList: !0 })
                        : window.addEventListener
                        ? (t.addEventListener(
                              "DOMNodeInserted",
                              function () {
                                  s.setWrapperHeight(t);
                              },
                              !1
                          ),
                          t.addEventListener(
                              "DOMNodeRemoved",
                              function () {
                                  s.setWrapperHeight(t);
                              },
                              !1
                          ))
                        : window.attachEvent &&
                          (t.attachEvent("onDOMNodeInserted", function () {
                              s.setWrapperHeight(t);
                          }),
                          t.attachEvent("onDOMNodeRemoved", function () {
                              s.setWrapperHeight(t);
                          }));
                },
                update: e,
                unstick: function (e) {
                    return this.each(function () {
                        for (var e = u(this), t = -1, n = f.length; 0 < n--; ) f[n].stickyElement.get(0) === this && (i.call(f, n, 1), (t = n));
                        -1 !== t && (e.unwrap(), e.css({ width: "", position: "", top: "", float: "", "z-index": "" }));
                    });
                },
            };
        window.addEventListener ? (window.addEventListener("scroll", e, !1), window.addEventListener("resize", t, !1)) : window.attachEvent && (window.attachEvent("onscroll", e), window.attachEvent("onresize", t)),
            (u.fn.sticky = function (e) {
                return s[e] ? s[e].apply(this, n.call(arguments, 1)) : "object" != typeof e && e ? void u.error("Method " + e + " does not exist on jQuery.sticky") : s.init.apply(this, arguments);
            }),
            (u.fn.unstick = function (e) {
                return s[e] ? s[e].apply(this, n.call(arguments, 1)) : "object" != typeof e && e ? void u.error("Method " + e + " does not exist on jQuery.sticky") : s.unstick.apply(this, arguments);
            }),
            u(function () {
                setTimeout(e, 0);
            });
    }),
    (function (D, p) {
        "use strict";
        function o(f, h, v, e, t) {
            function n() {
                var r, a, o, s;
                (T = 1 < D.devicePixelRatio),
                    (v = i(v)),
                    0 <= h.delay &&
                        setTimeout(function () {
                            l(!0);
                        }, h.delay),
                    (h.delay < 0 || h.combined) &&
                        ((e.e =
                            ((r = h.throttle),
                            (a = function (e) {
                                "resize" === e.type && (w = b = -1), l(e.all);
                            }),
                            (s = 0),
                            function (e, t) {
                                function n() {
                                    (s = +new Date()), a.call(f, e);
                                }
                                var i = +new Date() - s;
                                o && clearTimeout(o), r < i || !h.enableThrottle || t ? n() : (o = setTimeout(n, r - i));
                            })),
                        (e.a = function (e) {
                            (e = i(e)), v.push.apply(v, e);
                        }),
                        (e.g = function () {
                            return (v = $(v).filter(function () {
                                return !$(this).data(h.loadedName);
                            }));
                        }),
                        (e.f = function (e) {
                            for (var t = 0; t < e.length; t++) {
                                var n = v.filter(function () {
                                    return this === e[t];
                                });
                                n.length && l(!1, n);
                            }
                        }),
                        l(),
                        $(h.appendScroll).on("scroll." + t + " resize." + t, e.e));
            }
            function i(e) {
                for (
                    var t = h.defaultImage,
                        n = h.placeholder,
                        i = h.imageBase,
                        r = h.srcsetAttribute,
                        a = h.loaderAttribute,
                        o = h._f || {},
                        s = 0,
                        l = (e = $(e)
                            .filter(function () {
                                var e = $(this),
                                    t = m(this);
                                return !e.data(h.handledName) && (e.attr(h.attribute) || e.attr(r) || e.attr(a) || o[t] !== p);
                            })
                            .data("plugin_" + h.name, f)).length;
                    s < l;
                    s++
                ) {
                    var d = $(e[s]),
                        u = m(e[s]),
                        c = d.attr(h.imageBaseAttribute) || i;
                    u === k &&
                        c &&
                        d.attr(r) &&
                        d.attr(
                            r,
                            (function (e, t) {
                                if (t) {
                                    var n = e.split(",");
                                    e = "";
                                    for (var i = 0, r = n.length; i < r; i++) e += t + n[i].trim() + (i !== r - 1 ? "," : "");
                                }
                                return e;
                            })(d.attr(r), c)
                        ),
                        o[u] === p || d.attr(a) || d.attr(a, o[u]),
                        u === k && t && !d.attr(A) ? d.attr(A, t) : u === k || !n || (d.css(M) && "none" !== d.css(M)) || d.css(M, "url('" + n + "')");
                }
                return e;
            }
            function l(e, t) {
                if (!v.length) return h.autoDestroy && f.destroy(), 0;
                for (var n, i, r, a, o, s = t || v, l = !1, d = h.imageBase || "", u = h.srcsetAttribute, c = h.handledName, p = 0; p < s.length; p++)
                    (e ||
                        t ||
                        ((i = s[p]),
                        (r = o = a = r = void 0),
                        (r = i.getBoundingClientRect()),
                        (a = h.scrollDirection),
                        (o = h.threshold),
                        (i = (0 <= b ? b : (b = $(D).height())) + o > r.top && -o < r.bottom),
                        (r = (0 <= w ? w : (w = $(D).width())) + o > r.left && -o < r.right),
                        "vertical" === a ? i : ("horizontal" === a || i) && r)) &&
                        ((n = $(s[p])),
                        (o = m(s[p])),
                        (a = n.attr(h.attribute)),
                        (i = n.attr(h.imageBaseAttribute) || d),
                        (r = n.attr(h.loaderAttribute)),
                        n.data(c) ||
                            (h.visibleOnly && !n.is(":visible")) ||
                            !(((a || n.attr(u)) && ((o === k && (i + a !== n.attr(A) || n.attr(u) !== n.attr(P))) || (o !== k && i + a !== n.css(M)))) || r) ||
                            ((l = !0),
                            n.data(c, !0),
                            (function (t, e, n, i) {
                                ++x;
                                var r = function () {
                                    y("onError", t), g(), (r = $.noop);
                                };
                                y("beforeLoad", t);
                                var a = h.attribute,
                                    o = h.srcsetAttribute,
                                    s = h.sizesAttribute,
                                    l = h.retinaAttribute,
                                    d = h.removeAttribute,
                                    u = h.loadedName,
                                    c = t.attr(l);
                                {
                                    var p, f;
                                    i
                                        ? ((p = function () {
                                              d && t.removeAttr(h.loaderAttribute), t.data(u, !0), y(C, t), setTimeout(g, 1), (p = $.noop);
                                          }),
                                          t.off(E).one(E, r).one(S, p),
                                          y(i, t, function (e) {
                                              e ? (t.off(S), p()) : (t.off(E), r());
                                          }) || t.trigger(E))
                                        : ((f = $(new Image())).one(E, r).one(S, function () {
                                              t.hide(),
                                                  e === k ? t.attr(L, f.attr(L)).attr(P, f.attr(P)).attr(A, f.attr(A)) : t.css(M, "url('" + f.attr(A) + "')"),
                                                  t[h.effect](h.effectTime),
                                                  d && (t.removeAttr(a + " " + o + " " + l + " " + h.imageBaseAttribute), s !== L && t.removeAttr(s)),
                                                  t.data(u, !0),
                                                  y(C, t),
                                                  f.remove(),
                                                  g();
                                          }),
                                          (c = (T && c ? c : t.attr(a)) || ""),
                                          f
                                              .attr(L, t.attr(s))
                                              .attr(P, t.attr(o))
                                              .attr(A, c ? n + c : null),
                                          f.complete && f.trigger(S));
                                }
                            })(n, o, i, r)));
                l &&
                    (v = $(v).filter(function () {
                        return !$(this).data(c);
                    }));
            }
            function m(e) {
                return e.tagName.toLowerCase();
            }
            function g() {
                --x, v.length || x || y("onFinishedAll");
            }
            function y(e) {
                return (e = h[e]) && (e.apply(f, [].slice.call(arguments, 1)), 1);
            }
            var x = 0,
                w = -1,
                b = -1,
                T = !1,
                C = "afterLoad",
                S = "load",
                E = "error",
                k = "img",
                A = "src",
                P = "srcset",
                L = "sizes",
                M = "background-image";
            "event" === h.bind || r ? n() : $(D).on(S + "." + t, n);
        }
        function d(e, t) {
            var n = this,
                i = $.extend({}, n.config, t),
                r = {},
                a = i.name + "-" + ++s;
            return (
                (n.config = function (e, t) {
                    return t === p ? i[e] : ((i[e] = t), n);
                }),
                (n.addItems = function (e) {
                    return r.a && r.a("string" === $.type(e) ? $(e) : e), n;
                }),
                (n.getItems = function () {
                    return r.g ? r.g() : {};
                }),
                (n.update = function (e) {
                    return r.e && r.e({}, !e), n;
                }),
                (n.force = function (e) {
                    return r.f && r.f("string" === $.type(e) ? $(e) : e), n;
                }),
                (n.loadAll = function () {
                    return r.e && r.e({ all: !0 }, !0), n;
                }),
                (n.destroy = function () {
                    return $(i.appendScroll).off("." + a, r.e), $(D).off("." + a), (r = {}), p;
                }),
                o(n, i, e, r, a),
                i.chainable ? e : n
            );
        }
        var $ = D.jQuery || D.Zepto,
            s = 0,
            r = !1;
        ($.fn.Lazy = $.fn.lazy = function (e) {
            return new d(this, e);
        }),
            ($.Lazy = $.lazy = function (e, t, n) {
                if (($.isFunction(t) && ((n = t), (t = [])), $.isFunction(n))) {
                    (e = $.isArray(e) ? e : [e]), (t = $.isArray(t) ? t : [t]);
                    for (var i = d.prototype.config, r = i._f || (i._f = {}), a = 0, o = e.length; a < o; a++) (i[e[a]] !== p && !$.isFunction(i[e[a]])) || (i[e[a]] = n);
                    for (var s = 0, l = t.length; s < l; s++) r[t[s]] = e[0];
                }
            }),
            (d.prototype.config = {
                name: "lazy",
                chainable: !0,
                autoDestroy: !0,
                bind: "load",
                threshold: 500,
                visibleOnly: !1,
                appendScroll: D,
                scrollDirection: "both",
                imageBase: null,
                defaultImage: "",
                placeholder: null,
                delay: -1,
                combined: !1,
                attribute: "data-src",
                srcsetAttribute: "data-srcset",
                sizesAttribute: "data-sizes",
                retinaAttribute: "data-retina",
                loaderAttribute: "data-loader",
                imageBaseAttribute: "data-imagebase",
                removeAttribute: !0,
                handledName: "handled",
                loadedName: "loaded",
                effect: "show",
                effectTime: 0,
                enableThrottle: !0,
                throttle: 250,
                beforeLoad: p,
                afterLoad: p,
                onError: p,
                onFinishedAll: p,
            }),
            $(D).on("load", function () {
                r = !0;
            });
    })(window),
    (function (r) {
        r.lazy(["frame", "iframe"], "iframe", function (t, e) {
            var n,
                i = this;
            "iframe" === t[0].tagName.toLowerCase()
                ? "true" !== (n = t.attr("data-error-detect")) && "1" !== n
                    ? (t.attr("src", t.attr("data-src")), i.config("removeAttribute") && t.removeAttr("data-src data-error-detect"))
                    : r.ajax({
                          url: t.attr("data-src"),
                          dataType: "html",
                          crossDomain: !0,
                          xhrFields: { withCredentials: !0 },
                          success: function (e) {
                              t.html(e).attr("src", t.attr("data-src")), i.config("removeAttribute") && t.removeAttr("data-src data-error-detect");
                          },
                          error: function () {
                              e(!1);
                          },
                      })
                : e(!1);
        });
    })(window.jQuery || window.Zepto),
    (function (e, t) {
        "function" == typeof define && define.amd
            ? define([], function () {
                  return t(e);
              })
            : "object" == typeof module && module.exports
            ? (module.exports = t(e))
            : (e.mostVisible = t(e));
    })("undefined" != typeof self ? self : this, function (e) {
        "use strict";
        function n(e, t) {
            if (!(this instanceof n)) return new n(e, t).getMostVisible();
            "string" == typeof e && (e = document.querySelectorAll(e)),
                (this.elements = e),
                (this.options = (function (e) {
                    for (var t = 1; t < arguments.length; t++) for (var n in arguments[t]) arguments[t].hasOwnProperty(n) && (e[n] = arguments[t][n]);
                    return e;
                })({}, n.defaults, t));
        }
        return (
            (n.defaults = { percentage: !1, offset: 0 }),
            (n.prototype = {
                getMostVisible: function () {
                    for (var e = null, t = document.documentElement.clientHeight, n = 0, i = 0; i < this.elements.length; i++) {
                        var r = this.getVisibleHeight(this.elements[i], t, this.options.offset);
                        n < r && ((n = r), (e = this.elements[i]));
                    }
                    return e;
                },
                getVisibleHeight: function (e, t) {
                    var n = e.getBoundingClientRect(),
                        i = n.top - this.options.offset,
                        r = n.bottom - this.options.offset,
                        a = n.bottom - n.top,
                        o = 0 <= i && i < t,
                        s = 0 < r && r < t,
                        e = 0;
                    return o && s ? (e = a) : o ? (e = t - n.top) : s ? (e = r) : t < a && i < 0 && (i = Math.abs(i)) < a && (e = a - i), this.options.percentage ? (e / a) * 100 : e;
                },
            }),
            (n.makeJQueryPlugin = function (e) {
                e &&
                    (e.fn.mostVisible = function (e) {
                        e = new n(this.get(), e);
                        return this.filter(e.getMostVisible());
                    });
            })(e.jQuery),
            n
        );
    });
var interval,
    audioTimeFormat = function (e) {
        var t = e % 60;
        return (e - t) / 60 + ":" + (t = t < 10 ? "0" + t.toString() : t);
    },
    playerClickCountIds = [],
    podcastIndex = 0,
    podcastLength = $(".player").length,
    intervalFunc = function () {
        interval = setInterval(function () {
            var e = $("audio")[podcastIndex],
                t = $(".audio-slider"),
                n = Math.round(e.currentTime),
                i = Math.round(e.duration);
            n == i
                ? ((n = 0),
                  e.pause(),
                  (t[podcastIndex].value = 0),
                  t.eq(podcastIndex).parents(".player").find(".icon-play").show(),
                  t.eq(podcastIndex).parents(".player").find(".icon-pause").hide(),
                  $(".slider-time").eq(podcastIndex).text("0:00"),
                  t.eq(podcastIndex).css("background", "linear-gradient(to right, #000 0%, #000 " + (100 * n) / i + "%, #f1f1f1 " + (100 * n) / i + "%, #f1f1f1 100%)"),
                  (t[podcastIndex].value = n),
                  clearInterval(interval),
                  1024 < window.innerWidth &&
                      setTimeout(function () {
                          var e;
                          podcastIndex < podcastLength - 1 &&
                              ((podcastIndex += 1),
                              (e = t.eq(podcastIndex).parents(".player").find(".icon-play").data("count")),
                              t.eq(podcastIndex).parents(".player").find(".icon-play").hide(),
                              t.eq(podcastIndex).parents(".player").find(".icon-pause").show(),
                              $("audio")[podcastIndex].play(),
                              -1 == playerClickCountIds.indexOf(e) &&
                                  (playerClickCountIds.push(e),
                                  -1 != location.hostname.indexOf("aksam") ? fetch("https://ac.cdnstr.com/count-snd.asp?@@@=" + e) : -1 != location.hostname.indexOf("star") && fetch("https://sc.cdnstr.com/count-snd.asp?@@@=" + e)),
                              intervalFunc());
                      }, 1e3))
                : ($(".slider-time").eq(podcastIndex).text(audioTimeFormat(n)),
                  t.eq(podcastIndex).css("background", "linear-gradient(to right, #000 0%, #000 " + (100 * n) / i + "%, #f1f1f1 " + (100 * n) / i + "%, #f1f1f1 100%)"),
                  (t[podcastIndex].value = n));
        }, 1e3);
    };
$(".player").each(function (e, t) {
    var n = $(".audio-slider")[e],
        i = new URL($(this).find("source").attr("src")).searchParams.get("time");
    $(this).find(".time").text(audioTimeFormat(i)),
        $(this).find(".audio-slider").attr("max", i),
        (n.oninput = function () {
            clearInterval(interval),
                ($("audio")[e].currentTime = this.value),
                (this.style.background = "linear-gradient(to right, #000 0%, #000 " + (100 * this.value) / i + "%, #f1f1f1 " + (100 * this.value) / i + "%, #f1f1f1 100%)"),
                intervalFunc();
        });
}),
    $(".icon-play").on("click", function () {
        var e = $(this).data("count");
        -1 == playerClickCountIds.indexOf(e) &&
            (playerClickCountIds.push(e), -1 != location.hostname.indexOf("aksam") ? fetch("https://ac.cdnstr.com/count-snd.asp?@@@=" + e) : -1 != location.hostname.indexOf("star") && fetch("https://sc.cdnstr.com/count-snd.asp?@@@=" + e)),
            clearInterval(interval),
            (podcastIndex = $(this).data("index")),
            $(".icon-play").show(),
            $(".icon-pause").hide(),
            $(".player audio").each(function (e, t) {
                $(".player audio")[e].pause();
            }),
            $(this).hide(),
            $(this).next().show(),
            $(".player audio")[podcastIndex].play(),
            intervalFunc();
    }),
    $(".icon-pause").on("click", function () {
        $(this).hide(), $(this).prev().show(), $(".player audio")[$(this).data("index")].pause(), clearInterval(interval);
    }),
    (function (e, t) {
        "object" == typeof exports && "undefined" != typeof module ? (module.exports = t()) : "function" == typeof define && define.amd ? define(t) : (e.Swiper = t());
    })(this, function () {
        "use strict";
        var c =
                "undefined" == typeof document
                    ? {
                          body: {},
                          addEventListener: function () {},
                          removeEventListener: function () {},
                          activeElement: { blur: function () {}, nodeName: "" },
                          querySelector: function () {
                              return null;
                          },
                          querySelectorAll: function () {
                              return [];
                          },
                          getElementById: function () {
                              return null;
                          },
                          createEvent: function () {
                              return { initEvent: function () {} };
                          },
                          createElement: function () {
                              return {
                                  children: [],
                                  childNodes: [],
                                  style: {},
                                  setAttribute: function () {},
                                  getElementsByTagName: function () {
                                      return [];
                                  },
                              };
                          },
                          location: { hash: "" },
                      }
                    : document,
            V =
                "undefined" == typeof window
                    ? {
                          document: c,
                          navigator: { userAgent: "" },
                          location: {},
                          history: {},
                          CustomEvent: function () {
                              return this;
                          },
                          addEventListener: function () {},
                          removeEventListener: function () {},
                          getComputedStyle: function () {
                              return {
                                  getPropertyValue: function () {
                                      return "";
                                  },
                              };
                          },
                          Image: function () {},
                          Date: function () {},
                          screen: {},
                          setTimeout: function () {},
                          clearTimeout: function () {},
                      }
                    : window,
            l = function (e) {
                for (var t = 0; t < e.length; t += 1) this[t] = e[t];
                return (this.length = e.length), this;
            };
        function v(e, t) {
            var n = [],
                i = 0;
            if (e && !t && e instanceof l) return e;
            if (e)
                if ("string" == typeof e) {
                    var r,
                        a,
                        o = e.trim();
                    if (0 <= o.indexOf("<") && 0 <= o.indexOf(">")) {
                        var s = "div";
                        for (
                            0 === o.indexOf("<li") && (s = "ul"),
                                0 === o.indexOf("<tr") && (s = "tbody"),
                                (0 !== o.indexOf("<td") && 0 !== o.indexOf("<th")) || (s = "tr"),
                                0 === o.indexOf("<tbody") && (s = "table"),
                                0 === o.indexOf("<option") && (s = "select"),
                                (a = c.createElement(s)).innerHTML = o,
                                i = 0;
                            i < a.childNodes.length;
                            i += 1
                        )
                            n.push(a.childNodes[i]);
                    } else for (r = t || "#" !== e[0] || e.match(/[ .<>:~]/) ? (t || c).querySelectorAll(e.trim()) : [c.getElementById(e.trim().split("#")[1])], i = 0; i < r.length; i += 1) r[i] && n.push(r[i]);
                } else if (e.nodeType || e === V || e === c) n.push(e);
                else if (0 < e.length && e[0].nodeType) for (i = 0; i < e.length; i += 1) n.push(e[i]);
            return new l(n);
        }
        function a(e) {
            for (var t = [], n = 0; n < e.length; n += 1) -1 === t.indexOf(e[n]) && t.push(e[n]);
            return t;
        }
        (v.fn = l.prototype), (v.Class = l), (v.Dom7 = l);
        var t = {
            addClass: function (e) {
                if (void 0 === e) return this;
                for (var t = e.split(" "), n = 0; n < t.length; n += 1) for (var i = 0; i < this.length; i += 1) void 0 !== this[i] && void 0 !== this[i].classList && this[i].classList.add(t[n]);
                return this;
            },
            removeClass: function (e) {
                for (var t = e.split(" "), n = 0; n < t.length; n += 1) for (var i = 0; i < this.length; i += 1) void 0 !== this[i] && void 0 !== this[i].classList && this[i].classList.remove(t[n]);
                return this;
            },
            hasClass: function (e) {
                return !!this[0] && this[0].classList.contains(e);
            },
            toggleClass: function (e) {
                for (var t = e.split(" "), n = 0; n < t.length; n += 1) for (var i = 0; i < this.length; i += 1) void 0 !== this[i] && void 0 !== this[i].classList && this[i].classList.toggle(t[n]);
                return this;
            },
            attr: function (e, t) {
                var n = arguments;
                if (1 === arguments.length && "string" == typeof e) return this[0] ? this[0].getAttribute(e) : void 0;
                for (var i = 0; i < this.length; i += 1)
                    if (2 === n.length) this[i].setAttribute(e, t);
                    else for (var r in e) (this[i][r] = e[r]), this[i].setAttribute(r, e[r]);
                return this;
            },
            removeAttr: function (e) {
                for (var t = 0; t < this.length; t += 1) this[t].removeAttribute(e);
                return this;
            },
            data: function (e, t) {
                var n;
                if (void 0 !== t) {
                    for (var i = 0; i < this.length; i += 1) (n = this[i]).dom7ElementDataStorage || (n.dom7ElementDataStorage = {}), (n.dom7ElementDataStorage[e] = t);
                    return this;
                }
                if ((n = this[0])) return n.dom7ElementDataStorage && e in n.dom7ElementDataStorage ? n.dom7ElementDataStorage[e] : n.getAttribute("data-" + e) || void 0;
            },
            transform: function (e) {
                for (var t = 0; t < this.length; t += 1) {
                    var n = this[t].style;
                    (n.webkitTransform = e), (n.transform = e);
                }
                return this;
            },
            transition: function (e) {
                "string" != typeof e && (e += "ms");
                for (var t = 0; t < this.length; t += 1) {
                    var n = this[t].style;
                    (n.webkitTransitionDuration = e), (n.transitionDuration = e);
                }
                return this;
            },
            on: function () {
                for (var e = [], t = arguments.length; t--; ) e[t] = arguments[t];
                var n = e[0],
                    a = e[1],
                    o = e[2],
                    i = e[3];
                function r(e) {
                    var t = e.target;
                    if (t) {
                        var n = e.target.dom7EventData || [];
                        if ((n.indexOf(e) < 0 && n.unshift(e), v(t).is(a))) o.apply(t, n);
                        else for (var i = v(t).parents(), r = 0; r < i.length; r += 1) v(i[r]).is(a) && o.apply(i[r], n);
                    }
                }
                function s(e) {
                    var t = (e && e.target && e.target.dom7EventData) || [];
                    t.indexOf(e) < 0 && t.unshift(e), o.apply(this, t);
                }
                "function" == typeof e[1] && ((n = e[0]), (o = e[1]), (i = e[2]), (a = void 0));
                for (var l, i = i || !1, d = n.split(" "), u = 0; u < this.length; u += 1) {
                    var c = this[u];
                    if (a)
                        for (l = 0; l < d.length; l += 1) {
                            var p = d[l];
                            c.dom7LiveListeners || (c.dom7LiveListeners = {}), c.dom7LiveListeners[p] || (c.dom7LiveListeners[p] = []), c.dom7LiveListeners[p].push({ listener: o, proxyListener: r }), c.addEventListener(p, r, i);
                        }
                    else
                        for (l = 0; l < d.length; l += 1) {
                            var f = d[l];
                            c.dom7Listeners || (c.dom7Listeners = {}), c.dom7Listeners[f] || (c.dom7Listeners[f] = []), c.dom7Listeners[f].push({ listener: o, proxyListener: s }), c.addEventListener(f, s, i);
                        }
                }
                return this;
            },
            off: function () {
                for (var e = [], t = arguments.length; t--; ) e[t] = arguments[t];
                var n = e[0],
                    i = e[1],
                    r = e[2],
                    a = e[3];
                "function" == typeof e[1] && ((n = e[0]), (r = e[1]), (a = e[2]), (i = void 0));
                for (var a = a || !1, o = n.split(" "), s = 0; s < o.length; s += 1)
                    for (var l = o[s], d = 0; d < this.length; d += 1) {
                        var u = this[d],
                            c = void 0;
                        if ((!i && u.dom7Listeners ? (c = u.dom7Listeners[l]) : i && u.dom7LiveListeners && (c = u.dom7LiveListeners[l]), c && c.length))
                            for (var p = c.length - 1; 0 <= p; --p) {
                                var f = c[p];
                                ((!r || f.listener !== r) && r) || (u.removeEventListener(l, f.proxyListener, a), c.splice(p, 1));
                            }
                    }
                return this;
            },
            trigger: function () {
                for (var e = [], t = arguments.length; t--; ) e[t] = arguments[t];
                for (var n = e[0].split(" "), i = e[1], r = 0; r < n.length; r += 1)
                    for (var a = n[r], o = 0; o < this.length; o += 1) {
                        var s = this[o],
                            l = void 0;
                        try {
                            l = new V.CustomEvent(a, { detail: i, bubbles: !0, cancelable: !0 });
                        } catch (e) {
                            (l = c.createEvent("Event")).initEvent(a, !0, !0), (l.detail = i);
                        }
                        (s.dom7EventData = e.filter(function (e, t) {
                            return 0 < t;
                        })),
                            s.dispatchEvent(l),
                            (s.dom7EventData = []),
                            delete s.dom7EventData;
                    }
                return this;
            },
            transitionEnd: function (t) {
                var n,
                    i = ["webkitTransitionEnd", "transitionend"],
                    r = this;
                function a(e) {
                    if (e.target === this) for (t.call(this, e), n = 0; n < i.length; n += 1) r.off(i[n], a);
                }
                if (t) for (n = 0; n < i.length; n += 1) r.on(i[n], a);
                return this;
            },
            outerWidth: function (e) {
                if (0 < this.length) {
                    if (e) {
                        e = this.styles();
                        return this[0].offsetWidth + parseFloat(e.getPropertyValue("margin-right")) + parseFloat(e.getPropertyValue("margin-left"));
                    }
                    return this[0].offsetWidth;
                }
                return null;
            },
            outerHeight: function (e) {
                if (0 < this.length) {
                    if (e) {
                        e = this.styles();
                        return this[0].offsetHeight + parseFloat(e.getPropertyValue("margin-top")) + parseFloat(e.getPropertyValue("margin-bottom"));
                    }
                    return this[0].offsetHeight;
                }
                return null;
            },
            offset: function () {
                if (0 < this.length) {
                    var e = this[0],
                        t = e.getBoundingClientRect(),
                        n = c.body,
                        i = e.clientTop || n.clientTop || 0,
                        r = e.clientLeft || n.clientLeft || 0,
                        n = e === V ? V.scrollY : e.scrollTop,
                        e = e === V ? V.scrollX : e.scrollLeft;
                    return { top: t.top + n - i, left: t.left + e - r };
                }
                return null;
            },
            css: function (e, t) {
                var n;
                if (1 === arguments.length) {
                    if ("string" != typeof e) {
                        for (n = 0; n < this.length; n += 1) for (var i in e) this[n].style[i] = e[i];
                        return this;
                    }
                    if (this[0]) return V.getComputedStyle(this[0], null).getPropertyValue(e);
                }
                if (2 !== arguments.length || "string" != typeof e) return this;
                for (n = 0; n < this.length; n += 1) this[n].style[e] = t;
                return this;
            },
            each: function (e) {
                if (!e) return this;
                for (var t = 0; t < this.length; t += 1) if (!1 === e.call(this[t], t, this[t])) return this;
                return this;
            },
            html: function (e) {
                if (void 0 === e) return this[0] ? this[0].innerHTML : void 0;
                for (var t = 0; t < this.length; t += 1) this[t].innerHTML = e;
                return this;
            },
            text: function (e) {
                if (void 0 === e) return this[0] ? this[0].textContent.trim() : null;
                for (var t = 0; t < this.length; t += 1) this[t].textContent = e;
                return this;
            },
            is: function (e) {
                var t,
                    n,
                    i = this[0];
                if (!i || void 0 === e) return !1;
                if ("string" == typeof e) {
                    if (i.matches) return i.matches(e);
                    if (i.webkitMatchesSelector) return i.webkitMatchesSelector(e);
                    if (i.msMatchesSelector) return i.msMatchesSelector(e);
                    for (t = v(e), n = 0; n < t.length; n += 1) if (t[n] === i) return !0;
                    return !1;
                }
                if (e === c) return i === c;
                if (e === V) return i === V;
                if (e.nodeType || e instanceof l) {
                    for (t = e.nodeType ? [e] : e, n = 0; n < t.length; n += 1) if (t[n] === i) return !0;
                    return !1;
                }
                return !1;
            },
            index: function () {
                var e,
                    t = this[0];
                if (t) {
                    for (e = 0; null !== (t = t.previousSibling); ) 1 === t.nodeType && (e += 1);
                    return e;
                }
            },
            eq: function (e) {
                if (void 0 === e) return this;
                var t = this.length;
                return new l(t - 1 < e ? [] : e < 0 ? ((t = t + e) < 0 ? [] : [this[t]]) : [this[e]]);
            },
            append: function () {
                for (var e = [], t = arguments.length; t--; ) e[t] = arguments[t];
                for (var n = 0; n < e.length; n += 1)
                    for (var i = e[n], r = 0; r < this.length; r += 1)
                        if ("string" == typeof i) {
                            var a = c.createElement("div");
                            for (a.innerHTML = i; a.firstChild; ) this[r].appendChild(a.firstChild);
                        } else if (i instanceof l) for (var o = 0; o < i.length; o += 1) this[r].appendChild(i[o]);
                        else this[r].appendChild(i);
                return this;
            },
            prepend: function (e) {
                for (var t, n = 0; n < this.length; n += 1)
                    if ("string" == typeof e) {
                        var i = c.createElement("div");
                        for (i.innerHTML = e, t = i.childNodes.length - 1; 0 <= t; --t) this[n].insertBefore(i.childNodes[t], this[n].childNodes[0]);
                    } else if (e instanceof l) for (t = 0; t < e.length; t += 1) this[n].insertBefore(e[t], this[n].childNodes[0]);
                    else this[n].insertBefore(e, this[n].childNodes[0]);
                return this;
            },
            next: function (e) {
                return 0 < this.length
                    ? e
                        ? this[0].nextElementSibling && v(this[0].nextElementSibling).is(e)
                            ? new l([this[0].nextElementSibling])
                            : new l([])
                        : this[0].nextElementSibling
                        ? new l([this[0].nextElementSibling])
                        : new l([])
                    : new l([]);
            },
            nextAll: function (e) {
                var t = [],
                    n = this[0];
                if (!n) return new l([]);
                for (; n.nextElementSibling; ) {
                    var i = n.nextElementSibling;
                    (e && !v(i).is(e)) || t.push(i), (n = i);
                }
                return new l(t);
            },
            prev: function (e) {
                if (0 < this.length) {
                    var t = this[0];
                    return e ? (t.previousElementSibling && v(t.previousElementSibling).is(e) ? new l([t.previousElementSibling]) : new l([])) : t.previousElementSibling ? new l([t.previousElementSibling]) : new l([]);
                }
                return new l([]);
            },
            prevAll: function (e) {
                var t = [],
                    n = this[0];
                if (!n) return new l([]);
                for (; n.previousElementSibling; ) {
                    var i = n.previousElementSibling;
                    (e && !v(i).is(e)) || t.push(i), (n = i);
                }
                return new l(t);
            },
            parent: function (e) {
                for (var t = [], n = 0; n < this.length; n += 1) null === this[n].parentNode || (e && !v(this[n].parentNode).is(e)) || t.push(this[n].parentNode);
                return v(a(t));
            },
            parents: function (e) {
                for (var t = [], n = 0; n < this.length; n += 1) for (var i = this[n].parentNode; i; ) (e && !v(i).is(e)) || t.push(i), (i = i.parentNode);
                return v(a(t));
            },
            closest: function (e) {
                var t = this;
                return void 0 === e ? new l([]) : (t = !t.is(e) ? t.parents(e).eq(0) : t);
            },
            find: function (e) {
                for (var t = [], n = 0; n < this.length; n += 1) for (var i = this[n].querySelectorAll(e), r = 0; r < i.length; r += 1) t.push(i[r]);
                return new l(t);
            },
            children: function (e) {
                for (var t = [], n = 0; n < this.length; n += 1) for (var i = this[n].childNodes, r = 0; r < i.length; r += 1) e ? 1 === i[r].nodeType && v(i[r]).is(e) && t.push(i[r]) : 1 === i[r].nodeType && t.push(i[r]);
                return new l(a(t));
            },
            remove: function () {
                for (var e = 0; e < this.length; e += 1) this[e].parentNode && this[e].parentNode.removeChild(this[e]);
                return this;
            },
            add: function () {
                for (var e, t = [], n = arguments.length; n--; ) t[n] = arguments[n];
                for (e = 0; e < t.length; e += 1) for (var i = v(t[e]), r = 0; r < i.length; r += 1) (this[this.length] = i[r]), (this.length += 1);
                return this;
            },
            styles: function () {
                return this[0] ? V.getComputedStyle(this[0], null) : {};
            },
        };
        Object.keys(t).forEach(function (e) {
            v.fn[e] = t[e];
        });
        var i,
            W = {
                deleteProps: function (e) {
                    var t = e;
                    Object.keys(t).forEach(function (e) {
                        try {
                            t[e] = null;
                        } catch (e) {}
                        try {
                            delete t[e];
                        } catch (e) {}
                    });
                },
                nextTick: function (e, t) {
                    return void 0 === t && (t = 0), setTimeout(e, t);
                },
                now: function () {
                    return Date.now();
                },
                getTranslate: function (e, t) {
                    var n, i, r;
                    void 0 === t && (t = "x");
                    e = V.getComputedStyle(e, null);
                    return (
                        V.WebKitCSSMatrix
                            ? (6 < (i = e.transform || e.webkitTransform).split(",").length &&
                                  (i = i
                                      .split(", ")
                                      .map(function (e) {
                                          return e.replace(",", ".");
                                      })
                                      .join(", ")),
                              (r = new V.WebKitCSSMatrix("none" === i ? "" : i)))
                            : (n = (r = e.MozTransform || e.OTransform || e.MsTransform || e.msTransform || e.transform || e.getPropertyValue("transform").replace("translate(", "matrix(1, 0, 0, 1,")).toString().split(",")),
                        "x" === t && (i = V.WebKitCSSMatrix ? r.m41 : 16 === n.length ? parseFloat(n[12]) : parseFloat(n[4])),
                        (i = "y" === t ? (V.WebKitCSSMatrix ? r.m42 : 16 === n.length ? parseFloat(n[13]) : parseFloat(n[5])) : i) || 0
                    );
                },
                parseUrlQuery: function (e) {
                    var t,
                        n,
                        i,
                        r,
                        a = {},
                        e = e || V.location.href;
                    if ("string" == typeof e && e.length)
                        for (
                            r = (n = (e = -1 < e.indexOf("?") ? e.replace(/\S*\?/, "") : "").split("&").filter(function (e) {
                                return "" !== e;
                            })).length,
                                t = 0;
                            t < r;
                            t += 1
                        )
                            (i = n[t].replace(/#\S+/g, "").split("=")), (a[decodeURIComponent(i[0])] = void 0 === i[1] ? void 0 : decodeURIComponent(i[1]) || "");
                    return a;
                },
                isObject: function (e) {
                    return "object" == typeof e && null !== e && e.constructor && e.constructor === Object;
                },
                extend: function () {
                    for (var e = [], t = arguments.length; t--; ) e[t] = arguments[t];
                    for (var n = Object(e[0]), i = 1; i < e.length; i += 1) {
                        var r = e[i];
                        if (null != r)
                            for (var a = Object.keys(Object(r)), o = 0, s = a.length; o < s; o += 1) {
                                var l = a[o],
                                    d = Object.getOwnPropertyDescriptor(r, l);
                                void 0 !== d && d.enumerable && (W.isObject(n[l]) && W.isObject(r[l]) ? W.extend(n[l], r[l]) : !W.isObject(n[l]) && W.isObject(r[l]) ? ((n[l] = {}), W.extend(n[l], r[l])) : (n[l] = r[l]));
                            }
                    }
                    return n;
                },
            },
            G =
                ((i = c.createElement("div")),
                {
                    touch: (V.Modernizr && !0 === V.Modernizr.touch) || !!(0 < V.navigator.maxTouchPoints || "ontouchstart" in V || (V.DocumentTouch && c instanceof V.DocumentTouch)),
                    pointerEvents: !!(V.navigator.pointerEnabled || V.PointerEvent || "maxTouchPoints" in V.navigator),
                    prefixedPointerEvents: !!V.navigator.msPointerEnabled,
                    transition: "transition" in (w = i.style) || "webkitTransition" in w || "MozTransition" in w,
                    transforms3d: (V.Modernizr && !0 === V.Modernizr.csstransforms3d) || "webkitPerspective" in (s = i.style) || "MozPerspective" in s || "OPerspective" in s || "MsPerspective" in s || "perspective" in s,
                    flexbox: (function () {
                        for (
                            var e = i.style, t = "alignItems webkitAlignItems webkitBoxAlign msFlexAlign mozBoxAlign webkitFlexDirection msFlexDirection mozBoxDirection mozBoxOrient webkitBoxDirection webkitBoxOrient".split(" "), n = 0;
                            n < t.length;
                            n += 1
                        )
                            if (t[n] in e) return !0;
                        return !1;
                    })(),
                    observer: "MutationObserver" in V || "WebkitMutationObserver" in V,
                    passiveListener: (function () {
                        var e = !1;
                        try {
                            var t = Object.defineProperty({}, "passive", {
                                get: function () {
                                    e = !0;
                                },
                            });
                            V.addEventListener("testPassiveListener", null, t);
                        } catch (e) {}
                        return e;
                    })(),
                    gestures: "ongesturestart" in V,
                }),
            e = function (e) {
                void 0 === e && (e = {});
                var t = this;
                (t.params = e),
                    (t.eventsListeners = {}),
                    t.params &&
                        t.params.on &&
                        Object.keys(t.params.on).forEach(function (e) {
                            t.on(e, t.params.on[e]);
                        });
            },
            n = { components: { configurable: !0 } };
        (e.prototype.on = function (e, t, n) {
            var i = this;
            if ("function" != typeof t) return i;
            var r = n ? "unshift" : "push";
            return (
                e.split(" ").forEach(function (e) {
                    i.eventsListeners[e] || (i.eventsListeners[e] = []), i.eventsListeners[e][r](t);
                }),
                i
            );
        }),
            (e.prototype.once = function (i, r, e) {
                var a = this;
                return "function" != typeof r
                    ? a
                    : a.on(
                          i,
                          function e() {
                              for (var t = [], n = arguments.length; n--; ) t[n] = arguments[n];
                              r.apply(a, t), a.off(i, e);
                          },
                          e
                      );
            }),
            (e.prototype.off = function (e, i) {
                var r = this;
                return (
                    r.eventsListeners &&
                        e.split(" ").forEach(function (n) {
                            void 0 === i
                                ? (r.eventsListeners[n] = [])
                                : r.eventsListeners[n] &&
                                  r.eventsListeners[n].length &&
                                  r.eventsListeners[n].forEach(function (e, t) {
                                      e === i && r.eventsListeners[n].splice(t, 1);
                                  });
                        }),
                    r
                );
            }),
            (e.prototype.emit = function () {
                for (var e = [], t = arguments.length; t--; ) e[t] = arguments[t];
                var n,
                    i,
                    r,
                    a = this;
                return (
                    a.eventsListeners &&
                        ((r = "string" == typeof e[0] || Array.isArray(e[0]) ? ((n = e[0]), (i = e.slice(1, e.length)), a) : ((n = e[0].events), (i = e[0].data), e[0].context || a)),
                        (Array.isArray(n) ? n : n.split(" ")).forEach(function (e) {
                            var t;
                            a.eventsListeners &&
                                a.eventsListeners[e] &&
                                ((t = []),
                                a.eventsListeners[e].forEach(function (e) {
                                    t.push(e);
                                }),
                                t.forEach(function (e) {
                                    e.apply(r, i);
                                }));
                        })),
                    a
                );
            }),
            (e.prototype.useModulesParams = function (t) {
                var n = this;
                n.modules &&
                    Object.keys(n.modules).forEach(function (e) {
                        e = n.modules[e];
                        e.params && W.extend(t, e.params);
                    });
            }),
            (e.prototype.useModules = function (t) {
                void 0 === t && (t = {});
                var i = this;
                i.modules &&
                    Object.keys(i.modules).forEach(function (e) {
                        var n = i.modules[e],
                            e = t[e] || {};
                        n.instance &&
                            Object.keys(n.instance).forEach(function (e) {
                                var t = n.instance[e];
                                i[e] = "function" == typeof t ? t.bind(i) : t;
                            }),
                            n.on &&
                                i.on &&
                                Object.keys(n.on).forEach(function (e) {
                                    i.on(e, n.on[e]);
                                }),
                            n.create && n.create.bind(i)(e);
                    });
            }),
            (n.components.set = function (e) {
                this.use && this.use(e);
            }),
            (e.installModule = function (t) {
                for (var e = [], n = arguments.length - 1; 0 < n--; ) e[n] = arguments[n + 1];
                var i = this;
                i.prototype.modules || (i.prototype.modules = {});
                var r = t.name || Object.keys(i.prototype.modules).length + "_" + W.now();
                return (
                    (i.prototype.modules[r] = t).proto &&
                        Object.keys(t.proto).forEach(function (e) {
                            i.prototype[e] = t.proto[e];
                        }),
                    t.static &&
                        Object.keys(t.static).forEach(function (e) {
                            i[e] = t.static[e];
                        }),
                    t.install && t.install.apply(i, e),
                    i
                );
            }),
            (e.use = function (e) {
                for (var t = [], n = arguments.length - 1; 0 < n--; ) t[n] = arguments[n + 1];
                var i = this;
                return Array.isArray(e)
                    ? (e.forEach(function (e) {
                          return i.installModule(e);
                      }),
                      i)
                    : i.installModule.apply(i, [e].concat(t));
            }),
            Object.defineProperties(e, n);
        var r,
            o,
            s,
            d = {
                updateSize: function () {
                    var e = this,
                        t = e.$el,
                        n = void 0 !== e.params.width ? e.params.width : t[0].clientWidth,
                        i = void 0 !== e.params.height ? e.params.height : t[0].clientHeight;
                    (0 === n && e.isHorizontal()) ||
                        (0 === i && e.isVertical()) ||
                        ((n = n - parseInt(t.css("padding-left"), 10) - parseInt(t.css("padding-right"), 10)),
                        (i = i - parseInt(t.css("padding-top"), 10) - parseInt(t.css("padding-bottom"), 10)),
                        W.extend(e, { width: n, height: i, size: e.isHorizontal() ? n : i }));
                },
                updateSlides: function () {
                    var e = this,
                        t = e.params,
                        n = e.$wrapperEl,
                        i = e.size,
                        r = e.rtlTranslate,
                        a = e.wrongRTL,
                        o = e.virtual && t.virtual.enabled,
                        s = (o ? e.virtual : e).slides.length,
                        l = n.children("." + e.params.slideClass),
                        d = (o ? e.virtual.slides : l).length,
                        u = [],
                        c = [],
                        p = [],
                        f = t.slidesOffsetBefore;
                    "function" == typeof f && (f = t.slidesOffsetBefore.call(e));
                    var h = t.slidesOffsetAfter;
                    "function" == typeof h && (h = t.slidesOffsetAfter.call(e));
                    var v,
                        m = e.snapGrid.length,
                        o = e.snapGrid.length,
                        g = t.spaceBetween,
                        y = -f,
                        x = 0,
                        w = 0;
                    if (void 0 !== i) {
                        "string" == typeof g && 0 <= g.indexOf("%") && (g = (parseFloat(g.replace("%", "")) / 100) * i),
                            (e.virtualSize = -g),
                            r ? l.css({ marginLeft: "", marginTop: "" }) : l.css({ marginRight: "", marginBottom: "" }),
                            1 < t.slidesPerColumn &&
                                ((v = Math.floor(d / t.slidesPerColumn) === d / e.params.slidesPerColumn ? d : Math.ceil(d / t.slidesPerColumn) * t.slidesPerColumn),
                                "auto" !== t.slidesPerView && "row" === t.slidesPerColumnFill && (v = Math.max(v, t.slidesPerView * t.slidesPerColumn)));
                        for (var b, T, C = t.slidesPerColumn, S = v / C, E = Math.floor(d / t.slidesPerColumn), k = 0; k < d; k += 1) {
                            M = 0;
                            var A,
                                P,
                                L,
                                M,
                                D,
                                $,
                                I,
                                N,
                                z,
                                O,
                                j = l.eq(k);
                            1 < t.slidesPerColumn &&
                                ((L = P = A = void 0),
                                "column" === t.slidesPerColumnFill
                                    ? ((L = k - (P = Math.floor(k / C)) * C),
                                      (E < P || (P === E && L === C - 1)) && C <= (L += 1) && ((L = 0), (P += 1)),
                                      (A = P + (L * v) / C),
                                      j.css({ "-webkit-box-ordinal-group": A, "-moz-box-ordinal-group": A, "-ms-flex-order": A, "-webkit-order": A, order: A }))
                                    : (P = k - (L = Math.floor(k / S)) * S),
                                j
                                    .css("margin-" + (e.isHorizontal() ? "top" : "left"), 0 !== L && t.spaceBetween && t.spaceBetween + "px")
                                    .attr("data-swiper-column", P)
                                    .attr("data-swiper-row", L)),
                                "none" !== j.css("display") &&
                                    ("auto" === t.slidesPerView
                                        ? ((O = V.getComputedStyle(j[0], null)),
                                          (A = j[0].style.transform),
                                          (P = j[0].style.webkitTransform),
                                          A && (j[0].style.transform = "none"),
                                          P && (j[0].style.webkitTransform = "none"),
                                          (M = t.roundLengths
                                              ? e.isHorizontal()
                                                  ? j.outerWidth(!0)
                                                  : j.outerHeight(!0)
                                              : e.isHorizontal()
                                              ? ((D = parseFloat(O.getPropertyValue("width"))),
                                                ($ = parseFloat(O.getPropertyValue("padding-left"))),
                                                (I = parseFloat(O.getPropertyValue("padding-right"))),
                                                (N = parseFloat(O.getPropertyValue("margin-left"))),
                                                (z = parseFloat(O.getPropertyValue("margin-right"))),
                                                (L = O.getPropertyValue("box-sizing")) && "border-box" === L ? D + N + z : D + $ + I + N + z)
                                              : ((D = parseFloat(O.getPropertyValue("height"))),
                                                ($ = parseFloat(O.getPropertyValue("padding-top"))),
                                                (I = parseFloat(O.getPropertyValue("padding-bottom"))),
                                                (N = parseFloat(O.getPropertyValue("margin-top"))),
                                                (z = parseFloat(O.getPropertyValue("margin-bottom"))),
                                                (O = O.getPropertyValue("box-sizing")) && "border-box" === O ? D + N + z : D + $ + I + N + z)),
                                          A && (j[0].style.transform = A),
                                          P && (j[0].style.webkitTransform = P),
                                          t.roundLengths && (M = Math.floor(M)))
                                        : ((M = (i - (t.slidesPerView - 1) * g) / t.slidesPerView), t.roundLengths && (M = Math.floor(M)), l[k] && (e.isHorizontal() ? (l[k].style.width = M + "px") : (l[k].style.height = M + "px"))),
                                    l[k] && (l[k].swiperSlideSize = M),
                                    p.push(M),
                                    t.centeredSlides
                                        ? ((y = y + M / 2 + x / 2 + g),
                                          0 === x && 0 !== k && (y = y - i / 2 - g),
                                          0 === k && (y = y - i / 2 - g),
                                          Math.abs(y) < 0.001 && (y = 0),
                                          t.roundLengths && (y = Math.floor(y)),
                                          w % t.slidesPerGroup == 0 && u.push(y),
                                          c.push(y))
                                        : (t.roundLengths && (y = Math.floor(y)), w % t.slidesPerGroup == 0 && u.push(y), c.push(y), (y = y + M + g)),
                                    (e.virtualSize += M + g),
                                    (x = M),
                                    (w += 1));
                        }
                        if (
                            ((e.virtualSize = Math.max(e.virtualSize, i) + h),
                            r && a && ("slide" === t.effect || "coverflow" === t.effect) && n.css({ width: e.virtualSize + t.spaceBetween + "px" }),
                            (G.flexbox && !t.setWrapperSize) || (e.isHorizontal() ? n.css({ width: e.virtualSize + t.spaceBetween + "px" }) : n.css({ height: e.virtualSize + t.spaceBetween + "px" })),
                            1 < t.slidesPerColumn &&
                                ((e.virtualSize = (M + t.spaceBetween) * v),
                                (e.virtualSize = Math.ceil(e.virtualSize / t.slidesPerColumn) - t.spaceBetween),
                                e.isHorizontal() ? n.css({ width: e.virtualSize + t.spaceBetween + "px" }) : n.css({ height: e.virtualSize + t.spaceBetween + "px" }),
                                t.centeredSlides))
                        ) {
                            for (var q = [], H = 0; H < u.length; H += 1) {
                                var B = u[H];
                                t.roundLengths && (B = Math.floor(B)), u[H] < e.virtualSize + u[0] && q.push(B);
                            }
                            u = q;
                        }
                        if (!t.centeredSlides) {
                            q = [];
                            for (var F = 0; F < u.length; F += 1) {
                                var R = u[F];
                                t.roundLengths && (R = Math.floor(R)), u[F] <= e.virtualSize - i && q.push(R);
                            }
                            (u = q), 1 < Math.floor(e.virtualSize - i) - Math.floor(u[u.length - 1]) && u.push(e.virtualSize - i);
                        }
                        0 === u.length && (u = [0]),
                            0 !== t.spaceBetween && (e.isHorizontal() ? (r ? l.css({ marginLeft: g + "px" }) : l.css({ marginRight: g + "px" })) : l.css({ marginBottom: g + "px" })),
                            t.centerInsufficientSlides &&
                                ((b = 0),
                                p.forEach(function (e) {
                                    b += e + (t.spaceBetween || 0);
                                }),
                                (b -= t.spaceBetween) < i &&
                                    ((T = (i - b) / 2),
                                    u.forEach(function (e, t) {
                                        u[t] = e - T;
                                    }),
                                    c.forEach(function (e, t) {
                                        c[t] = e + T;
                                    }))),
                            W.extend(e, { slides: l, snapGrid: u, slidesGrid: c, slidesSizesGrid: p }),
                            d !== s && e.emit("slidesLengthChange"),
                            u.length !== m && (e.params.watchOverflow && e.checkOverflow(), e.emit("snapGridLengthChange")),
                            c.length !== o && e.emit("slidesGridLengthChange"),
                            (t.watchSlidesProgress || t.watchSlidesVisibility) && e.updateSlidesOffset();
                    }
                },
                updateAutoHeight: function (e) {
                    var t,
                        n,
                        i = this,
                        r = [],
                        a = 0;
                    if (("number" == typeof e ? i.setTransition(e) : !0 === e && i.setTransition(i.params.speed), "auto" !== i.params.slidesPerView && 1 < i.params.slidesPerView))
                        for (t = 0; t < Math.ceil(i.params.slidesPerView); t += 1) {
                            var o = i.activeIndex + t;
                            if (o > i.slides.length) break;
                            r.push(i.slides.eq(o)[0]);
                        }
                    else r.push(i.slides.eq(i.activeIndex)[0]);
                    for (t = 0; t < r.length; t += 1) void 0 !== r[t] && (a = a < (n = r[t].offsetHeight) ? n : a);
                    a && i.$wrapperEl.css("height", a + "px");
                },
                updateSlidesOffset: function () {
                    for (var e = this.slides, t = 0; t < e.length; t += 1) e[t].swiperSlideOffset = this.isHorizontal() ? e[t].offsetLeft : e[t].offsetTop;
                },
                updateSlidesProgress: function (e) {
                    void 0 === e && (e = (this && this.translate) || 0);
                    var t = this,
                        n = t.params,
                        i = t.slides,
                        r = t.rtlTranslate;
                    if (0 !== i.length) {
                        void 0 === i[0].swiperSlideOffset && t.updateSlidesOffset();
                        var a = r ? e : -e;
                        i.removeClass(n.slideVisibleClass), (t.visibleSlidesIndexes = []), (t.visibleSlides = []);
                        for (var o = 0; o < i.length; o += 1) {
                            var s,
                                l,
                                d = i[o],
                                u = (a + (n.centeredSlides ? t.minTranslate() : 0) - d.swiperSlideOffset) / (d.swiperSlideSize + n.spaceBetween);
                            n.watchSlidesVisibility &&
                                ((l = (s = -(a - d.swiperSlideOffset)) + t.slidesSizesGrid[o]),
                                ((0 <= s && s < t.size) || (0 < l && l <= t.size) || (s <= 0 && l >= t.size)) && (t.visibleSlides.push(d), t.visibleSlidesIndexes.push(o), i.eq(o).addClass(n.slideVisibleClass))),
                                (d.progress = r ? -u : u);
                        }
                        t.visibleSlides = v(t.visibleSlides);
                    }
                },
                updateProgress: function (e) {
                    void 0 === e && (e = (this && this.translate) || 0);
                    var t = this,
                        n = t.params,
                        i = t.maxTranslate() - t.minTranslate(),
                        r = t.progress,
                        a = t.isBeginning,
                        o = a,
                        s = (l = t.isEnd),
                        l = 0 == i ? (a = !(r = 0)) : ((a = (r = (e - t.minTranslate()) / i) <= 0), 1 <= r);
                    W.extend(t, { progress: r, isBeginning: a, isEnd: l }),
                        (n.watchSlidesProgress || n.watchSlidesVisibility) && t.updateSlidesProgress(e),
                        a && !o && t.emit("reachBeginning toEdge"),
                        l && !s && t.emit("reachEnd toEdge"),
                        ((o && !a) || (s && !l)) && t.emit("fromEdge"),
                        t.emit("progress", r);
                },
                updateSlidesClasses: function () {
                    var e = this,
                        t = e.slides,
                        n = e.params,
                        i = e.$wrapperEl,
                        r = e.activeIndex,
                        a = e.realIndex,
                        o = e.virtual && n.virtual.enabled;
                    t.removeClass(n.slideActiveClass + " " + n.slideNextClass + " " + n.slidePrevClass + " " + n.slideDuplicateActiveClass + " " + n.slideDuplicateNextClass + " " + n.slideDuplicatePrevClass),
                        (r = o ? e.$wrapperEl.find("." + n.slideClass + '[data-swiper-slide-index="' + r + '"]') : t.eq(r)).addClass(n.slideActiveClass),
                        n.loop &&
                            (r.hasClass(n.slideDuplicateClass)
                                ? i.children("." + n.slideClass + ":not(." + n.slideDuplicateClass + ')[data-swiper-slide-index="' + a + '"]')
                                : i.children("." + n.slideClass + "." + n.slideDuplicateClass + '[data-swiper-slide-index="' + a + '"]')
                            ).addClass(n.slideDuplicateActiveClass);
                    a = r
                        .nextAll("." + n.slideClass)
                        .eq(0)
                        .addClass(n.slideNextClass);
                    n.loop && 0 === a.length && (a = t.eq(0)).addClass(n.slideNextClass);
                    r = r
                        .prevAll("." + n.slideClass)
                        .eq(0)
                        .addClass(n.slidePrevClass);
                    n.loop && 0 === r.length && (r = t.eq(-1)).addClass(n.slidePrevClass),
                        n.loop &&
                            ((a.hasClass(n.slideDuplicateClass)
                                ? i.children("." + n.slideClass + ":not(." + n.slideDuplicateClass + ')[data-swiper-slide-index="' + a.attr("data-swiper-slide-index") + '"]')
                                : i.children("." + n.slideClass + "." + n.slideDuplicateClass + '[data-swiper-slide-index="' + a.attr("data-swiper-slide-index") + '"]')
                            ).addClass(n.slideDuplicateNextClass),
                            (r.hasClass(n.slideDuplicateClass)
                                ? i.children("." + n.slideClass + ":not(." + n.slideDuplicateClass + ')[data-swiper-slide-index="' + r.attr("data-swiper-slide-index") + '"]')
                                : i.children("." + n.slideClass + "." + n.slideDuplicateClass + '[data-swiper-slide-index="' + r.attr("data-swiper-slide-index") + '"]')
                            ).addClass(n.slideDuplicatePrevClass));
                },
                updateActiveIndex: function (e) {
                    var t = this,
                        n = t.rtlTranslate ? t.translate : -t.translate,
                        i = t.slidesGrid,
                        r = t.snapGrid,
                        a = t.params,
                        o = t.activeIndex,
                        s = t.realIndex,
                        l = t.snapIndex,
                        d = e;
                    if (void 0 === d) {
                        for (var u = 0; u < i.length; u += 1) void 0 !== i[u + 1] ? (n >= i[u] && n < i[u + 1] - (i[u + 1] - i[u]) / 2 ? (d = u) : n >= i[u] && n < i[u + 1] && (d = u + 1)) : n >= i[u] && (d = u);
                        a.normalizeSlideIndex && (d < 0 || void 0 === d) && (d = 0);
                    }
                    (a = 0 <= r.indexOf(n) ? r.indexOf(n) : Math.floor(d / a.slidesPerGroup)) >= r.length && (a = r.length - 1),
                        d !== o
                            ? ((r = parseInt(t.slides.eq(d).attr("data-swiper-slide-index") || d, 10)),
                              W.extend(t, { snapIndex: a, realIndex: r, previousIndex: o, activeIndex: d }),
                              t.emit("activeIndexChange"),
                              t.emit("snapIndexChange"),
                              s !== r && t.emit("realIndexChange"),
                              t.emit("slideChange"))
                            : a !== l && ((t.snapIndex = a), t.emit("snapIndexChange"));
                },
                updateClickedSlide: function (e) {
                    var t = this,
                        n = t.params,
                        i = v(e.target).closest("." + n.slideClass)[0],
                        r = !1;
                    if (i) for (var a = 0; a < t.slides.length; a += 1) t.slides[a] === i && (r = !0);
                    if (!i || !r) return (t.clickedSlide = void 0), void (t.clickedIndex = void 0);
                    (t.clickedSlide = i),
                        t.virtual && t.params.virtual.enabled ? (t.clickedIndex = parseInt(v(i).attr("data-swiper-slide-index"), 10)) : (t.clickedIndex = v(i).index()),
                        n.slideToClickedSlide && void 0 !== t.clickedIndex && t.clickedIndex !== t.activeIndex && t.slideToClickedSlide();
                },
            },
            u = {
                getTranslate: function (e) {
                    void 0 === e && (e = this.isHorizontal() ? "x" : "y");
                    var t = this.params,
                        n = this.rtlTranslate,
                        i = this.translate,
                        r = this.$wrapperEl;
                    if (t.virtualTranslate) return n ? -i : i;
                    e = W.getTranslate(r[0], e);
                    return (e = n ? -e : e) || 0;
                },
                setTranslate: function (e, t) {
                    var n = this,
                        i = n.rtlTranslate,
                        r = n.params,
                        a = n.$wrapperEl,
                        o = n.progress,
                        s = 0,
                        l = 0;
                    n.isHorizontal() ? (s = i ? -e : e) : (l = e),
                        r.roundLengths && ((s = Math.floor(s)), (l = Math.floor(l))),
                        r.virtualTranslate || (G.transforms3d ? a.transform("translate3d(" + s + "px, " + l + "px, 0px)") : a.transform("translate(" + s + "px, " + l + "px)")),
                        (n.previousTranslate = n.translate),
                        (n.translate = n.isHorizontal() ? s : l);
                    l = n.maxTranslate() - n.minTranslate();
                    (0 == l ? 0 : (e - n.minTranslate()) / l) !== o && n.updateProgress(e), n.emit("setTranslate", n.translate, t);
                },
                minTranslate: function () {
                    return -this.snapGrid[0];
                },
                maxTranslate: function () {
                    return -this.snapGrid[this.snapGrid.length - 1];
                },
            },
            p = {
                slideTo: function (e, t, n, i) {
                    void 0 === e && (e = 0), void 0 === t && (t = this.params.speed), void 0 === n && (n = !0);
                    var r = this,
                        a = e;
                    a < 0 && (a = 0);
                    var o = r.params,
                        s = r.snapGrid,
                        l = r.slidesGrid,
                        d = r.previousIndex,
                        u = r.activeIndex,
                        c = r.rtlTranslate;
                    if (r.animating && o.preventInteractionOnTransition) return !1;
                    e = Math.floor(a / o.slidesPerGroup);
                    e >= s.length && (e = s.length - 1), (u || o.initialSlide || 0) === (d || 0) && n && r.emit("beforeSlideChangeStart");
                    var p,
                        f = -s[e];
                    if ((r.updateProgress(f), o.normalizeSlideIndex)) for (var h = 0; h < l.length; h += 1) -Math.floor(100 * f) >= Math.floor(100 * l[h]) && (a = h);
                    if (r.initialized && a !== u) {
                        if (!r.allowSlideNext && f < r.translate && f < r.minTranslate()) return !1;
                        if (!r.allowSlidePrev && f > r.translate && f > r.maxTranslate() && (u || 0) !== a) return !1;
                    }
                    return (
                        (p = u < a ? "next" : a < u ? "prev" : "reset"),
                        (c && -f === r.translate) || (!c && f === r.translate)
                            ? (r.updateActiveIndex(a), o.autoHeight && r.updateAutoHeight(), r.updateSlidesClasses(), "slide" !== o.effect && r.setTranslate(f), "reset" != p && (r.transitionStart(n, p), r.transitionEnd(n, p)), !1)
                            : (0 !== t && G.transition
                                  ? (r.setTransition(t),
                                    r.setTranslate(f),
                                    r.updateActiveIndex(a),
                                    r.updateSlidesClasses(),
                                    r.emit("beforeTransitionStart", t, i),
                                    r.transitionStart(n, p),
                                    r.animating ||
                                        ((r.animating = !0),
                                        r.onSlideToWrapperTransitionEnd ||
                                            (r.onSlideToWrapperTransitionEnd = function (e) {
                                                r &&
                                                    !r.destroyed &&
                                                    e.target === this &&
                                                    (r.$wrapperEl[0].removeEventListener("transitionend", r.onSlideToWrapperTransitionEnd),
                                                    r.$wrapperEl[0].removeEventListener("webkitTransitionEnd", r.onSlideToWrapperTransitionEnd),
                                                    (r.onSlideToWrapperTransitionEnd = null),
                                                    delete r.onSlideToWrapperTransitionEnd,
                                                    r.transitionEnd(n, p));
                                            }),
                                        r.$wrapperEl[0].addEventListener("transitionend", r.onSlideToWrapperTransitionEnd),
                                        r.$wrapperEl[0].addEventListener("webkitTransitionEnd", r.onSlideToWrapperTransitionEnd)))
                                  : (r.setTransition(0), r.setTranslate(f), r.updateActiveIndex(a), r.updateSlidesClasses(), r.emit("beforeTransitionStart", t, i), r.transitionStart(n, p), r.transitionEnd(n, p)),
                              !0)
                    );
                },
                slideToLoop: function (e, t, n, i) {
                    void 0 === e && (e = 0), void 0 === t && (t = this.params.speed), void 0 === n && (n = !0);
                    return this.params.loop && (e += this.loopedSlides), this.slideTo(e, t, n, i);
                },
                slideNext: function (e, t, n) {
                    void 0 === e && (e = this.params.speed), void 0 === t && (t = !0);
                    var i = this,
                        r = i.params,
                        a = i.animating;
                    return r.loop ? !a && (i.loopFix(), (i._clientLeft = i.$wrapperEl[0].clientLeft), i.slideTo(i.activeIndex + r.slidesPerGroup, e, t, n)) : i.slideTo(i.activeIndex + r.slidesPerGroup, e, t, n);
                },
                slidePrev: function (e, t, n) {
                    void 0 === e && (e = this.params.speed), void 0 === t && (t = !0);
                    var i = this,
                        r = i.params,
                        a = i.animating,
                        o = i.snapGrid,
                        s = i.slidesGrid,
                        l = i.rtlTranslate;
                    if (r.loop) {
                        if (a) return !1;
                        i.loopFix(), (i._clientLeft = i.$wrapperEl[0].clientLeft);
                    }
                    function d(e) {
                        return e < 0 ? -Math.floor(Math.abs(e)) : Math.floor(e);
                    }
                    var u,
                        a = d(l ? i.translate : -i.translate),
                        l = o.map(d),
                        a = (s.map(d), o[l.indexOf(a)], o[l.indexOf(a) - 1]);
                    return void 0 !== a && (u = s.indexOf(a)) < 0 && (u = i.activeIndex - 1), i.slideTo(u, e, t, n);
                },
                slideReset: function (e, t, n) {
                    return void 0 === e && (e = this.params.speed), void 0 === t && (t = !0), this.slideTo(this.activeIndex, e, t, n);
                },
                slideToClosest: function (e, t, n) {
                    void 0 === e && (e = this.params.speed), void 0 === t && (t = !0);
                    var i,
                        r,
                        a = this,
                        o = a.activeIndex,
                        s = Math.floor(o / a.params.slidesPerGroup);
                    return s < a.snapGrid.length - 1 && ((i = a.rtlTranslate ? a.translate : -a.translate), (r = a.snapGrid[s]), (a.snapGrid[s + 1] - r) / 2 < i - r && (o = a.params.slidesPerGroup)), a.slideTo(o, e, t, n);
                },
                slideToClickedSlide: function () {
                    var e,
                        t = this,
                        n = t.params,
                        i = t.$wrapperEl,
                        r = "auto" === n.slidesPerView ? t.slidesPerViewDynamic() : n.slidesPerView,
                        a = t.clickedIndex;
                    n.loop
                        ? t.animating ||
                          ((e = parseInt(v(t.clickedSlide).attr("data-swiper-slide-index"), 10)),
                          n.centeredSlides
                              ? a < t.loopedSlides - r / 2 || a > t.slides.length - t.loopedSlides + r / 2
                                  ? (t.loopFix(),
                                    (a = i
                                        .children("." + n.slideClass + '[data-swiper-slide-index="' + e + '"]:not(.' + n.slideDuplicateClass + ")")
                                        .eq(0)
                                        .index()),
                                    W.nextTick(function () {
                                        t.slideTo(a);
                                    }))
                                  : t.slideTo(a)
                              : a > t.slides.length - r
                              ? (t.loopFix(),
                                (a = i
                                    .children("." + n.slideClass + '[data-swiper-slide-index="' + e + '"]:not(.' + n.slideDuplicateClass + ")")
                                    .eq(0)
                                    .index()),
                                W.nextTick(function () {
                                    t.slideTo(a);
                                }))
                              : t.slideTo(a))
                        : t.slideTo(a);
                },
            },
            f = {
                loopCreate: function () {
                    var i = this,
                        e = i.params,
                        t = i.$wrapperEl;
                    t.children("." + e.slideClass + "." + e.slideDuplicateClass).remove();
                    var r = t.children("." + e.slideClass);
                    if (e.loopFillGroupWithBlank) {
                        var n = e.slidesPerGroup - (r.length % e.slidesPerGroup);
                        if (n !== e.slidesPerGroup) {
                            for (var a = 0; a < n; a += 1) {
                                var o = v(c.createElement("div")).addClass(e.slideClass + " " + e.slideBlankClass);
                                t.append(o);
                            }
                            r = t.children("." + e.slideClass);
                        }
                    }
                    "auto" !== e.slidesPerView || e.loopedSlides || (e.loopedSlides = r.length),
                        (i.loopedSlides = parseInt(e.loopedSlides || e.slidesPerView, 10)),
                        (i.loopedSlides += e.loopAdditionalSlides),
                        i.loopedSlides > r.length && (i.loopedSlides = r.length);
                    var s = [],
                        l = [];
                    r.each(function (e, t) {
                        var n = v(t);
                        e < i.loopedSlides && l.push(t), e < r.length && e >= r.length - i.loopedSlides && s.push(t), n.attr("data-swiper-slide-index", e);
                    });
                    for (var d = 0; d < l.length; d += 1) t.append(v(l[d].cloneNode(!0)).addClass(e.slideDuplicateClass));
                    for (var u = s.length - 1; 0 <= u; --u) t.prepend(v(s[u].cloneNode(!0)).addClass(e.slideDuplicateClass));
                },
                loopFix: function () {
                    var e,
                        t = this,
                        n = t.params,
                        i = t.activeIndex,
                        r = t.slides,
                        a = t.loopedSlides,
                        o = t.allowSlidePrev,
                        s = t.allowSlideNext,
                        l = t.snapGrid,
                        d = t.rtlTranslate;
                    (t.allowSlidePrev = !0), (t.allowSlideNext = !0);
                    l = -l[i] - t.getTranslate();
                    i < a
                        ? ((e = r.length - 3 * a + i), (e += a), t.slideTo(e, 0, !1, !0) && 0 != l && t.setTranslate((d ? -t.translate : t.translate) - l))
                        : (("auto" === n.slidesPerView && 2 * a <= i) || i >= r.length - a) && ((e = -r.length + i + a), (e += a), t.slideTo(e, 0, !1, !0) && 0 != l && t.setTranslate((d ? -t.translate : t.translate) - l)),
                        (t.allowSlidePrev = o),
                        (t.allowSlideNext = s);
                },
                loopDestroy: function () {
                    var e = this.$wrapperEl,
                        t = this.params,
                        n = this.slides;
                    e.children("." + t.slideClass + "." + t.slideDuplicateClass + ",." + t.slideClass + "." + t.slideBlankClass).remove(), n.removeAttr("data-swiper-slide-index");
                },
            },
            h = {
                setGrabCursor: function (e) {
                    var t;
                    G.touch ||
                        !this.params.simulateTouch ||
                        (this.params.watchOverflow && this.isLocked) ||
                        (((t = this.el).style.cursor = "move"), (t.style.cursor = e ? "-webkit-grabbing" : "-webkit-grab"), (t.style.cursor = e ? "-moz-grabbin" : "-moz-grab"), (t.style.cursor = e ? "grabbing" : "grab"));
                },
                unsetGrabCursor: function () {
                    G.touch || (this.params.watchOverflow && this.isLocked) || (this.el.style.cursor = "");
                },
            },
            m = {
                appendSlide: function (e) {
                    var t = this,
                        n = t.$wrapperEl,
                        i = t.params;
                    if ((i.loop && t.loopDestroy(), "object" == typeof e && "length" in e)) for (var r = 0; r < e.length; r += 1) e[r] && n.append(e[r]);
                    else n.append(e);
                    i.loop && t.loopCreate(), (i.observer && G.observer) || t.update();
                },
                prependSlide: function (e) {
                    var t = this,
                        n = t.params,
                        i = t.$wrapperEl,
                        r = t.activeIndex;
                    n.loop && t.loopDestroy();
                    var a = r + 1;
                    if ("object" == typeof e && "length" in e) {
                        for (var o = 0; o < e.length; o += 1) e[o] && i.prepend(e[o]);
                        a = r + e.length;
                    } else i.prepend(e);
                    n.loop && t.loopCreate(), (n.observer && G.observer) || t.update(), t.slideTo(a, 0, !1);
                },
                addSlide: function (e, t) {
                    var n = this,
                        i = n.$wrapperEl,
                        r = n.params,
                        a = n.activeIndex;
                    r.loop && ((a -= n.loopedSlides), n.loopDestroy(), (n.slides = i.children("." + r.slideClass)));
                    var o = n.slides.length;
                    if (e <= 0) n.prependSlide(t);
                    else if (o <= e) n.appendSlide(t);
                    else {
                        for (var s = e < a ? a + 1 : a, l = [], d = o - 1; e <= d; --d) {
                            var u = n.slides.eq(d);
                            u.remove(), l.unshift(u);
                        }
                        if ("object" == typeof t && "length" in t) {
                            for (var c = 0; c < t.length; c += 1) t[c] && i.append(t[c]);
                            s = e < a ? a + t.length : a;
                        } else i.append(t);
                        for (var p = 0; p < l.length; p += 1) i.append(l[p]);
                        r.loop && n.loopCreate(), (r.observer && G.observer) || n.update(), r.loop ? n.slideTo(s + n.loopedSlides, 0, !1) : n.slideTo(s, 0, !1);
                    }
                },
                removeSlide: function (e) {
                    var t = this,
                        n = t.params,
                        i = t.$wrapperEl,
                        r = t.activeIndex;
                    n.loop && ((r -= t.loopedSlides), t.loopDestroy(), (t.slides = i.children("." + n.slideClass)));
                    var a,
                        o = r;
                    if ("object" == typeof e && "length" in e) {
                        for (var s = 0; s < e.length; s += 1) (a = e[s]), t.slides[a] && t.slides.eq(a).remove(), a < o && --o;
                        o = Math.max(o, 0);
                    } else (a = e), t.slides[a] && t.slides.eq(a).remove(), a < o && --o, (o = Math.max(o, 0));
                    n.loop && t.loopCreate(), (n.observer && G.observer) || t.update(), n.loop ? t.slideTo(o + t.loopedSlides, 0, !1) : t.slideTo(o, 0, !1);
                },
                removeAllSlides: function () {
                    for (var e = [], t = 0; t < this.slides.length; t += 1) e.push(t);
                    this.removeSlide(e);
                },
            },
            g =
                ((b = V.navigator.userAgent),
                (x = { ios: !1, android: !1, androidChrome: !1, desktop: !1, windows: !1, iphone: !1, ipod: !1, ipad: !1, cordova: V.cordova || V.phonegap, phonegap: V.cordova || V.phonegap }),
                (r = b.match(/(Windows Phone);?[\s\/]+([\d.]+)?/)),
                (o = b.match(/(Android);?[\s\/]+([\d.]+)?/)),
                (w = b.match(/(iPad).*OS\s([\d_]+)/)),
                (s = b.match(/(iPod)(.*OS\s([\d_]+))?/)),
                (n = !w && b.match(/(iPhone\sOS|iOS)\s([\d_]+)/)),
                r && ((x.os = "windows"), (x.osVersion = r[2]), (x.windows = !0)),
                o && !r && ((x.os = "android"), (x.osVersion = o[2]), (x.android = !0), (x.androidChrome = 0 <= b.toLowerCase().indexOf("chrome"))),
                (w || n || s) && ((x.os = "ios"), (x.ios = !0)),
                n && !s && ((x.osVersion = n[2].replace(/_/g, ".")), (x.iphone = !0)),
                w && ((x.osVersion = w[2].replace(/_/g, ".")), (x.ipad = !0)),
                s && ((x.osVersion = s[3] ? s[3].replace(/_/g, ".") : null), (x.iphone = !0)),
                x.ios && x.osVersion && 0 <= b.indexOf("Version/") && "10" === x.osVersion.split(".")[0] && (x.osVersion = b.toLowerCase().split("version/")[1].split(" ")[0]),
                (x.desktop = !(x.os || x.android || x.webView)),
                (x.webView = (n || w || s) && b.match(/.*AppleWebKit(?!.*Safari)/i)),
                x.os &&
                    "ios" === x.os &&
                    ((w = x.osVersion.split(".")),
                    (b = c.querySelector('meta[name="viewport"]')),
                    (x.minimalUi = !x.webView && (s || n) && (7 == +w[0] ? 1 <= +w[1] : 7 < +w[0]) && b && 0 <= b.getAttribute("content").indexOf("minimal-ui"))),
                (x.pixelRatio = V.devicePixelRatio || 1),
                x);
        function y() {
            var e,
                t,
                n,
                i = this,
                r = i.params,
                a = i.el;
            (a && 0 === a.offsetWidth) ||
                (r.breakpoints && i.setBreakpoint(),
                (e = i.allowSlideNext),
                (t = i.allowSlidePrev),
                (n = i.snapGrid),
                (i.allowSlideNext = !0),
                (i.allowSlidePrev = !0),
                i.updateSize(),
                i.updateSlides(),
                r.freeMode
                    ? ((a = Math.min(Math.max(i.translate, i.maxTranslate()), i.minTranslate())), i.setTranslate(a), i.updateActiveIndex(), i.updateSlidesClasses(), r.autoHeight && i.updateAutoHeight())
                    : (i.updateSlidesClasses(), ("auto" === r.slidesPerView || 1 < r.slidesPerView) && i.isEnd && !i.params.centeredSlides ? i.slideTo(i.slides.length - 1, 0, !1, !0) : i.slideTo(i.activeIndex, 0, !1, !0)),
                (i.allowSlidePrev = t),
                (i.allowSlideNext = e),
                i.params.watchOverflow && n !== i.snapGrid && i.checkOverflow());
        }
        var x,
            w = {
                attachEvents: function () {
                    var e = this,
                        t = e.params,
                        n = e.touchEvents,
                        i = e.el,
                        r = e.wrapperEl;
                    (e.onTouchStart = function (e) {
                        var t,
                            n,
                            i,
                            r,
                            a = this,
                            o = a.touchEventsData,
                            s = a.params,
                            l = a.touches;
                        (a.animating && s.preventInteractionOnTransition) ||
                            ((t = e).originalEvent && (t = t.originalEvent),
                            (o.isTouchEvent = "touchstart" === t.type),
                            (!o.isTouchEvent && "which" in t && 3 === t.which) ||
                                (!o.isTouchEvent && "button" in t && 0 < t.button) ||
                                (o.isTouched && o.isMoved) ||
                                (s.noSwiping && v(t.target).closest(s.noSwipingSelector || "." + s.noSwipingClass)[0]
                                    ? (a.allowClick = !0)
                                    : (s.swipeHandler && !v(t).closest(s.swipeHandler)[0]) ||
                                      ((l.currentX = ("touchstart" === t.type ? t.targetTouches[0] : t).pageX),
                                      (l.currentY = ("touchstart" === t.type ? t.targetTouches[0] : t).pageY),
                                      (n = l.currentX),
                                      (r = l.currentY),
                                      (i = s.edgeSwipeDetection || s.iOSEdgeSwipeDetection),
                                      (e = s.edgeSwipeThreshold || s.iOSEdgeSwipeThreshold),
                                      (i && (n <= e || n >= V.screen.width - e)) ||
                                          (W.extend(o, { isTouched: !0, isMoved: !1, allowTouchCallbacks: !0, isScrolling: void 0, startMoving: void 0 }),
                                          (l.startX = n),
                                          (l.startY = r),
                                          (o.touchStartTime = W.now()),
                                          (a.allowClick = !0),
                                          a.updateSize(),
                                          (a.swipeDirection = void 0),
                                          0 < s.threshold && (o.allowThresholdMove = !1),
                                          "touchstart" !== t.type &&
                                              ((r = !0),
                                              v(t.target).is(o.formElements) && (r = !1),
                                              c.activeElement && v(c.activeElement).is(o.formElements) && c.activeElement !== t.target && c.activeElement.blur(),
                                              (r = r && a.allowTouchMove && s.touchStartPreventDefault),
                                              (s.touchStartForcePreventDefault || r) && t.preventDefault()),
                                          a.emit("touchStart", t)))));
                    }.bind(e)),
                        (e.onTouchMove = function (e) {
                            var t = this,
                                n = t.touchEventsData,
                                i = t.params,
                                r = t.touches,
                                a = t.rtlTranslate,
                                o = e;
                            if ((o.originalEvent && (o = o.originalEvent), n.isTouched)) {
                                if (!n.isTouchEvent || "mousemove" !== o.type) {
                                    var s = ("touchmove" === o.type ? o.targetTouches[0] : o).pageX,
                                        l = ("touchmove" === o.type ? o.targetTouches[0] : o).pageY;
                                    if (o.preventedByNestedSwiper) return (r.startX = s), void (r.startY = l);
                                    if (!t.allowTouchMove) return (t.allowClick = !1), void (n.isTouched && (W.extend(r, { startX: s, startY: l, currentX: s, currentY: l }), (n.touchStartTime = W.now())));
                                    if (n.isTouchEvent && i.touchReleaseOnEdges && !i.loop)
                                        if (t.isVertical()) {
                                            if ((l < r.startY && t.translate <= t.maxTranslate()) || (l > r.startY && t.translate >= t.minTranslate())) return (n.isTouched = !1), void (n.isMoved = !1);
                                        } else if ((s < r.startX && t.translate <= t.maxTranslate()) || (s > r.startX && t.translate >= t.minTranslate())) return;
                                    if (n.isTouchEvent && c.activeElement && o.target === c.activeElement && v(o.target).is(n.formElements)) return (n.isMoved = !0), void (t.allowClick = !1);
                                    if ((n.allowTouchCallbacks && t.emit("touchMove", o), !(o.targetTouches && 1 < o.targetTouches.length))) {
                                        (r.currentX = s), (r.currentY = l);
                                        (e = r.currentX - r.startX), (s = r.currentY - r.startY);
                                        if (!(t.params.threshold && Math.sqrt(Math.pow(e, 2) + Math.pow(s, 2)) < t.params.threshold))
                                            if (
                                                (void 0 === n.isScrolling &&
                                                    ((t.isHorizontal() && r.currentY === r.startY) || (t.isVertical() && r.currentX === r.startX)
                                                        ? (n.isScrolling = !1)
                                                        : 25 <= e * e + s * s && ((l = (180 * Math.atan2(Math.abs(s), Math.abs(e))) / Math.PI), (n.isScrolling = t.isHorizontal() ? l > i.touchAngle : 90 - l > i.touchAngle))),
                                                n.isScrolling && t.emit("touchMoveOpposite", o),
                                                void 0 === n.startMoving && ((r.currentX === r.startX && r.currentY === r.startY) || (n.startMoving = !0)),
                                                n.isScrolling)
                                            )
                                                n.isTouched = !1;
                                            else if (n.startMoving) {
                                                (t.allowClick = !1),
                                                    o.preventDefault(),
                                                    i.touchMoveStopPropagation && !i.nested && o.stopPropagation(),
                                                    n.isMoved ||
                                                        (i.loop && t.loopFix(),
                                                        (n.startTranslate = t.getTranslate()),
                                                        t.setTransition(0),
                                                        t.animating && t.$wrapperEl.trigger("webkitTransitionEnd transitionend"),
                                                        (n.allowMomentumBounce = !1),
                                                        !i.grabCursor || (!0 !== t.allowSlideNext && !0 !== t.allowSlidePrev) || t.setGrabCursor(!0),
                                                        t.emit("sliderFirstMove", o)),
                                                    t.emit("sliderMove", o),
                                                    (n.isMoved = !0);
                                                e = t.isHorizontal() ? e : s;
                                                (r.diff = e), (e *= i.touchRatio), a && (e = -e), (t.swipeDirection = 0 < e ? "prev" : "next"), (n.currentTranslate = e + n.startTranslate);
                                                (s = !0), (a = i.resistanceRatio);
                                                if (
                                                    (i.touchReleaseOnEdges && (a = 0),
                                                    0 < e && n.currentTranslate > t.minTranslate()
                                                        ? ((s = !1), i.resistance && (n.currentTranslate = t.minTranslate() - 1 + Math.pow(-t.minTranslate() + n.startTranslate + e, a)))
                                                        : e < 0 && n.currentTranslate < t.maxTranslate() && ((s = !1), i.resistance && (n.currentTranslate = t.maxTranslate() + 1 - Math.pow(t.maxTranslate() - n.startTranslate - e, a))),
                                                    s && (o.preventedByNestedSwiper = !0),
                                                    !t.allowSlideNext && "next" === t.swipeDirection && n.currentTranslate < n.startTranslate && (n.currentTranslate = n.startTranslate),
                                                    !t.allowSlidePrev && "prev" === t.swipeDirection && n.currentTranslate > n.startTranslate && (n.currentTranslate = n.startTranslate),
                                                    0 < i.threshold)
                                                ) {
                                                    if (!(Math.abs(e) > i.threshold || n.allowThresholdMove)) return void (n.currentTranslate = n.startTranslate);
                                                    if (!n.allowThresholdMove)
                                                        return (
                                                            (n.allowThresholdMove = !0),
                                                            (r.startX = r.currentX),
                                                            (r.startY = r.currentY),
                                                            (n.currentTranslate = n.startTranslate),
                                                            void (r.diff = t.isHorizontal() ? r.currentX - r.startX : r.currentY - r.startY)
                                                        );
                                                }
                                                i.followFinger &&
                                                    ((i.freeMode || i.watchSlidesProgress || i.watchSlidesVisibility) && (t.updateActiveIndex(), t.updateSlidesClasses()),
                                                    i.freeMode &&
                                                        (0 === n.velocities.length && n.velocities.push({ position: r[t.isHorizontal() ? "startX" : "startY"], time: n.touchStartTime }),
                                                        n.velocities.push({ position: r[t.isHorizontal() ? "currentX" : "currentY"], time: W.now() })),
                                                    t.updateProgress(n.currentTranslate),
                                                    t.setTranslate(n.currentTranslate));
                                            }
                                    }
                                }
                            } else n.startMoving && n.isScrolling && t.emit("touchMoveOpposite", o);
                        }.bind(e)),
                        (e.onTouchEnd = function (e) {
                            var t = this,
                                n = t.touchEventsData,
                                i = t.params,
                                r = t.touches,
                                a = t.rtlTranslate,
                                o = t.$wrapperEl,
                                s = t.slidesGrid,
                                l = t.snapGrid,
                                d = e;
                            if ((d.originalEvent && (d = d.originalEvent), n.allowTouchCallbacks && t.emit("touchEnd", d), (n.allowTouchCallbacks = !1), !n.isTouched))
                                return n.isMoved && i.grabCursor && t.setGrabCursor(!1), (n.isMoved = !1), void (n.startMoving = !1);
                            i.grabCursor && n.isMoved && n.isTouched && (!0 === t.allowSlideNext || !0 === t.allowSlidePrev) && t.setGrabCursor(!1);
                            var u,
                                c = W.now(),
                                e = c - n.touchStartTime;
                            if (
                                (t.allowClick &&
                                    (t.updateClickedSlide(d),
                                    t.emit("tap", d),
                                    e < 300 &&
                                        300 < c - n.lastClickTime &&
                                        (n.clickTimeout && clearTimeout(n.clickTimeout),
                                        (n.clickTimeout = W.nextTick(function () {
                                            t && !t.destroyed && t.emit("click", d);
                                        }, 300))),
                                    e < 300 && c - n.lastClickTime < 300 && (n.clickTimeout && clearTimeout(n.clickTimeout), t.emit("doubleTap", d))),
                                (n.lastClickTime = W.now()),
                                W.nextTick(function () {
                                    t.destroyed || (t.allowClick = !0);
                                }),
                                !n.isTouched || !n.isMoved || !t.swipeDirection || 0 === r.diff || n.currentTranslate === n.startTranslate)
                            )
                                return (n.isTouched = !1), (n.isMoved = !1), void (n.startMoving = !1);
                            if (((n.isTouched = !1), (n.isMoved = !1), (n.startMoving = !1), (u = i.followFinger ? (a ? t.translate : -t.translate) : -n.currentTranslate), i.freeMode))
                                if (u < -t.minTranslate()) t.slideTo(t.activeIndex);
                                else if (u > -t.maxTranslate()) t.slides.length < l.length ? t.slideTo(l.length - 1) : t.slideTo(t.slides.length - 1);
                                else {
                                    if (i.freeModeMomentum) {
                                        1 < n.velocities.length
                                            ? ((g = n.velocities.pop()),
                                              (f = n.velocities.pop()),
                                              (p = g.position - f.position),
                                              (f = g.time - f.time),
                                              (t.velocity = p / f),
                                              (t.velocity /= 2),
                                              Math.abs(t.velocity) < i.freeModeMinimumVelocity && (t.velocity = 0),
                                              (150 < f || 300 < W.now() - g.time) && (t.velocity = 0))
                                            : (t.velocity = 0),
                                            (t.velocity *= i.freeModeMomentumVelocityRatio),
                                            (n.velocities.length = 0);
                                        var p = 1e3 * i.freeModeMomentumRatio,
                                            f = t.velocity * p,
                                            h = t.translate + f;
                                        a && (h = -h);
                                        var v,
                                            m,
                                            g = !1,
                                            f = 20 * Math.abs(t.velocity) * i.freeModeMomentumBounceRatio;
                                        if (h < t.maxTranslate())
                                            i.freeModeMomentumBounce ? (h + t.maxTranslate() < -f && (h = t.maxTranslate() - f), (v = t.maxTranslate()), (g = !0), (n.allowMomentumBounce = !0)) : (h = t.maxTranslate()),
                                                i.loop && i.centeredSlides && (m = !0);
                                        else if (h > t.minTranslate())
                                            i.freeModeMomentumBounce ? (h - t.minTranslate() > f && (h = t.minTranslate() + f), (v = t.minTranslate()), (g = !0), (n.allowMomentumBounce = !0)) : (h = t.minTranslate()),
                                                i.loop && i.centeredSlides && (m = !0);
                                        else if (i.freeModeSticky) {
                                            for (var y, x = 0; x < l.length; x += 1)
                                                if (l[x] > -h) {
                                                    y = x;
                                                    break;
                                                }
                                            h = -(Math.abs(l[y] - h) < Math.abs(l[y - 1] - h) || "next" === t.swipeDirection ? l[y] : l[y - 1]);
                                        }
                                        if (
                                            (m &&
                                                t.once("transitionEnd", function () {
                                                    t.loopFix();
                                                }),
                                            0 !== t.velocity)
                                        )
                                            p = a ? Math.abs((-h - t.translate) / t.velocity) : Math.abs((h - t.translate) / t.velocity);
                                        else if (i.freeModeSticky) return void t.slideToClosest();
                                        i.freeModeMomentumBounce && g
                                            ? (t.updateProgress(v),
                                              t.setTransition(p),
                                              t.setTranslate(h),
                                              t.transitionStart(!0, t.swipeDirection),
                                              (t.animating = !0),
                                              o.transitionEnd(function () {
                                                  t &&
                                                      !t.destroyed &&
                                                      n.allowMomentumBounce &&
                                                      (t.emit("momentumBounce"),
                                                      t.setTransition(i.speed),
                                                      t.setTranslate(v),
                                                      o.transitionEnd(function () {
                                                          t && !t.destroyed && t.transitionEnd();
                                                      }));
                                              }))
                                            : t.velocity
                                            ? (t.updateProgress(h),
                                              t.setTransition(p),
                                              t.setTranslate(h),
                                              t.transitionStart(!0, t.swipeDirection),
                                              t.animating ||
                                                  ((t.animating = !0),
                                                  o.transitionEnd(function () {
                                                      t && !t.destroyed && t.transitionEnd();
                                                  })))
                                            : t.updateProgress(h),
                                            t.updateActiveIndex(),
                                            t.updateSlidesClasses();
                                    } else if (i.freeModeSticky) return void t.slideToClosest();
                                    (!i.freeModeMomentum || e >= i.longSwipesMs) && (t.updateProgress(), t.updateActiveIndex(), t.updateSlidesClasses());
                                }
                            else {
                                for (var w = 0, b = t.slidesSizesGrid[0], T = 0; T < s.length; T += i.slidesPerGroup)
                                    void 0 !== s[T + i.slidesPerGroup] ? u >= s[T] && u < s[T + i.slidesPerGroup] && (b = s[(w = T) + i.slidesPerGroup] - s[T]) : u >= s[T] && ((w = T), (b = s[s.length - 1] - s[s.length - 2]));
                                p = (u - s[w]) / b;
                                e > i.longSwipesMs
                                    ? i.longSwipes
                                        ? ("next" === t.swipeDirection && (p >= i.longSwipesRatio ? t.slideTo(w + i.slidesPerGroup) : t.slideTo(w)),
                                          "prev" === t.swipeDirection && (p > 1 - i.longSwipesRatio ? t.slideTo(w + i.slidesPerGroup) : t.slideTo(w)))
                                        : t.slideTo(t.activeIndex)
                                    : i.shortSwipes
                                    ? ("next" === t.swipeDirection && t.slideTo(w + i.slidesPerGroup), "prev" === t.swipeDirection && t.slideTo(w))
                                    : t.slideTo(t.activeIndex);
                            }
                        }.bind(e)),
                        (e.onClick = function (e) {
                            this.allowClick || (this.params.preventClicks && e.preventDefault(), this.params.preventClicksPropagation && this.animating && (e.stopPropagation(), e.stopImmediatePropagation()));
                        }.bind(e));
                    var a = "container" === t.touchEventsTarget ? i : r,
                        i = !!t.nested;
                    G.touch || (!G.pointerEvents && !G.prefixedPointerEvents)
                        ? (G.touch &&
                              ((r = !("touchstart" !== n.start || !G.passiveListener || !t.passiveListeners) && { passive: !0, capture: !1 }),
                              a.addEventListener(n.start, e.onTouchStart, r),
                              a.addEventListener(n.move, e.onTouchMove, G.passiveListener ? { passive: !1, capture: i } : i),
                              a.addEventListener(n.end, e.onTouchEnd, r)),
                          ((t.simulateTouch && !g.ios && !g.android) || (t.simulateTouch && !G.touch && g.ios)) &&
                              (a.addEventListener("mousedown", e.onTouchStart, !1), c.addEventListener("mousemove", e.onTouchMove, i), c.addEventListener("mouseup", e.onTouchEnd, !1)))
                        : (a.addEventListener(n.start, e.onTouchStart, !1), c.addEventListener(n.move, e.onTouchMove, i), c.addEventListener(n.end, e.onTouchEnd, !1)),
                        (t.preventClicks || t.preventClicksPropagation) && a.addEventListener("click", e.onClick, !0),
                        e.on(g.ios || g.android ? "resize orientationchange observerUpdate" : "resize observerUpdate", y, !0);
                },
                detachEvents: function () {
                    var e = this,
                        t = e.params,
                        n = e.touchEvents,
                        i = e.el,
                        r = e.wrapperEl,
                        a = "container" === t.touchEventsTarget ? i : r,
                        i = !!t.nested;
                    G.touch || (!G.pointerEvents && !G.prefixedPointerEvents)
                        ? (G.touch &&
                              ((r = !("onTouchStart" !== n.start || !G.passiveListener || !t.passiveListeners) && { passive: !0, capture: !1 }),
                              a.removeEventListener(n.start, e.onTouchStart, r),
                              a.removeEventListener(n.move, e.onTouchMove, i),
                              a.removeEventListener(n.end, e.onTouchEnd, r)),
                          ((t.simulateTouch && !g.ios && !g.android) || (t.simulateTouch && !G.touch && g.ios)) &&
                              (a.removeEventListener("mousedown", e.onTouchStart, !1), c.removeEventListener("mousemove", e.onTouchMove, i), c.removeEventListener("mouseup", e.onTouchEnd, !1)))
                        : (a.removeEventListener(n.start, e.onTouchStart, !1), c.removeEventListener(n.move, e.onTouchMove, i), c.removeEventListener(n.end, e.onTouchEnd, !1)),
                        (t.preventClicks || t.preventClicksPropagation) && a.removeEventListener("click", e.onClick, !0),
                        e.off(g.ios || g.android ? "resize orientationchange observerUpdate" : "resize observerUpdate", y);
                },
            },
            b = {
                setBreakpoint: function () {
                    var e = this,
                        t = e.activeIndex,
                        n = e.initialized,
                        i = e.loopedSlides;
                    void 0 === i && (i = 0);
                    var r,
                        a,
                        o = e.params,
                        s = o.breakpoints;
                    !s ||
                        (s && 0 === Object.keys(s).length) ||
                        ((r = e.getBreakpoint(s)) &&
                            e.currentBreakpoint !== r &&
                            ((a = r in s ? s[r] : void 0) &&
                                ["slidesPerView", "spaceBetween", "slidesPerGroup"].forEach(function (e) {
                                    var t = a[e];
                                    void 0 !== t && (a[e] = "slidesPerView" !== e || ("AUTO" !== t && "auto" !== t) ? ("slidesPerView" === e ? parseFloat(t) : parseInt(t, 10)) : "auto");
                                }),
                            (s = a || e.originalParams),
                            (o = o.loop && s.slidesPerView !== o.slidesPerView),
                            W.extend(e.params, s),
                            W.extend(e, { allowTouchMove: e.params.allowTouchMove, allowSlideNext: e.params.allowSlideNext, allowSlidePrev: e.params.allowSlidePrev }),
                            (e.currentBreakpoint = r),
                            o && n && (e.loopDestroy(), e.loopCreate(), e.updateSlides(), e.slideTo(t - i + e.loopedSlides, 0, !1)),
                            e.emit("breakpoint", s)));
                },
                getBreakpoint: function (e) {
                    if (e) {
                        var t = !1,
                            n = [];
                        Object.keys(e).forEach(function (e) {
                            n.push(e);
                        }),
                            n.sort(function (e, t) {
                                return parseInt(e, 10) - parseInt(t, 10);
                            });
                        for (var i = 0; i < n.length; i += 1) {
                            var r = n[i];
                            this.params.breakpointsInverse ? r <= V.innerWidth && (t = r) : r >= V.innerWidth && !t && (t = r);
                        }
                        return t || "max";
                    }
                },
            },
            T = {
                isIE: !!V.navigator.userAgent.match(/Trident/g) || !!V.navigator.userAgent.match(/MSIE/g),
                isEdge: !!V.navigator.userAgent.match(/Edge/g),
                isSafari: 0 <= (x = V.navigator.userAgent.toLowerCase()).indexOf("safari") && x.indexOf("chrome") < 0 && x.indexOf("android") < 0,
                isUiWebView: /(iPhone|iPod|iPad).*AppleWebKit(?!.*Safari)/i.test(V.navigator.userAgent),
            },
            C = {
                init: !0,
                direction: "horizontal",
                touchEventsTarget: "container",
                initialSlide: 0,
                speed: 300,
                preventInteractionOnTransition: !1,
                edgeSwipeDetection: !1,
                edgeSwipeThreshold: 20,
                freeMode: !1,
                freeModeMomentum: !0,
                freeModeMomentumRatio: 1,
                freeModeMomentumBounce: !0,
                freeModeMomentumBounceRatio: 1,
                freeModeMomentumVelocityRatio: 1,
                freeModeSticky: !1,
                freeModeMinimumVelocity: 0.02,
                autoHeight: !1,
                setWrapperSize: !1,
                virtualTranslate: !1,
                effect: "slide",
                breakpoints: void 0,
                breakpointsInverse: !1,
                spaceBetween: 0,
                slidesPerView: 1,
                slidesPerColumn: 1,
                slidesPerColumnFill: "column",
                slidesPerGroup: 1,
                centeredSlides: !1,
                slidesOffsetBefore: 0,
                slidesOffsetAfter: 0,
                normalizeSlideIndex: !0,
                centerInsufficientSlides: !1,
                watchOverflow: !1,
                roundLengths: !1,
                touchRatio: 1,
                touchAngle: 45,
                simulateTouch: !0,
                shortSwipes: !0,
                longSwipes: !0,
                longSwipesRatio: 0.5,
                longSwipesMs: 300,
                followFinger: !0,
                allowTouchMove: !0,
                threshold: 0,
                touchMoveStopPropagation: !0,
                touchStartPreventDefault: !0,
                touchStartForcePreventDefault: !1,
                touchReleaseOnEdges: !1,
                uniqueNavElements: !0,
                resistance: !0,
                resistanceRatio: 0.85,
                watchSlidesProgress: !1,
                watchSlidesVisibility: !1,
                grabCursor: !1,
                preventClicks: !0,
                preventClicksPropagation: !0,
                slideToClickedSlide: !1,
                preloadImages: !0,
                updateOnImagesReady: !0,
                loop: !1,
                loopAdditionalSlides: 0,
                loopedSlides: null,
                loopFillGroupWithBlank: !1,
                allowSlidePrev: !0,
                allowSlideNext: !0,
                swipeHandler: null,
                noSwiping: !0,
                noSwipingClass: "swiper-no-swiping",
                noSwipingSelector: null,
                passiveListeners: !0,
                containerModifierClass: "swiper-container-",
                slideClass: "swiper-slide",
                slideBlankClass: "swiper-slide-invisible-blank",
                slideActiveClass: "swiper-slide-active",
                slideDuplicateActiveClass: "swiper-slide-duplicate-active",
                slideVisibleClass: "swiper-slide-visible",
                slideDuplicateClass: "swiper-slide-duplicate",
                slideNextClass: "swiper-slide-next",
                slideDuplicateNextClass: "swiper-slide-duplicate-next",
                slidePrevClass: "swiper-slide-prev",
                slideDuplicatePrevClass: "swiper-slide-duplicate-prev",
                wrapperClass: "swiper-wrapper",
                runCallbacksOnInit: !0,
            },
            S = {
                update: d,
                translate: u,
                transition: {
                    setTransition: function (e, t) {
                        this.$wrapperEl.transition(e), this.emit("setTransition", e, t);
                    },
                    transitionStart: function (e, t) {
                        void 0 === e && (e = !0);
                        var n = this,
                            i = n.activeIndex,
                            r = n.params,
                            a = n.previousIndex;
                        r.autoHeight && n.updateAutoHeight();
                        t = t || (a < i ? "next" : i < a ? "prev" : "reset");
                        n.emit("transitionStart"),
                            e && i !== a && ("reset" !== t ? (n.emit("slideChangeTransitionStart"), "next" === t ? n.emit("slideNextTransitionStart") : n.emit("slidePrevTransitionStart")) : n.emit("slideResetTransitionStart"));
                    },
                    transitionEnd: function (e, t) {
                        void 0 === e && (e = !0);
                        var n = this,
                            i = n.activeIndex,
                            r = n.previousIndex;
                        (n.animating = !1), n.setTransition(0);
                        t = t || (r < i ? "next" : i < r ? "prev" : "reset");
                        n.emit("transitionEnd"), e && i !== r && ("reset" !== t ? (n.emit("slideChangeTransitionEnd"), "next" === t ? n.emit("slideNextTransitionEnd") : n.emit("slidePrevTransitionEnd")) : n.emit("slideResetTransitionEnd"));
                    },
                },
                slide: p,
                loop: f,
                grabCursor: h,
                manipulation: m,
                events: w,
                breakpoints: b,
                checkOverflow: {
                    checkOverflow: function () {
                        var e = this,
                            t = e.isLocked;
                        (e.isLocked = 1 === e.snapGrid.length),
                            (e.allowSlideNext = !e.isLocked),
                            (e.allowSlidePrev = !e.isLocked),
                            t !== e.isLocked && e.emit(e.isLocked ? "lock" : "unlock"),
                            t && t !== e.isLocked && ((e.isEnd = !1), e.navigation.update());
                    },
                },
                classes: {
                    addClasses: function () {
                        var t = this.classNames,
                            n = this.params,
                            e = this.rtl,
                            i = this.$el,
                            r = [];
                        r.push(n.direction),
                            n.freeMode && r.push("free-mode"),
                            G.flexbox || r.push("no-flexbox"),
                            n.autoHeight && r.push("autoheight"),
                            e && r.push("rtl"),
                            1 < n.slidesPerColumn && r.push("multirow"),
                            g.android && r.push("android"),
                            g.ios && r.push("ios"),
                            (T.isIE || T.isEdge) && (G.pointerEvents || G.prefixedPointerEvents) && r.push("wp8-" + n.direction),
                            r.forEach(function (e) {
                                t.push(n.containerModifierClass + e);
                            }),
                            i.addClass(t.join(" "));
                    },
                    removeClasses: function () {
                        var e = this.$el,
                            t = this.classNames;
                        e.removeClass(t.join(" "));
                    },
                },
                images: {
                    loadImage: function (e, t, n, i, r, a) {
                        function o() {
                            a && a();
                        }
                        (!e.complete || !r) && t ? (((r = new V.Image()).onload = o), (r.onerror = o), i && (r.sizes = i), n && (r.srcset = n), t && (r.src = t)) : o();
                    },
                    preloadImages: function () {
                        var e = this;
                        function t() {
                            null != e && e && !e.destroyed && (void 0 !== e.imagesLoaded && (e.imagesLoaded += 1), e.imagesLoaded === e.imagesToLoad.length && (e.params.updateOnImagesReady && e.update(), e.emit("imagesReady")));
                        }
                        e.imagesToLoad = e.$el.find("img");
                        for (var n = 0; n < e.imagesToLoad.length; n += 1) {
                            var i = e.imagesToLoad[n];
                            e.loadImage(i, i.currentSrc || i.getAttribute("src"), i.srcset || i.getAttribute("srcset"), i.sizes || i.getAttribute("sizes"), !0, t);
                        }
                    },
                },
            },
            E = {},
            h = (function (l) {
                function d() {
                    for (var e, n, t = [], i = arguments.length; i--; ) t[i] = arguments[i];
                    (n = (n = 1 === t.length && t[0].constructor && t[0].constructor === Object ? t[0] : ((e = t[0]), t[1])) || {}),
                        (n = W.extend({}, n)),
                        e && !n.el && (n.el = e),
                        l.call(this, n),
                        Object.keys(S).forEach(function (t) {
                            Object.keys(S[t]).forEach(function (e) {
                                d.prototype[e] || (d.prototype[e] = S[t][e]);
                            });
                        });
                    var r = this;
                    void 0 === r.modules && (r.modules = {}),
                        Object.keys(r.modules).forEach(function (e) {
                            var t = r.modules[e];
                            t.params &&
                                ((e = Object.keys(t.params)[0]),
                                "object" == typeof (t = t.params[e]) &&
                                    null !== t &&
                                    e in n &&
                                    "enabled" in t &&
                                    (!0 === n[e] && (n[e] = { enabled: !0 }), "object" != typeof n[e] || "enabled" in n[e] || (n[e].enabled = !0), n[e] || (n[e] = { enabled: !1 })));
                        });
                    var a = W.extend({}, C);
                    r.useModulesParams(a), (r.params = W.extend({}, a, E, n)), (r.originalParams = W.extend({}, r.params)), (r.passedParams = W.extend({}, n));
                    var o = (r.$ = v)(r.params.el);
                    if ((e = o[0])) {
                        if (1 < o.length) {
                            var s = [];
                            return (
                                o.each(function (e, t) {
                                    t = W.extend({}, n, { el: t });
                                    s.push(new d(t));
                                }),
                                s
                            );
                        }
                        (e.swiper = r), o.data("swiper", r);
                        var a = o.children("." + r.params.wrapperClass);
                        return (
                            W.extend(r, {
                                $el: o,
                                el: e,
                                $wrapperEl: a,
                                wrapperEl: a[0],
                                classNames: [],
                                slides: v(),
                                slidesGrid: [],
                                snapGrid: [],
                                slidesSizesGrid: [],
                                isHorizontal: function () {
                                    return "horizontal" === r.params.direction;
                                },
                                isVertical: function () {
                                    return "vertical" === r.params.direction;
                                },
                                rtl: "rtl" === e.dir.toLowerCase() || "rtl" === o.css("direction"),
                                rtlTranslate: "horizontal" === r.params.direction && ("rtl" === e.dir.toLowerCase() || "rtl" === o.css("direction")),
                                wrongRTL: "-webkit-box" === a.css("display"),
                                activeIndex: 0,
                                realIndex: 0,
                                isBeginning: !0,
                                isEnd: !1,
                                translate: 0,
                                previousTranslate: 0,
                                progress: 0,
                                velocity: 0,
                                animating: !1,
                                allowSlideNext: r.params.allowSlideNext,
                                allowSlidePrev: r.params.allowSlidePrev,
                                touchEvents:
                                    ((o = ["touchstart", "touchmove", "touchend"]),
                                    (a = ["mousedown", "mousemove", "mouseup"]),
                                    G.pointerEvents ? (a = ["pointerdown", "pointermove", "pointerup"]) : G.prefixedPointerEvents && (a = ["MSPointerDown", "MSPointerMove", "MSPointerUp"]),
                                    (r.touchEventsTouch = { start: o[0], move: o[1], end: o[2] }),
                                    (r.touchEventsDesktop = { start: a[0], move: a[1], end: a[2] }),
                                    G.touch || !r.params.simulateTouch ? r.touchEventsTouch : r.touchEventsDesktop),
                                touchEventsData: {
                                    isTouched: void 0,
                                    isMoved: void 0,
                                    allowTouchCallbacks: void 0,
                                    touchStartTime: void 0,
                                    isScrolling: void 0,
                                    currentTranslate: void 0,
                                    startTranslate: void 0,
                                    allowThresholdMove: void 0,
                                    formElements: "input, select, option, textarea, button, video",
                                    lastClickTime: W.now(),
                                    clickTimeout: void 0,
                                    velocities: [],
                                    allowMomentumBounce: void 0,
                                    isTouchEvent: void 0,
                                    startMoving: void 0,
                                },
                                allowClick: !0,
                                allowTouchMove: r.params.allowTouchMove,
                                touches: { startX: 0, startY: 0, currentX: 0, currentY: 0, diff: 0 },
                                imagesToLoad: [],
                                imagesLoaded: 0,
                            }),
                            r.useModules(),
                            r.params.init && r.init(),
                            r
                        );
                    }
                }
                l && (d.__proto__ = l);
                var e = { extendedDefaults: { configurable: !0 }, defaults: { configurable: !0 }, Class: { configurable: !0 }, $: { configurable: !0 } };
                return (
                    (((d.prototype = Object.create(l && l.prototype)).constructor = d).prototype.slidesPerViewDynamic = function () {
                        var e = this,
                            t = e.params,
                            n = e.slides,
                            i = e.slidesGrid,
                            r = e.size,
                            a = e.activeIndex,
                            o = 1;
                        if (t.centeredSlides) {
                            for (var s, l = n[a].swiperSlideSize, d = a + 1; d < n.length; d += 1) n[d] && !s && ((o += 1), r < (l += n[d].swiperSlideSize) && (s = !0));
                            for (var u = a - 1; 0 <= u; --u) n[u] && !s && ((o += 1), r < (l += n[u].swiperSlideSize) && (s = !0));
                        } else for (var c = a + 1; c < n.length; c += 1) i[c] - i[a] < r && (o += 1);
                        return o;
                    }),
                    (d.prototype.update = function () {
                        var e,
                            t,
                            n = this;
                        function i() {
                            var e = n.rtlTranslate ? -1 * n.translate : n.translate,
                                e = Math.min(Math.max(e, n.maxTranslate()), n.minTranslate());
                            n.setTranslate(e), n.updateActiveIndex(), n.updateSlidesClasses();
                        }
                        n &&
                            !n.destroyed &&
                            ((e = n.snapGrid),
                            (t = n.params).breakpoints && n.setBreakpoint(),
                            n.updateSize(),
                            n.updateSlides(),
                            n.updateProgress(),
                            n.updateSlidesClasses(),
                            n.params.freeMode
                                ? (i(), n.params.autoHeight && n.updateAutoHeight())
                                : (("auto" === n.params.slidesPerView || 1 < n.params.slidesPerView) && n.isEnd && !n.params.centeredSlides ? n.slideTo(n.slides.length - 1, 0, !1, !0) : n.slideTo(n.activeIndex, 0, !1, !0)) || i(),
                            t.watchOverflow && e !== n.snapGrid && n.checkOverflow(),
                            n.emit("update"));
                    }),
                    (d.prototype.init = function () {
                        var e = this;
                        e.initialized ||
                            (e.emit("beforeInit"),
                            e.params.breakpoints && e.setBreakpoint(),
                            e.addClasses(),
                            e.params.loop && e.loopCreate(),
                            e.updateSize(),
                            e.updateSlides(),
                            e.params.watchOverflow && e.checkOverflow(),
                            e.params.grabCursor && e.setGrabCursor(),
                            e.params.preloadImages && e.preloadImages(),
                            e.params.loop ? e.slideTo(e.params.initialSlide + e.loopedSlides, 0, e.params.runCallbacksOnInit) : e.slideTo(e.params.initialSlide, 0, e.params.runCallbacksOnInit),
                            e.attachEvents(),
                            (e.initialized = !0),
                            e.emit("init"));
                    }),
                    (d.prototype.destroy = function (e, t) {
                        void 0 === e && (e = !0), void 0 === t && (t = !0);
                        var n = this,
                            i = n.params,
                            r = n.$el,
                            a = n.$wrapperEl,
                            o = n.slides;
                        return (
                            void 0 === n.params ||
                                n.destroyed ||
                                (n.emit("beforeDestroy"),
                                (n.initialized = !1),
                                n.detachEvents(),
                                i.loop && n.loopDestroy(),
                                t &&
                                    (n.removeClasses(),
                                    r.removeAttr("style"),
                                    a.removeAttr("style"),
                                    o &&
                                        o.length &&
                                        o
                                            .removeClass([i.slideVisibleClass, i.slideActiveClass, i.slideNextClass, i.slidePrevClass].join(" "))
                                            .removeAttr("style")
                                            .removeAttr("data-swiper-slide-index")
                                            .removeAttr("data-swiper-column")
                                            .removeAttr("data-swiper-row")),
                                n.emit("destroy"),
                                Object.keys(n.eventsListeners).forEach(function (e) {
                                    n.off(e);
                                }),
                                !1 !== e && ((n.$el[0].swiper = null), n.$el.data("swiper", null), W.deleteProps(n)),
                                (n.destroyed = !0)),
                            null
                        );
                    }),
                    (d.extendDefaults = function (e) {
                        W.extend(E, e);
                    }),
                    (e.extendedDefaults.get = function () {
                        return E;
                    }),
                    (e.defaults.get = function () {
                        return C;
                    }),
                    (e.Class.get = function () {
                        return l;
                    }),
                    (e.$.get = function () {
                        return v;
                    }),
                    Object.defineProperties(d, e),
                    d
                );
            })(e),
            m = { name: "device", proto: { device: g }, static: { device: g } },
            w = { name: "support", proto: { support: G }, static: { support: G } },
            b = { name: "browser", proto: { browser: T }, static: { browser: T } },
            e = {
                name: "resize",
                create: function () {
                    var e = this;
                    W.extend(e, {
                        resize: {
                            resizeHandler: function () {
                                e && !e.destroyed && e.initialized && (e.emit("beforeResize"), e.emit("resize"));
                            },
                            orientationChangeHandler: function () {
                                e && !e.destroyed && e.initialized && e.emit("orientationchange");
                            },
                        },
                    });
                },
                on: {
                    init: function () {
                        V.addEventListener("resize", this.resize.resizeHandler), V.addEventListener("orientationchange", this.resize.orientationChangeHandler);
                    },
                    destroy: function () {
                        V.removeEventListener("resize", this.resize.resizeHandler), V.removeEventListener("orientationchange", this.resize.orientationChangeHandler);
                    },
                },
            },
            k = {
                func: V.MutationObserver || V.WebkitMutationObserver,
                attach: function (e, t) {
                    void 0 === t && (t = {});
                    var n = this,
                        i = new k.func(function (e) {
                            var t;
                            1 !== e.length
                                ? ((t = function () {
                                      n.emit("observerUpdate", e[0]);
                                  }),
                                  V.requestAnimationFrame ? V.requestAnimationFrame(t) : V.setTimeout(t, 0))
                                : n.emit("observerUpdate", e[0]);
                        });
                    i.observe(e, { attributes: void 0 === t.attributes || t.attributes, childList: void 0 === t.childList || t.childList, characterData: void 0 === t.characterData || t.characterData }), n.observer.observers.push(i);
                },
                init: function () {
                    var e = this;
                    if (G.observer && e.params.observer) {
                        if (e.params.observeParents) for (var t = e.$el.parents(), n = 0; n < t.length; n += 1) e.observer.attach(t[n]);
                        e.observer.attach(e.$el[0], { childList: e.params.observeSlideChildren }), e.observer.attach(e.$wrapperEl[0], { attributes: !1 });
                    }
                },
                destroy: function () {
                    this.observer.observers.forEach(function (e) {
                        e.disconnect();
                    }),
                        (this.observer.observers = []);
                },
            },
            A = {
                update: function () {
                    var e,
                        t,
                        n = this,
                        i = n.params.navigation;
                    n.params.loop ||
                        ((e = (t = n.navigation).$nextEl),
                        (t = t.$prevEl) && 0 < t.length && (n.isBeginning ? t.addClass(i.disabledClass) : t.removeClass(i.disabledClass), t[n.params.watchOverflow && n.isLocked ? "addClass" : "removeClass"](i.lockClass)),
                        e && 0 < e.length && (n.isEnd ? e.addClass(i.disabledClass) : e.removeClass(i.disabledClass), e[n.params.watchOverflow && n.isLocked ? "addClass" : "removeClass"](i.lockClass)));
                },
                onPrevClick: function (e) {
                    e.preventDefault(), (this.isBeginning && !this.params.loop) || this.slidePrev();
                },
                onNextClick: function (e) {
                    e.preventDefault(), (this.isEnd && !this.params.loop) || this.slideNext();
                },
                init: function () {
                    var e,
                        t,
                        n = this,
                        i = n.params.navigation;
                    (i.nextEl || i.prevEl) &&
                        (i.nextEl && ((e = v(i.nextEl)), n.params.uniqueNavElements && "string" == typeof i.nextEl && 1 < e.length && 1 === n.$el.find(i.nextEl).length && (e = n.$el.find(i.nextEl))),
                        i.prevEl && ((t = v(i.prevEl)), n.params.uniqueNavElements && "string" == typeof i.prevEl && 1 < t.length && 1 === n.$el.find(i.prevEl).length && (t = n.$el.find(i.prevEl))),
                        e && 0 < e.length && e.on("click", n.navigation.onNextClick),
                        t && 0 < t.length && t.on("click", n.navigation.onPrevClick),
                        W.extend(n.navigation, { $nextEl: e, nextEl: e && e[0], $prevEl: t, prevEl: t && t[0] }));
                },
                destroy: function () {
                    var e = this,
                        t = e.navigation,
                        n = t.$nextEl,
                        t = t.$prevEl;
                    n && n.length && (n.off("click", e.navigation.onNextClick), n.removeClass(e.params.navigation.disabledClass)),
                        t && t.length && (t.off("click", e.navigation.onPrevClick), t.removeClass(e.params.navigation.disabledClass));
                },
            },
            P = {
                update: function () {
                    var e = this,
                        t = e.rtl,
                        i = e.params.pagination;
                    if (i.el && e.pagination.el && e.pagination.$el && 0 !== e.pagination.$el.length) {
                        var r,
                            n = (e.virtual && e.params.virtual.enabled ? e.virtual : e).slides.length,
                            a = e.pagination.$el,
                            o = e.params.loop ? Math.ceil((n - 2 * e.loopedSlides) / e.params.slidesPerGroup) : e.snapGrid.length;
                        if (
                            (e.params.loop
                                ? ((r = Math.ceil((e.activeIndex - e.loopedSlides) / e.params.slidesPerGroup)) > n - 1 - 2 * e.loopedSlides && (r -= n - 2 * e.loopedSlides),
                                  o - 1 < r && (r -= o),
                                  r < 0 && "bullets" !== e.params.paginationType && (r = o + r))
                                : (r = void 0 !== e.snapIndex ? e.snapIndex : e.activeIndex || 0),
                            "bullets" === i.type && e.pagination.bullets && 0 < e.pagination.bullets.length)
                        ) {
                            var s,
                                l,
                                d,
                                u,
                                c,
                                p = e.pagination.bullets;
                            if (
                                (i.dynamicBullets &&
                                    ((e.pagination.bulletSize = p.eq(0)[e.isHorizontal() ? "outerWidth" : "outerHeight"](!0)),
                                    a.css(e.isHorizontal() ? "width" : "height", e.pagination.bulletSize * (i.dynamicMainBullets + 4) + "px"),
                                    1 < i.dynamicMainBullets &&
                                        void 0 !== e.previousIndex &&
                                        ((e.pagination.dynamicBulletIndex += r - e.previousIndex),
                                        e.pagination.dynamicBulletIndex > i.dynamicMainBullets - 1
                                            ? (e.pagination.dynamicBulletIndex = i.dynamicMainBullets - 1)
                                            : e.pagination.dynamicBulletIndex < 0 && (e.pagination.dynamicBulletIndex = 0)),
                                    (s = r - e.pagination.dynamicBulletIndex),
                                    (d = ((l = s + (Math.min(p.length, i.dynamicMainBullets) - 1)) + s) / 2)),
                                p.removeClass(
                                    i.bulletActiveClass + " " + i.bulletActiveClass + "-next " + i.bulletActiveClass + "-next-next " + i.bulletActiveClass + "-prev " + i.bulletActiveClass + "-prev-prev " + i.bulletActiveClass + "-main"
                                ),
                                1 < a.length)
                            )
                                p.each(function (e, t) {
                                    var n = v(t),
                                        t = n.index();
                                    t === r && n.addClass(i.bulletActiveClass),
                                        i.dynamicBullets &&
                                            (s <= t && t <= l && n.addClass(i.bulletActiveClass + "-main"),
                                            t === s &&
                                                n
                                                    .prev()
                                                    .addClass(i.bulletActiveClass + "-prev")
                                                    .prev()
                                                    .addClass(i.bulletActiveClass + "-prev-prev"),
                                            t === l &&
                                                n
                                                    .next()
                                                    .addClass(i.bulletActiveClass + "-next")
                                                    .next()
                                                    .addClass(i.bulletActiveClass + "-next-next"));
                                });
                            else if ((p.eq(r).addClass(i.bulletActiveClass), i.dynamicBullets)) {
                                for (var f = p.eq(s), n = p.eq(l), h = s; h <= l; h += 1) p.eq(h).addClass(i.bulletActiveClass + "-main");
                                f
                                    .prev()
                                    .addClass(i.bulletActiveClass + "-prev")
                                    .prev()
                                    .addClass(i.bulletActiveClass + "-prev-prev"),
                                    n
                                        .next()
                                        .addClass(i.bulletActiveClass + "-next")
                                        .next()
                                        .addClass(i.bulletActiveClass + "-next-next");
                            }
                            i.dynamicBullets &&
                                ((c = Math.min(p.length, i.dynamicMainBullets + 4)),
                                (u = (e.pagination.bulletSize * c - e.pagination.bulletSize) / 2 - d * e.pagination.bulletSize),
                                (c = t ? "right" : "left"),
                                p.css(e.isHorizontal() ? c : "top", u + "px"));
                        }
                        "fraction" === i.type && (a.find("." + i.currentClass).text(i.formatFractionCurrent(r + 1)), a.find("." + i.totalClass).text(i.formatFractionTotal(o))),
                            "progressbar" === i.type &&
                                ((d = i.progressbarOpposite ? (e.isHorizontal() ? "vertical" : "horizontal") : e.isHorizontal() ? "horizontal" : "vertical"),
                                (t = (r + 1) / o),
                                (u = c = 1),
                                "horizontal" == d ? (c = t) : (u = t),
                                a
                                    .find("." + i.progressbarFillClass)
                                    .transform("translate3d(0,0,0) scaleX(" + c + ") scaleY(" + u + ")")
                                    .transition(e.params.speed)),
                            "custom" === i.type && i.renderCustom ? (a.html(i.renderCustom(e, r + 1, o)), e.emit("paginationRender", e, a[0])) : e.emit("paginationUpdate", e, a[0]),
                            a[e.params.watchOverflow && e.isLocked ? "addClass" : "removeClass"](i.lockClass);
                    }
                },
                render: function () {
                    var e = this,
                        t = e.params.pagination;
                    if (t.el && e.pagination.el && e.pagination.$el && 0 !== e.pagination.$el.length) {
                        var n = (e.virtual && e.params.virtual.enabled ? e.virtual : e).slides.length,
                            i = e.pagination.$el,
                            r = "";
                        if ("bullets" === t.type) {
                            for (var a = e.params.loop ? Math.ceil((n - 2 * e.loopedSlides) / e.params.slidesPerGroup) : e.snapGrid.length, o = 0; o < a; o += 1)
                                t.renderBullet ? (r += t.renderBullet.call(e, o, t.bulletClass)) : (r += "<" + t.bulletElement + ' class="' + t.bulletClass + '"></' + t.bulletElement + ">");
                            i.html(r), (e.pagination.bullets = i.find("." + t.bulletClass));
                        }
                        "fraction" === t.type && ((r = t.renderFraction ? t.renderFraction.call(e, t.currentClass, t.totalClass) : '<span class="' + t.currentClass + '"></span> / <span class="' + t.totalClass + '"></span>'), i.html(r)),
                            "progressbar" === t.type && ((r = t.renderProgressbar ? t.renderProgressbar.call(e, t.progressbarFillClass) : '<span class="' + t.progressbarFillClass + '"></span>'), i.html(r)),
                            "custom" !== t.type && e.emit("paginationRender", e.pagination.$el[0]);
                    }
                },
                init: function () {
                    var e,
                        t = this,
                        n = t.params.pagination;
                    !n.el ||
                        (0 !== (e = v(n.el)).length &&
                            (t.params.uniqueNavElements && "string" == typeof n.el && 1 < e.length && 1 === t.$el.find(n.el).length && (e = t.$el.find(n.el)),
                            "bullets" === n.type && n.clickable && e.addClass(n.clickableClass),
                            e.addClass(n.modifierClass + n.type),
                            "bullets" === n.type && n.dynamicBullets && (e.addClass("" + n.modifierClass + n.type + "-dynamic"), (t.pagination.dynamicBulletIndex = 0), n.dynamicMainBullets < 1 && (n.dynamicMainBullets = 1)),
                            "progressbar" === n.type && n.progressbarOpposite && e.addClass(n.progressbarOppositeClass),
                            n.clickable &&
                                e.on("click", "." + n.bulletClass, function (e) {
                                    e.preventDefault();
                                    e = v(this).index() * t.params.slidesPerGroup;
                                    t.params.loop && (e += t.loopedSlides), t.slideTo(e);
                                }),
                            W.extend(t.pagination, { $el: e, el: e[0] })));
                },
                destroy: function () {
                    var e,
                        t = this,
                        n = t.params.pagination;
                    n.el &&
                        t.pagination.el &&
                        t.pagination.$el &&
                        0 !== t.pagination.$el.length &&
                        ((e = t.pagination.$el).removeClass(n.hiddenClass),
                        e.removeClass(n.modifierClass + n.type),
                        t.pagination.bullets && t.pagination.bullets.removeClass(n.bulletActiveClass),
                        n.clickable && e.off("click", "." + n.bulletClass));
                },
            },
            L = {
                loadInSlide: function (e, s) {
                    void 0 === s && (s = !0);
                    var l,
                        d = this,
                        u = d.params.lazy;
                    void 0 !== e &&
                        0 !== d.slides.length &&
                        ((e = (l = d.virtual && d.params.virtual.enabled ? d.$wrapperEl.children("." + d.params.slideClass + '[data-swiper-slide-index="' + e + '"]') : d.slides.eq(e)).find(
                            "." + u.elementClass + ":not(." + u.loadedClass + "):not(." + u.loadingClass + ")"
                        )),
                        0 !== (e = l.hasClass(u.elementClass) && !l.hasClass(u.loadedClass) && !l.hasClass(u.loadingClass) ? e.add(l[0]) : e).length &&
                            e.each(function (e, t) {
                                var n = v(t);
                                n.addClass(u.loadingClass);
                                var i = n.attr("data-background"),
                                    r = n.attr("data-src"),
                                    a = n.attr("data-srcset"),
                                    o = n.attr("data-sizes");
                                d.loadImage(n[0], r || i, a, o, !1, function () {
                                    var e, t;
                                    null == d ||
                                        !d ||
                                        (d && !d.params) ||
                                        d.destroyed ||
                                        (i
                                            ? (n.css("background-image", 'url("' + i + '")'), n.removeAttr("data-background"))
                                            : (a && (n.attr("srcset", a), n.removeAttr("data-srcset")), o && (n.attr("sizes", o), n.removeAttr("data-sizes")), r && (n.attr("src", r), n.removeAttr("data-src"))),
                                        n.addClass(u.loadedClass).removeClass(u.loadingClass),
                                        l.find("." + u.preloaderClass).remove(),
                                        d.params.loop &&
                                            s &&
                                            ((t = l.attr("data-swiper-slide-index")),
                                            l.hasClass(d.params.slideDuplicateClass)
                                                ? ((e = d.$wrapperEl.children('[data-swiper-slide-index="' + t + '"]:not(.' + d.params.slideDuplicateClass + ")")), d.lazy.loadInSlide(e.index(), !1))
                                                : ((t = d.$wrapperEl.children("." + d.params.slideDuplicateClass + '[data-swiper-slide-index="' + t + '"]')), d.lazy.loadInSlide(t.index(), !1))),
                                        d.emit("lazyImageReady", l[0], n[0]));
                                }),
                                    d.emit("lazyImageLoad", l[0], n[0]);
                            }));
                },
                load: function () {
                    var n = this,
                        t = n.$wrapperEl,
                        i = n.params,
                        r = n.slides,
                        e = n.activeIndex,
                        a = n.virtual && i.virtual.enabled,
                        o = i.lazy,
                        s = i.slidesPerView;
                    function l(e) {
                        if (a) {
                            if (t.children("." + i.slideClass + '[data-swiper-slide-index="' + e + '"]').length) return 1;
                        } else if (r[e]) return 1;
                    }
                    function d(e) {
                        return a ? v(e).attr("data-swiper-slide-index") : v(e).index();
                    }
                    if (("auto" === s && (s = 0), n.lazy.initialImageLoaded || (n.lazy.initialImageLoaded = !0), n.params.watchSlidesVisibility))
                        t.children("." + i.slideVisibleClass).each(function (e, t) {
                            t = a ? v(t).attr("data-swiper-slide-index") : v(t).index();
                            n.lazy.loadInSlide(t);
                        });
                    else if (1 < s) for (var u = e; u < e + s; u += 1) l(u) && n.lazy.loadInSlide(u);
                    else n.lazy.loadInSlide(e);
                    if (o.loadPrevNext)
                        if (1 < s || (o.loadPrevNextAmount && 1 < o.loadPrevNextAmount)) {
                            for (var c = o.loadPrevNextAmount, o = s, p = Math.min(e + o + Math.max(c, o), r.length), c = Math.max(e - Math.max(o, c), 0), f = e + s; f < p; f += 1) l(f) && n.lazy.loadInSlide(f);
                            for (var h = c; h < e; h += 1) l(h) && n.lazy.loadInSlide(h);
                        } else {
                            c = t.children("." + i.slideNextClass);
                            0 < c.length && n.lazy.loadInSlide(d(c));
                            c = t.children("." + i.slidePrevClass);
                            0 < c.length && n.lazy.loadInSlide(d(c));
                        }
                },
            },
            M = {
                run: function () {
                    var e = this,
                        t = e.slides.eq(e.activeIndex),
                        n = e.params.autoplay.delay;
                    t.attr("data-swiper-autoplay") && (n = t.attr("data-swiper-autoplay") || e.params.autoplay.delay),
                        (e.autoplay.timeout = W.nextTick(function () {
                            e.params.autoplay.reverseDirection
                                ? e.params.loop
                                    ? (e.loopFix(), e.slidePrev(e.params.speed, !0, !0), e.emit("autoplay"))
                                    : e.isBeginning
                                    ? e.params.autoplay.stopOnLastSlide
                                        ? e.autoplay.stop()
                                        : (e.slideTo(e.slides.length - 1, e.params.speed, !0, !0), e.emit("autoplay"))
                                    : (e.slidePrev(e.params.speed, !0, !0), e.emit("autoplay"))
                                : e.params.loop
                                ? (e.loopFix(), e.slideNext(e.params.speed, !0, !0), e.emit("autoplay"))
                                : e.isEnd
                                ? e.params.autoplay.stopOnLastSlide
                                    ? e.autoplay.stop()
                                    : (e.slideTo(0, e.params.speed, !0, !0), e.emit("autoplay"))
                                : (e.slideNext(e.params.speed, !0, !0), e.emit("autoplay"));
                        }, n));
                },
                start: function () {
                    var e = this;
                    return void 0 === e.autoplay.timeout && !e.autoplay.running && ((e.autoplay.running = !0), e.emit("autoplayStart"), e.autoplay.run(), !0);
                },
                stop: function () {
                    var e = this;
                    return !!e.autoplay.running && void 0 !== e.autoplay.timeout && (e.autoplay.timeout && (clearTimeout(e.autoplay.timeout), (e.autoplay.timeout = void 0)), (e.autoplay.running = !1), e.emit("autoplayStop"), !0);
                },
                pause: function (e) {
                    var t = this;
                    t.autoplay.running &&
                        (t.autoplay.paused ||
                            (t.autoplay.timeout && clearTimeout(t.autoplay.timeout),
                            (t.autoplay.paused = !0),
                            0 !== e && t.params.autoplay.waitForTransition
                                ? (t.$wrapperEl[0].addEventListener("transitionend", t.autoplay.onTransitionEnd), t.$wrapperEl[0].addEventListener("webkitTransitionEnd", t.autoplay.onTransitionEnd))
                                : ((t.autoplay.paused = !1), t.autoplay.run())));
                },
            },
            e = [
                m,
                w,
                b,
                e,
                {
                    name: "observer",
                    params: { observer: !1, observeParents: !1, observeSlideChildren: !1 },
                    create: function () {
                        W.extend(this, { observer: { init: k.init.bind(this), attach: k.attach.bind(this), destroy: k.destroy.bind(this), observers: [] } });
                    },
                    on: {
                        init: function () {
                            this.observer.init();
                        },
                        destroy: function () {
                            this.observer.destroy();
                        },
                    },
                },
                {
                    name: "navigation",
                    params: { navigation: { nextEl: null, prevEl: null, hideOnClick: !1, disabledClass: "swiper-button-disabled", hiddenClass: "swiper-button-hidden", lockClass: "swiper-button-lock" } },
                    create: function () {
                        var e = this;
                        W.extend(e, { navigation: { init: A.init.bind(e), update: A.update.bind(e), destroy: A.destroy.bind(e), onNextClick: A.onNextClick.bind(e), onPrevClick: A.onPrevClick.bind(e) } });
                    },
                    on: {
                        init: function () {
                            this.navigation.init(), this.navigation.update();
                        },
                        toEdge: function () {
                            this.navigation.update();
                        },
                        fromEdge: function () {
                            this.navigation.update();
                        },
                        destroy: function () {
                            this.navigation.destroy();
                        },
                        click: function (e) {
                            var t = this.navigation,
                                n = t.$nextEl,
                                t = t.$prevEl;
                            !this.params.navigation.hideOnClick || v(e.target).is(t) || v(e.target).is(n) || (n && n.toggleClass(this.params.navigation.hiddenClass), t && t.toggleClass(this.params.navigation.hiddenClass));
                        },
                    },
                },
                {
                    name: "pagination",
                    params: {
                        pagination: {
                            el: null,
                            bulletElement: "span",
                            clickable: !1,
                            hideOnClick: !1,
                            renderBullet: null,
                            renderProgressbar: null,
                            renderFraction: null,
                            renderCustom: null,
                            progressbarOpposite: !1,
                            type: "bullets",
                            dynamicBullets: !1,
                            dynamicMainBullets: 1,
                            formatFractionCurrent: function (e) {
                                return e;
                            },
                            formatFractionTotal: function (e) {
                                return e;
                            },
                            bulletClass: "swiper-pagination-bullet",
                            bulletActiveClass: "swiper-pagination-bullet-active",
                            modifierClass: "swiper-pagination-",
                            currentClass: "swiper-pagination-current",
                            totalClass: "swiper-pagination-total",
                            hiddenClass: "swiper-pagination-hidden",
                            progressbarFillClass: "swiper-pagination-progressbar-fill",
                            progressbarOppositeClass: "swiper-pagination-progressbar-opposite",
                            clickableClass: "swiper-pagination-clickable",
                            lockClass: "swiper-pagination-lock",
                        },
                    },
                    create: function () {
                        var e = this;
                        W.extend(e, { pagination: { init: P.init.bind(e), render: P.render.bind(e), update: P.update.bind(e), destroy: P.destroy.bind(e), dynamicBulletIndex: 0 } });
                    },
                    on: {
                        init: function () {
                            this.pagination.init(), this.pagination.render(), this.pagination.update();
                        },
                        activeIndexChange: function () {
                            (!this.params.loop && void 0 !== this.snapIndex) || this.pagination.update();
                        },
                        snapIndexChange: function () {
                            this.params.loop || this.pagination.update();
                        },
                        slidesLengthChange: function () {
                            this.params.loop && (this.pagination.render(), this.pagination.update());
                        },
                        snapGridLengthChange: function () {
                            this.params.loop || (this.pagination.render(), this.pagination.update());
                        },
                        destroy: function () {
                            this.pagination.destroy();
                        },
                        click: function (e) {
                            var t = this;
                            t.params.pagination.el && t.params.pagination.hideOnClick && 0 < t.pagination.$el.length && !v(e.target).hasClass(t.params.pagination.bulletClass) && t.pagination.$el.toggleClass(t.params.pagination.hiddenClass);
                        },
                    },
                },
                {
                    name: "lazy",
                    params: {
                        lazy: {
                            enabled: !1,
                            loadPrevNext: !1,
                            loadPrevNextAmount: 1,
                            loadOnTransitionStart: !1,
                            elementClass: "swiper-lazy",
                            loadingClass: "swiper-lazy-loading",
                            loadedClass: "swiper-lazy-loaded",
                            preloaderClass: "swiper-lazy-preloader",
                        },
                    },
                    create: function () {
                        W.extend(this, { lazy: { initialImageLoaded: !1, load: L.load.bind(this), loadInSlide: L.loadInSlide.bind(this) } });
                    },
                    on: {
                        beforeInit: function () {
                            this.params.lazy.enabled && this.params.preloadImages && (this.params.preloadImages = !1);
                        },
                        init: function () {
                            this.params.lazy.enabled && !this.params.loop && 0 === this.params.initialSlide && this.lazy.load();
                        },
                        scroll: function () {
                            this.params.freeMode && !this.params.freeModeSticky && this.lazy.load();
                        },
                        resize: function () {
                            this.params.lazy.enabled && this.lazy.load();
                        },
                        scrollbarDragMove: function () {
                            this.params.lazy.enabled && this.lazy.load();
                        },
                        transitionStart: function () {
                            var e = this;
                            e.params.lazy.enabled && (e.params.lazy.loadOnTransitionStart || (!e.params.lazy.loadOnTransitionStart && !e.lazy.initialImageLoaded)) && e.lazy.load();
                        },
                        transitionEnd: function () {
                            this.params.lazy.enabled && !this.params.lazy.loadOnTransitionStart && this.lazy.load();
                        },
                    },
                },
                {
                    name: "autoplay",
                    params: { autoplay: { enabled: !1, delay: 3e3, waitForTransition: !0, disableOnInteraction: !0, stopOnLastSlide: !1, reverseDirection: !1 } },
                    create: function () {
                        var t = this;
                        W.extend(t, {
                            autoplay: {
                                running: !1,
                                paused: !1,
                                run: M.run.bind(t),
                                start: M.start.bind(t),
                                stop: M.stop.bind(t),
                                pause: M.pause.bind(t),
                                onTransitionEnd: function (e) {
                                    t &&
                                        !t.destroyed &&
                                        t.$wrapperEl &&
                                        e.target === this &&
                                        (t.$wrapperEl[0].removeEventListener("transitionend", t.autoplay.onTransitionEnd),
                                        t.$wrapperEl[0].removeEventListener("webkitTransitionEnd", t.autoplay.onTransitionEnd),
                                        (t.autoplay.paused = !1),
                                        t.autoplay.running ? t.autoplay.run() : t.autoplay.stop());
                                },
                            },
                        });
                    },
                    on: {
                        init: function () {
                            this.params.autoplay.enabled && this.autoplay.start();
                        },
                        beforeTransitionStart: function (e, t) {
                            this.autoplay.running && (t || !this.params.autoplay.disableOnInteraction ? this.autoplay.pause(e) : this.autoplay.stop());
                        },
                        sliderFirstMove: function () {
                            this.autoplay.running && (this.params.autoplay.disableOnInteraction ? this.autoplay.stop() : this.autoplay.pause());
                        },
                        destroy: function () {
                            this.autoplay.running && this.autoplay.stop();
                        },
                    },
                },
            ];
        return void 0 === h.use && ((h.use = h.Class.use), (h.installModule = h.Class.installModule)), h.use(e), h;
    }),
    $(document).ready(function () {
        $(".lazy").Lazy({ enableThrottle: !0, throttle: 250 }),
            (sliderGunes = new Swiper(".main-slider .swiper-container", {
                followFinger: !1,
                simulateTouch: !1,
                slidesPerView: 1,
                slidesPerGroup: 1,
                speed: 1,
                on: {
                    slideChangeTransitionEnd: function (e) {
                        var t = $(".main-slider .swiper-slide-active").index();
                        $(".main-slider .pagination li").removeClass("active"), $(".main-slider .pagination li").eq(t).addClass("active"), $(".main-slider img.lazy").lazy();
                    },
                },
            })),
            $(".main-slider .pagination li").mouseover(function () {
                sliderGunes.slideTo($(this).index());
            }),
            (author = new Swiper(".author-slider .swiper-container", {
                followFinger: !1,
                simulateTouch: !1,
                navigation: { nextEl: ".author-slider .icon-right-arrow-line", prevEl: ".author-slider .icon-left-arrow-line" },
                slidesPerView: 3,
                slidesPerGroup: 1,
                speed: 600,
                spaceBetween: 8,
                on: {
                    slideChangeTransitionEnd: function (e) {
                        $(".author-slider img.lazy").lazy();
                    },
                },
            })),
            (slider2 = new Swiper(".slider-2 .swiper-container", {
                followFinger: !1,
                simulateTouch: !1,
                slidesPerView: 1,
                slidesPerGroup: 1,
                speed: 1,
                on: {
                    slideChangeTransitionEnd: function (e) {
                        var t = $(".slider-2 .swiper-slide-active").index();
                        $(".slider-2 .slider-pagination li").removeClass("active"), $(".slider-2 .slider-pagination li").eq(t).addClass("active"), $(".slider-2 img.lazy").lazy();
                    },
                },
            })),
            $(".slider-2 .slider-pagination li").mouseover(function () {
                slider2.slideTo($(this).index());
            });
        new Swiper("#lastnewstop .swiper-container", {
            followFinger: !1,
            simulateTouch: !1,
            slidesPerView: 1,
            slidesPerGroup: 1,
            loop: !0,
            navigation: { nextEl: "#lastnewstop .icon-right-arrow-line", prevEl: "#lastnewstop .icon-left-arrow-line" },
            autoplay: { delay: 5e3 },
        });
        (sliders1 = new Swiper("#sliders1 .swiper-container", {
            followFinger: !1,
            simulateTouch: !1,
            slidesPerView: 1,
            slidesPerGroup: 1,
            speed: 1,
            on: {
                slideChangeTransitionEnd: function (e) {
                    var t = $("#sliders1 .swiper-slide-active").index();
                    $("#sliders1 .s-pagination li").removeClass("active"), $("#sliders1 .s-pagination li").eq(t).addClass("active"), $("#sliders1 img.lazy").lazy();
                },
            },
        })),
            $("#sliders1 .s-pagination li").mouseover(function () {
                sliders1.slideTo($(this).index());
            });
        var e = new Swiper("#sliders2 .swiper-container", {
            followFinger: !1,
            simulateTouch: !1,
            slidesPerView: 1,
            slidesPerGroup: 1,
            speed: 1,
            loop: !0,
            navigation: { nextEl: "#sliders2 .icon-right-arrow-line", prevEl: "#sliders2 .icon-left-arrow-line" },
            on: {
                slideChangeTransitionEnd: function (e) {
                    var t = $("#sliders2 .swiper-slide-active").data("swiper-slide-index");
                    $("#sliders2 .s-pagination li").removeClass("active"), $("#sliders2 .s-pagination li").eq(t).addClass("active"), $("#sliders2 img.lazy").lazy();
                },
            },
        });
        $("#sliders2 .s-pagination li").mouseover(function () {
            e.slideTo($(this).index() + 1);
        });
        var t = new Swiper("#mainheadline .swiper-container", {
            followFinger: !1,
            simulateTouch: !1,
            slidesPerView: 1,
            slidesPerGroup: 1,
            speed: 1,
            loop: !0,
            navigation: { nextEl: "#mainheadline .icon-right-arrow-line", prevEl: "#mainheadline .icon-left-arrow-line" },
            on: {
                slideChangeTransitionEnd: function (e) {
                    var t = $("#mainheadline .swiper-slide-active").data("swiper-slide-index");
                    $("#mainheadline .s-pagination li a").removeClass("active"), $("#mainheadline .s-pagination li").eq(t).find("a").addClass("active"), $("#mainheadline img.lazy").lazy();
                },
            },
        });
        $("#mainheadline .s-pagination li").hover(function () {
            t.slideTo($(this).index() + 1);
        });
        var n = new Swiper("#sliders3 .swiper-container", {
            followFinger: !1,
            simulateTouch: !1,
            slidesPerView: 1,
            slidesPerGroup: 1,
            observer: !0,
            observeParents: !0,
            speed: 1,
            on: {
                slideChangeTransitionEnd: function (e) {
                    var t = $("#sliders3 .swiper-slide-active").index();
                    $("#sliders3 .s-pagination li").removeClass("active"), $("#sliders3 .s-pagination li").eq(t).addClass("active"), $("#sliders3 img.lazy").lazy();
                },
            },
        });
        $("#sliders3 .s-pagination li").mouseover(function () {
            n.slideTo($(this).index());
        });
        var i = new Swiper("#multimedyaSlider .swiper-container", {
            followFinger: !1,
            simulateTouch: !1,
            slidesPerView: 1,
            slidesPerGroup: 1,
            speed: 1,
            on: {
                slideChangeTransitionEnd: function (e) {
                    $("#multimedyaSlider img.lazy").lazy();
                },
            },
        });
        $("#multimedyaSlider .s-pagination li").mouseover(function () {
            var e = $(this).index();
            $("#multimedyaSlider .s-pagination li").removeClass("active"), $(this).addClass("active"), i.slideTo(e);
        });
        var r = new Swiper("#multimedyaSlider2 .swiper-container", {
            followFinger: !1,
            simulateTouch: !1,
            slidesPerView: 1,
            slidesPerGroup: 1,
            speed: 1,
            on: {
                slideChangeTransitionEnd: function (e) {
                    $("#multimedyaSlider2 img.lazy").lazy();
                },
            },
        });
        $("#multimedyaSlider2 .s-pagination li").mouseover(function () {
            var e = $(this).index();
            $("#multimedyaSlider2 .s-pagination li").removeClass("active"), $(this).addClass("active"), r.slideTo(e);
        });
        new Swiper("#videoslider .swiper-container", {
            followFinger: !1,
            simulateTouch: !1,
            slidesPerView: 1,
            slidesPerGroup: 1,
            speed: 1,
            loop: !0,
            on: {
                slideChangeTransitionEnd: function (e) {
                    $("#videoslider img.lazy").lazy();
                },
            },
            pagination: { el: "#videoslider .swiper-pagination", clickable: !0 },
            navigation: { nextEl: "#videoslider .icon-right-arrow-line", prevEl: "#videoslider .icon-left-arrow-line" },
        }),
            new Swiper("#lastnews .swiper-container", {
                followFinger: !1,
                simulateTouch: !1,
                slidesPerView: "auto",
                spaceBetween: 16,
                navigation: { nextEl: "#lastnews .icon-right-arrow-line", prevEl: "#lastnews .icon-left-arrow-line" },
                autoplay: { delay: 5e3 },
            }),
            new Swiper(".whatsapp-slider .swiper-container", { followFinger: !1, simulateTouch: !1, slidesPerView: 1, direction: "vertical", height: 20, spaceBetween: 4, autoplay: { delay: 3e3 } });
        var a = new Swiper("#asideSlider .swiper-container", { followFinger: !1, simulateTouch: !1, slidesPerView: 1, slidesPerGroup: 1, speed: 1 });
        $("#asideSlider .s-pagination li").hover(function () {
            var e = $(this).index();
            $("#asideSlider .s-pagination li").removeClass("active"), $(this).addClass("active"), a.slideTo(e);
        }),
            $("body").is(".home") &&
                (setTimeout(function () {
                    (sliders1.params.autoplay.delay = 5e3), sliders1.autoplay.start();
                }, 3e3),
                setTimeout(function () {
                    (e.params.autoplay.delay = 5e3), e.autoplay.start();
                }, 4e3),
                setTimeout(function () {
                    (t.params.autoplay.delay = 5e3), t.autoplay.start();
                }, 5e3),
                setTimeout(function () {
                    (n.params.autoplay.delay = 5e3), n.autoplay.start();
                }, 6e3)),
            $(".drop-select").click(function (e) {
                return !$(this).hasClass("search active") && void ($(this).hasClass("active") ? $(this).removeClass("active") : (e.stopPropagation(), $(".drop-select").removeClass("active"), $(this).addClass("active")));
            }),
            $(document).click(function () {
                $(".drop-select").hasClass("active") && $(".drop-select").removeClass("active");
            }),
            $("#weather-area").hover(function () {
                $("#weather-action").fadeIn("fast");
            }),
            $("#weather-area").hover(
                function () {},
                function () {
                    $("#weather-action").fadeOut("fast");
                }
            ),
            $("#city").change(function () {
                !(function (e) {
                    (void 0 === e || null == e || e.length <= 0) && ((e = "34"), $("#city option[value=34]").attr("selected", "selected"));
                    $("#city option[value=" + e + "]").attr("selected", "selected"), $("#weather-area .title").text($("#city option:selected").text());
                    $.getJSON("https://www.star.com.tr/mobil/yenimobil/v1/hava/?q=" + e, function (e) {
                        $("#weather-area .degree .number").text(e.data[0].derece), $("#weather-area .image img").attr("src", e.data[0].Icon), $("#weather-area").show();
                    }).fail(function () {
                        $("#weather-area").hide();
                    });
                })($(this).val());
            }),
            $("#pageup").click(function () {
                $("html").stop().animate({ scrollTop: 0 }, 500, "swing");
            }),
            $(".social-media-links .big").click(function () {
                (curSize = parseInt($("#text .text, #text .spot").css("font-size")) + 2), 36 < curSize && (curSize = 36), $("#text .text, #text .spot").css("font-size", curSize);
            }),
            $(".social-media-links .small").click(function () {
                (curSize = parseInt($("#text .text, #text .spot").css("font-size")) - 2), curSize < 14 && (curSize = 14), $("#text .text, #text .spot").css("font-size", curSize);
            }),
            setTimeout(function () {
                $(".masthead, .topbanner, .reklam-alt-bant").css("height", "auto").css("overflow", "auto");
            }, 1e3),
            $("#stickerGallerySidebar").sticky({ topSpacing: 16, bottomSpacing: 500 }),
            $(".show-hide-button").click(function () {
                $(this).parents(".text-visible").toggleClass("active");
            });
    });

</script>
<div class="js-gpt-ad" data-adunit="/21664179734/Aksam_1x1_1" data-sizes='[1, 1]' data-lazy="false" data-threshold="500" data-mobile-adunit="" data-mobile-sizes=''></div>
<div class="js-gpt-ad" data-adunit="/21664179734/Star_1x1_1" data-sizes='[1, 1]' data-lazy="false" data-threshold="500" data-mobile-adunit="" data-mobile-sizes=''></div>
      <div class="footer-main margin-top-lg">
        <div class="widget-list-wrapper">
          <div class="container">
            <ul class="widget-list row middle color-white margin">
              <li class="col"><i class="icon icon-pageup cursor-pointer" id="pageup"></i></li>
              <li class="col"><a href="/kunye/" target="_blank">Künye & İletişim</a> </li>
			   <li class="col"><a href="/reklam/" target="_blank">Reklam</a> </li>
            </ul>
          </div>
        </div>
        <div class="link-wrapper padding-vertical-md">
          <div class="container">
            <ul class="flex between font-size-11">
              <li>
                <ul class="margin-bottom">
                  <li><a href="/son-dakika/" target="_blank">Son Dakika Haberleri</a></li>
				  <li><a href="https://ramazan.aksam.com.tr" target="_blank">Ramazan</a></li>
                  <li><a href="/spor/" target="_blank">Spor Haberleri</a></li>
				  <li><a href="/canli-skor/" target="_blank">Canlı Skor</a></li>
                  <li><a href="/magazin/" target="_blank">Magazin Haberleri</a></li>
				  <li><a href="/mor-papatya/" target="_blank">Mor Papatya</a></li>
				  <li><a href="https://quiz.aksam.com.tr" target="_blank">Quiz</a></li>
                </ul>
              </li>
              <li>
                <ul class="margin-bottom">
				  <li><a href="/gundem-analiz/" target="_blank">Gündem Analiz</a></li>
                  <li><a href="/siyaset/" target="_blank">Siyaset Haberleri</a></li>
                  <li><a href="/ekonomi/" target="_blank">Ekonomi Haberleri</a></li>
                  <li><a href="/yasam/" target="_blank">Yaşam Haberleri</a></li>
                  <li><a href="/dunya/" target="_blank">Dünya Haberleri</a></li>
                </ul>
              </li>
              <li>
                <ul class="margin-bottom">
                  <li><a href="/video/" target="_blank">Akşam TV</a></li>
                  <li><a href="/foto-galeri/" target="_blank">Foto Galeri</a></li>
                  <li><a href="/yazarlar/" target="_blank">Yazarlar</a></li>
				  
                </ul>
              </li>
              <li>
                <ul class="margin-bottom">
                  <li><a href="/kultur-sanat/" target="_blank">Kültür Sanat Haberleri</a></li>
                 	<li><a href="/televizyon/" target="_blank">Televizyon</a></li>
 					<li><a href="/guncel/" target="_blank">Güncel Haberler</a></li>
                  <li><a href="/cumartesi/" target="_blank">Cumartesi</a></li>
				  <li><a href="/sinema/" target="_blank">Sinema</a></li>
				  <li><a href="/kitap/" target="_blank">Kitap</a></li>
				  <li> <a href="/trend/" target="_blank">Trend</a></li>
                  <li><a href="/hava-durumu-15-gunluk-havadurumu/" target="_blank">Hava Durumu</a></li>
                </ul>
              </li>
              <li>
                <ul class="margin-bottom">
                  <li><a href="/otomobil/">Otomobil Haberleri</a></li>
									<li><a href="/saglik/">Sağlık Haberleri</a>
									</li> <li><a href="/teknoloji/" target="_blank">Bilim Ve Teknoloji Haberleri</a></li> 
                  <li><a href="/mor-papatya/astroloji/" target="_blank">Astroloji Haberleri</a></li>
                </ul>
              </li>
              <li>
                <ul class="margin-bottom">
                  <li><a href="https://e-gazete.aksam.com.tr/" target="_blank">E-Gazete</a></li>
				
				<li><a class="link-popup" href="https://www.turkmedya.com.tr/bilgitoplumuhizmetleri/tmedya" target="_blank">Bilgi Toplumu Hizmetleri</a></li>
				<li><a class="link-popup" href="https://www.turkmedya.com.tr/aksam#aksam_cerez" target="_blank">Çerez Politikası</a></li>
				<li><a class="link-popup" href="https://www.turkmedya.com.tr/aksam#aksam_gizlilik" target="_blank">Gizlilik Politikası</a></li>
				
                </ul>
              </li>
            </ul>
          </div>
        </div>
        <div class="copyright-wrapper padding-vertical-sm">
          <div class="container">
            <div class="flex between middle margin-bottom-sm">
              <div class="flex middle">
                <div class="icon icon-logo margin-right-md radius-sm"></div><span class="font-size-10">Copyright 2026</span>
              </div>
              <ul class="apps flex">
                <li class="margin-right-md"><a class="link-popup" rel="noopener" href="https://itunes.apple.com/tr/app/aksam/id982894881?l=tr&mt=8">
                    <div class="icon-apple-store"></div></a></li>
                <li><a  rel="noopener" class="link-popup" href="https://play.google.com/store/apps/details?id=com.aksam.android">
                    <div class="icon-google-play"></div></a></li>
					<li><a rel="noopener" class="link-popup" href="https://appgallery.huawei.com/app/C109215041">
                    <div class="margin-left-md"><img src="https://img3.aksam.com.tr/folders/app-gallery.jpg" width="128" height="34"></div></a></li>
              </ul>
            </div>
            <div class="info font-size-10 color-graymedium">Sitemizde yayınlanan haberlerin telif hakları gazete ve haber kaynaklarına aittir. İzin alınmadan, kaynak gösterilerek dahi iktibas edilemez.</div>
          </div>
        </div>
      </div>
<script>
function $DectGgF__(allow) {
      if(isNaN(+allow)) allow = 100;
    var start = +new Date();
    debugger;
    var end = +new Date();
    if(isNaN(start) || isNaN(end) || end - start > allow) {
      $$_LQF8CXAA8___googFc=true;
    }
  }
</script>
	  
<style>
#div-gpt-ad-1430736575877-6 iframe {
    z-index: 16;
    position: relative;
}
</style>
<script>var el = document.createElement('script');el.src = "https://analytics.cdnstr.com/MN-1-AKSAM9976YFZ/js/client.js?v=" + Math.random();el.id = "MNScriptTag";document.getElementsByTagName('head')[0].appendChild(el);
</script>
<script async>var el = document.createElement('script');el.src = "https://analytics.turk.pro/MN-1-AKSAM9976YFZ/js/client.js?v=" + Math.random();el.id = "MNScriptTag";document.getElementsByTagName('head')[0].appendChild(el);</script> 
<script>
document.addEventListener("click",function(e){let t=e.target.closest("a.link-popup");if(!t)return;e.preventDefault();let n=new URL(t.href);let r=n.origin+n.pathname;let i=`<div id="redirectPopup" style="position: fixed; left: 0px; background: rgb(255, 255, 255); z-index: 2147483647; width: 100%; height: 100%; top: 0px;"><style>html { transform: inherit !important; }body { margin: 0; padding: 0; }*, *:before, *:after { box-sizing: border-box; }.re-bottom { display: flex; flex-direction: column; gap: 12px; width: 100%; text-align: center; margin-top: 56px; }.re-bottom span { font-size: 14px; font-weight: 700; color: #7C7C7C; }.re-input { width: 100%; display: flex; justify-content: center; align-items: center; }.re-bottom input { width: 100%; text-overflow: ellipsis; background-color: #F3F3F3; border: 1.5px solid #E6E6E6; font-size: 14px; font-weight: 400; color: #7C7C7C; padding: 9px 12px; margin: 0 auto; border-radius: 6px; }.re-red { stroke-dasharray: 100; stroke-dashoffset: 100; animation: draw 10s forwards; }@keyframes draw { to { stroke-dashoffset: 0; } }.re-svg svg { -webkit-transform-origin: 50% 50%; -webkit-animation: redirectSpin 1s infinite linear; }@-webkit-keyframes redirectSpin { 100% { -webkit-transform: rotate(360deg); } }.redirecter-wrap { background-color: #F3F3F3; min-height: 100svh; display: flex; justify-content: center; align-items: flex-start; padding-top: 160px; }.redirecter-wrap * { font-family: 'Helvetica Neue', sans-serif; }.redirecter { max-width: 612px; margin: 0 auto; width: 100%; background-color: #fff; display: flex; justify-content: center; align-items: center; flex-direction: column; padding: 35px; border-top: 10px #e40819 solid;}.re-h1 { font-size: 24px; line-height: 150%; font-weight: 700; text-align: center; margin: 0; margin-top: 24px; color:#e40819; }@media (max-width: 767px) { .re-h1 { font-size: 18px; } .redirecter { width: 400px; } .redirecter-wrap { padding-top: 140px; } .re-bottom span, .re-bottom input { font-size: 13px; } }</style><section class="redirecter-wrap"><div class="redirecter"><img src="https://img3.aksam.com.tr/folders/logolar/aksam-logo.svg" alt="aksam" style="margin-bottom:30px;"><div class="re-svg"><svg width="48" height="48" viewBox="0 0 56 56" fill="none" xmlns="https://www.w3.org/2000/svg"><path d="M52 28C52 31.1517 51.3792 34.2726 50.1731 37.1844C48.967 40.0962 47.1992 42.742 44.9706 44.9706C42.742 47.1992 40.0962 48.967 37.1844 50.1731C34.2726 51.3792 31.1517 52 28 52C24.8483 52 21.7274 51.3792 18.8156 50.1731C15.9038 48.967 13.258 47.1992 11.0294 44.9706C8.80083 42.742 7.033 40.0962 5.82689 37.1844C4.62078 34.2726 4 31.1517 4 28C4 24.8483 4.62078 21.7274 5.82689 18.8156C7.03301 15.9038 8.80083 13.258 11.0294 11.0294C13.258 8.80083 15.9038 7.033 18.8156 5.82689C21.7274 4.62078 24.8483 4 28 4C31.1517 4 34.2726 4.62078 37.1844 5.82689C40.0962 7.03301 42.742 8.80083 44.9706 11.0294C47.1992 13.258 48.967 15.9038 50.1731 18.8156C51.3792 21.7274 52 24.8483 52 28L52 28Z" stroke="#E6E6E6" stroke-width="8"></path><path class="re-red" d="M52 28C52 30.5185 51.6036 33.0212 50.8254 35.4164" stroke="#DB0101" stroke-width="8" stroke-linecap="round"></path></svg></div><h1 class="re-h1">Başka bir adrese y\xf6nlendiriliyorsunuz, <br> L\xfctfen Bekleyin. </h1><div class="re-bottom"><span>Harici bağlantı:</span><div class="re-input"><input type="text" value="${r}" disabled=""></div></div></div></section></div>`;document.body.insertAdjacentHTML("beforeend",i),setTimeout(()=>{window.location.href=t.href},3e3)});
</script>
<script async="async" src="https://img3.aksam.com.tr/folders/tm-trafik.js?v=2"></script>
<!-- Yandex.Metrika counter -->
<script type="text/javascript">
    (function(m,e,t,r,i,k,a){
        m[i]=m[i]||function(){(m[i].a=m[i].a||[]).push(arguments)};
        m[i].l=1*new Date();
        for (var j = 0; j < document.scripts.length; j++) {if (document.scripts[j].src === r) { return; }}
        k=e.createElement(t),a=e.getElementsByTagName(t)[0],k.async=1,k.src=r,a.parentNode.insertBefore(k,a)
    })(window, document,'script','https://mc.yandex.ru/metrika/tag.js?id=105440853', 'ym');

    ym(105440853, 'init', {ssr:true, webvisor:true, clickmap:true, ecommerce:"dataLayer", accurateTrackBounce:true, trackLinks:true});
</script>
<noscript><div><img src="https://mc.yandex.ru/watch/105440853" style="position:absolute; left:-9999px;" alt="" /></div></noscript>
<!-- /Yandex.Metrika counter -->
    </div>
<div class="pgn-native-d-sticky-bottom" pgn-native-w="d-sticky-bottom" pgn-native-f="d" pgn-native-scheme="a" pgn-native-ortb-ver="1.1" style="display: flex;"></div>
<script>

                PgnN.queue.push(() => {
                  pgnN_manageSticky();
                });
            </script>

      <script>
  $(document).ready(function () {
 
  var mastheadMain = $("#masthead");
  var mastheadMainWrapper = $("#masthead-wrapper");
  var mainMastheadTop;
  var mainMastheadInitial = false;

  $(window).scroll(function () {
    var scrollPosition = $(window).scrollTop();
    if (mastheadMain.offset().top + mastheadMain.height() + 16 >= 16) {
      mainMastheadTop = mastheadMain.offset().top;
    }

    if (scrollPosition - 16 - mastheadMain.height() >= mainMastheadTop) {
      if (!mainMastheadInitial) {
        
        mainMastheadInitial = true;

        setTimeout(function () {
          mastheadMain.attr("style", "");
          mastheadMainWrapper.attr("style", "");
          $(".mainMastheadBg").hide();
        }, 3000);


        $("body").prepend(
          '<div class="mainMastheadBg" style="position:fixed; top:0; left:0; right:0; width:100%; height: 282px; background-color:rgba(0,0,0,.8); z-index:999;"></div>'
        );
        
        mastheadMainWrapper.attr(
          "style",
          "margin: 0 auto; width:" +mastheadMain.width()+ "px; background: #f6f6f6; height:" +mastheadMain.outerHeight()+ "px");
        
        mastheadMain.attr(
          "style",
          "position:fixed; top:16px; left:50%; transform:translateX(-50%); z-index:1000;"
        );
      }
    }
  });
});

  </script>
      
<div class="pgn-native-d-vignette" pgn-native-ros="1" pgn-native-unit="native" pgn-native-w="d-vignette" pgn-native-sniu="0" pgn-native-scheme="a" pgn-native-f="d" pgn-native-cp="0" pgn-native-ortb-ver="1.1" style="display: flex;"></div>
<script>
    PgnN.queue.push(() => {
        pgnN_manageVignette();
    });
</script>
<div id='div-gpt-ad-99999999999999-9'>
<div class="js-gpt-ad"
    data-adunit="/176558932/Scroll_TARGET_04102021"
    data-sizes=''
    data-lazy="true"
    data-threshold="500"
    data-mobile-adunit="/176558932/Scroll_TARGET_04102021"
    data-mobile-sizes=''>
</div>
</div>
<style>
#div-gpt-ad-99999999999999-9{
    display: none;
}
</style>

<div style="display:none">
    <iframe src="https://ac.aksam.com.tr/count-ac.asp?@@@=568535" name="hs" id="hs" width="1" height="1" marginwidth="0" marginheight="0" frameborder="0" hspace="0" vspace="0" scrolling="no"></iframe>
</div>
	<script>

setTimeout(function(){

$(document).ready(function() {
    
	var a = $(".container").outerWidth();
	var b = $(window).outerWidth();
	var t = ((+b) - (+a)) / 2 - 494;


	$("iframe").contents().find("#pageskinImageAdRight").attr("style","right:"+t+"px;");

	$("iframe").contents().find("#pageskinImageAdLeft").attr("style","left:"+t+"px;");

});

}, 3000);
	</script>
	
	
<script>
setTimeout(function(){
var executed = false;
document.body.onscroll = function( event ) {
        if (!executed) {
        
            executed = true;
            $("#div-gpt-ad-99999999999999-9").css('display','block');
            $("iframe").contents().find("#prestitialA34f").css('display','block');
            $("iframe").contents().find(".webscroll").append('<iframe id="scrollingVideo" loading="lazy" src="https://www.aksam.com.tr/video/player-detay-sag.asp?v=2&cat=122" frameborder="0" scrolling="no" width="" height="215"></iframe>');

            }

};

}, 3000);

</script>
	
	 <script async src="https://pagead2.googlesyndication.com/pagead/js/adsbygoogle.js"></script>
	<script>
	

     setTimeout(function() { 

		$(".video-js video").each(function (videoIndex,elem) {
            $(elem)[0].onplay = function() {
                $(".video-js video").each(function (videoIndex,elemx) {
                    if($(elem).attr('id') != $(elemx).attr('id')){
                        $(elemx)[0].pause();
                    }
                });
            }
        });

    }, 2000);

	</script>	
	
<script src="https://jsc.idealmedia.io/a/k/aksam.com.tr.1533426.js" async></script>
<script>
    $(window).scroll(function(){
      var scrollTop = $(window).scrollTop();
      if(scrollTop>$(window).width()*0.5){
        $("#embedVideo").addClass("fixed-video")
      }else{
        $("#embedVideo").removeClass("fixed-video")
      }
    });
  $(document).ready(function() {
    var observer = new MutationObserver(function(mutations) {
        mutations.forEach(function(mutation) {
            mutation.addedNodes.forEach(function(node) {
                if ($(node).hasClass('infinite-item')) {
                    $(window).on("scroll", function() {
                        var contentHeight = $('.stky .content').outerHeight(); 
                        var scrollTop = $(window).scrollTop(); 
                        var windowHeight = $(window).height(); 
                        var scrollPosition = scrollTop + windowHeight; 
                        if (scrollPosition >= contentHeight + 1000) {
                            $('.stkyad').css('position','relative');
                        }
                        if (scrollTop < (contentHeight + 1000) - windowHeight) {
                            $('.stkyad').css('position','sticky');
                        }
                    });
                }
            });
        });
    });
    var targetNode = document.querySelector('.stky .center');
    if (targetNode) {
        observer.observe(targetNode, { childList: true, subtree: true });
    }
});
$(document).ready(function () {
  var ua = navigator.userAgent;
  var safariVersion = ua.match(/Version\/(\d+)\./);

  if (ua.includes('Safari') && !ua.includes('Chrome') && safariVersion) {
    var versionNumber = parseInt(safariVersion[1], 10);

    if (versionNumber <= 17) {
      $('.newPageSkin').addClass('safari17end');
    }
  }
});
  </script>
  <style>
 .fixed-footer-video .closeBtnVrs{
    	display: block;
    }
    .closeBtnVrs{
    	display: none;
    }


   .fixed-video{
position: fixed;
    width: 300px;
    right: 1.6rem;
    padding-bottom: 0;
    height: 240px;
    z-index: 9999;
    bottom: 0;
	
  
}</style>
<script>  
$('#closeEmbedVideoFooter').on('click', function() {
    $('#embedVideoFooter').removeClass('fixed-footer-video');
});
$(document).ready(function() {  
    console.log("Video script başlatıldı");  
    
    // Değişkenler  
    let videoLoaded = false;  
    let isVideoFixed = false;  
    let videoOffsetTop = 0; // Videonun sayfadaki ilk pozisyonu  
    
    // Video yükleme için observer  
    const loadObserver = new IntersectionObserver(function(entries) {  
        entries.forEach(entry => {  
            if (entry.isIntersecting && !videoLoaded) {  
                console.log("Video yükleniyor...");  
                
                // Video yükle  
                let placeholder = $("#videoPlaceholder");  
                let videoContainer = placeholder.parent();  
                
                placeholder.remove();  
                videoContainer.append('<iframe frameborder="0" hspace="0" id="hs" marginheight="0" marginwidth="0" name="hs" scrolling="no" width="585" height="328" src="https://www.aksam.com.tr/video/embed/?flv=b775a52a89e24827b98f-16112025983b6202.mp4&kat=122&a=1&zone=onerilen" vspace="0"></iframe>');  
                
                videoLoaded = true;  
                
                // iFrame'in yüklenmesini bekle, sonra pozisyon kaydını başlat  
                setTimeout(function() {  
                    const videoFooter = $("#embedVideoFooter");  
                    
                    // Videonun sayfada ilk konumunu kaydet (sabit referans noktası)  
                    videoOffsetTop = videoFooter.offset().top;  
                    console.log("Video başlangıç pozisyonu:", videoOffsetTop);  
                    
                    // Scroll olayını dinlemeye başla  
                    initScrollHandling();  
                }, 1000); // Video yüklenmesi için biraz zaman ver  
            }  
        });  
    }, {  
        root: null,  
        rootMargin: '0px',  
        threshold: 0.5  
    });  
    
    // Placeholder'ı gözlemlemeye başla  
    const placeholder = document.getElementById('videoPlaceholder');  
    if (placeholder) {  
        loadObserver.observe(placeholder);  
        console.log("Video placeholder gözleniyor");  
    } else {  
        console.log("Video placeholder bulunamadı!");  
    }  
    
    function initScrollHandling() {  
        const videoFooter = $("#embedVideoFooter");  
        const videoHeight = videoFooter.outerHeight();  
        
        console.log("Scroll takibi başlatıldı");  
        
        // Scroll olayını dinle - daha basit mantık kullan  
        $(window).off('scroll.videoFixed').on('scroll.videoFixed', function() {  
            // Anlık scroll pozisyonu  
            const scrollTop = $(window).scrollTop();  
            const windowHeight = $(window).height();  
            
            // Debug için ekran bilgilerini logla  
            if (scrollTop % 100 === 0) { // Her 100px'de bir log  
                console.log("Scroll pozisyonu:", scrollTop);  
                console.log("Video orijinal pozisyonu:", videoOffsetTop);  
                console.log("Pencere yüksekliği:", windowHeight);  
                console.log("Mevcut durum:", isVideoFixed ? "Sabit" : "Normal");  
            }  
            
            // Sabit referans noktasına göre video konumunu kontrol et  
            if (!isVideoFixed && scrollTop > videoOffsetTop + videoHeight) {  
                // Video görünmez oldu - sabitle  
                videoFooter.addClass('fixed-footer-video');  
                isVideoFixed = true;  
                console.log("Video sabitlendi, scroll:", scrollTop);  
            }   
            else if (isVideoFixed && scrollTop < videoOffsetTop) {  
                // Orijinal video konumuna döndük - sabit konumu kaldır  
                videoFooter.removeClass('fixed-footer-video');  
                isVideoFixed = false;  
                console.log("Video sabitlemesi kaldırıldı, scroll:", scrollTop);  
            }  
        });  
        
        // İlk kontrol  
        $(window).trigger('scroll.videoFixed');  
    }  
});  
</script>  

</body>
</html> 
